Solve Quick Integral Question with Step-by-Step Solution | Attached Picture

  • Thread starter Thread starter unscientific
  • Start date Start date
  • Tags Tags
    Integral
Click For Summary

Homework Help Overview

The discussion revolves around a problem involving the integration of a function of two variables, specifically focusing on the relationship between differentiation and integration in the context of a definite integral.

Discussion Character

  • Exploratory, Conceptual clarification, Mathematical reasoning, Assumption checking

Approaches and Questions Raised

  • Participants explore the formulation of the integral and its implications, questioning the validity of treating the variable 'x' as a dummy variable and the resulting expressions for differentiation. There is a suggestion to test the approach with a specific function to clarify the reasoning.

Discussion Status

Some participants express confusion over the original poster's steps, particularly regarding the treatment of the integral and the functions involved. Others provide guidance on the correct application of integration techniques and suggest the use of the Leibniz integral rule, while also questioning the continuity of the function over the specified interval.

Contextual Notes

There is mention of the integral being a definite integral, and some participants note the original poster's uncertainty about using LaTeX for mathematical expressions. Additionally, there are concerns about the continuity of the function in the context of the Leibniz rule.

unscientific
Messages
1,728
Reaction score
13

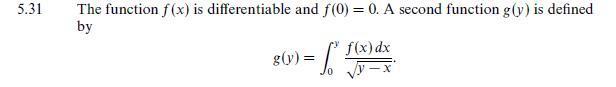
Homework Statement


The question is as attached in the picture.


The Attempt at a Solution



I haven't got to the answer, but I wonder if this is OK:

g(y) = ∫ f(x,y) dx

= F(y) - F(0,y)

(dg/dy) = f(y) - f(0,y)


Since the 'x' is just a dummy variable where the final function g will be in terms of y. By integrating it with respect to x, then filling it in with 0 and y, by differentiating g does it reverse back the integration process and simply filling it with 0 and y?
 

Attachments

  • integral2.jpg
    integral2.jpg
    5.9 KB · Views: 480
Physics news on Phys.org
unscientific said:

Homework Statement


The question is as attached in the picture.

I don't see any question in that picture.
 
LCKurtz said:
I don't see any question in that picture.

Sorry that was just part of the question, I am trying to find out if its OK to do the steps above.
 
unscientific said:

Homework Statement


The question is as attached in the picture.


The Attempt at a Solution



I haven't got to the answer, but I wonder if this is OK:

g(y) = ∫ f(x,y) dx

= F(y) - F(0,y)

(dg/dy) = f(y) - f(0,y)


Since the 'x' is just a dummy variable where the final function g will be in terms of y. By integrating it with respect to x, then filling it in with 0 and y, by differentiating g does it reverse back the integration process and simply filling it with 0 and y?

I can't follow this. ##g(y) = \int f(x,y)\, dx## doesn't make any sense to me. It's an indefinite integral and surely there would be an ##x## on the left side. Then you have ##F(y)-F(0,y)##. I gather that is supposed to represent an antiderivative, but is ##F## a function of one or two variables? Then in your last line you have ##f(y) - f(0,y)##. But ##f## is a function of two variables, so ##f(y)## is meaningless.

Anyway, whatever it is you are trying to do, try it with ##f(x,y) = y^2\cos(x)## or something like that. It has to make sense and work for something simple to have any chance of being true in general.
 
LCKurtz said:
I can't follow this. ##g(y) = \int f(x,y)\, dx## doesn't make any sense to me. It's an indefinite integral and surely there would be an ##x## on the left side. Then you have ##F(y)-F(0,y)##. I gather that is supposed to represent an antiderivative, but is ##F## a function of one or two variables? Then in your last line you have ##f(y) - f(0,y)##. But ##f## is a function of two variables, so ##f(y)## is meaningless.

Anyway, whatever it is you are trying to do, try it with ##f(x,y) = y^2\cos(x)## or something like that. It has to make sense and work for something simple to have any chance of being true in general.

Sorry the integral is meant to be a definite integral as in the question, I'm not sure how to use latex...

How about if

g(y) = ∫ f(x,y) dx (definite integral)

= F(y,y) - F(0,y)

then

dg/dy = f(y,y) - f(0,y)

Does this make more sense?
 
You have the right idea, but the steps you're using are wrong. The function in the integral is not a function of x and y, it is solely a function of x, so your antiderivatives in the second part don't make any sense.
 
unscientific said:
Sorry the integral is meant to be a definite integral as in the question, I'm not sure how to use latex...

How about if

g(y) = ∫ f(x,y) dx (definite integral)

= F(y,y) - F(0,y)

then

dg/dy = f(y,y) - f(0,y)

Does this make more sense?

Integrate the function in the integral with respect to x while keeping y constant.
 
Psychosmurf said:
Integrate the function in the integral with respect to x while keeping y constant.

Yes that's right but are my steps right? I'm concerned about the conversion from 'F' to 'f' by differentiation. Since they are entirely in terms of y after integration.
 
unscientific said:
Sorry the integral is meant to be a definite integral as in the question, I'm not sure how to use latex...

How about if

g(y) = ∫ f(x,y) dx (definite integral)

= F(y,y) - F(0,y)

then

dg/dy = f(y,y) - f(0,y)

Does this make more sense?

You don't need to use LaTeX (although some posters might complain if you don't), but you DO need to write things explicitly. For example, if you want to write
[tex]\int_a^b f(x,y) \, dx[/tex] in plain text you can just write int( f(x,y) dx, x=a..b), for example.

RGV
 
  • #10
Lleibniz integral rule:

[tex]\frac {d} {dy} \int_{a(y)}^{b(y)} f(x, y)dx = \frac {db(y)} {dy} f(b(y), y) - \frac {da(y)} {dy} f(a(y), y) + \int_{a(y)}^{b(y)} \frac {\partial} {\partial y} f(x, y)dx[/tex]
 
  • #11
voko said:
Lleibniz integral rule:

[tex]\frac {d} {dy} \int_{a(y)}^{b(y)} f(x, y)dx = \frac {db(y)} {dy} f(b(y), y) - \frac {da(y)} {dy} f(a(y), y) + \int_{a(y)}^{b(y)} \frac {\partial} {\partial y} f(x, y)dx[/tex]

Would it apply, because the function isn't continuous over [0,y]?
 
  • #12
OP, try integrating by parts.

EDIT: It worked for me. Integrate by parts and then fundamental theorem of calculus combined with the hint that f(0) = 0.
 
Last edited:
  • #13
Psychosmurf said:
OP, try integrating by parts.

And then the Leibniz rule :)
 

Similar threads

Replies
2
Views
2K
Replies
3
Views
2K
  • · Replies 11 ·
Replies
11
Views
3K
  • · Replies 14 ·
Replies
14
Views
2K
  • · Replies 1 ·
Replies
1
Views
2K
  • · Replies 10 ·
Replies
10
Views
2K
Replies
12
Views
2K
  • · Replies 8 ·
Replies
8
Views
2K
Replies
20
Views
2K
  • · Replies 4 ·
Replies
4
Views
2K