Simplifying with Imaginary Numbers

Click For Summary

Homework Help Overview

The discussion revolves around simplifying expressions involving imaginary numbers, particularly in the context of exponential functions and complex numbers.

Discussion Character

  • Exploratory, Assumption checking, Mathematical reasoning

Approaches and Questions Raised

  • Participants discuss the simplification of expressions involving square roots of negative numbers and the application of Euler's formula. There are attempts to identify potential errors in the original poster's calculations, particularly regarding the handling of imaginary units.

Discussion Status

Some participants have offered suggestions for simplifying the expression, including the use of complex conjugates and Euler's formula. There is an ongoing exploration of the original poster's approach and potential missteps, but no consensus has been reached on a definitive solution.

Contextual Notes

There is a mention of a divisor affecting the simplification process, and participants are questioning the accuracy of the original poster's calculations regarding imaginary numbers.

McAfee
Messages
96
Reaction score
1

Homework Statement


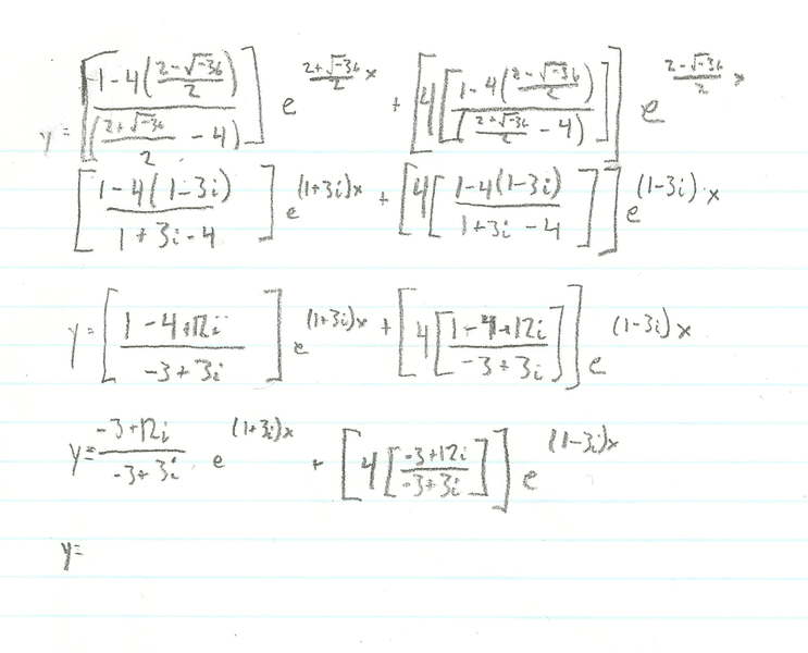
I'm trying to see if what I have before the e match up with the correct answer.


the correct answer is (2+.5i)e^(1+3i)x + (2-.5i)e^(1-3i)x



The Attempt at a Solution


This is what I have so far.
serqC.png


I don't know how I would simplify anymore. Please help.
 
Physics news on Phys.org
I noticed that you rewrote sqr(-36) = 3i when it should be 6i perhaps this is where you went wrong.
 
jedishrfu said:
I noticed that you rewrote sqr(-36) = 3i when it should be 6i perhaps this is where you went wrong.

If you look and then divided it by 2 making it equal 3i
 
sorry, didnt notice the 2 divisor.

wrt simplifying, how about using the complex conjugate of -3+3i to multiply top and bottom that would eliminate the complex number denominator.

Also there's eulers formula so you could convert the complex factors to e to some power and then combine the powers and simplfy further.
 
Ok. thanks for the help. I'll try again.
 

Similar threads

  • · Replies 3 ·
Replies
3
Views
2K
  • · Replies 11 ·
Replies
11
Views
1K
  • · Replies 4 ·
Replies
4
Views
2K
Replies
9
Views
2K
  • · Replies 7 ·
Replies
7
Views
3K
  • · Replies 5 ·
Replies
5
Views
2K
  • · Replies 3 ·
Replies
3
Views
2K
  • · Replies 6 ·
Replies
6
Views
2K
  • · Replies 2 ·
Replies
2
Views
5K
  • · Replies 9 ·
Replies
9
Views
6K