Solve Second Order Differential Eq. With Variable Coefficient

Click For Summary

Discussion Overview

The discussion revolves around solving a second-order differential equation with variable coefficients, specifically of the form $(1-x^2)y'' - xy' + 4y = 2x \sqrt{1-x^2}$. Participants explore various methods, substitutions, and the classification of the equation as complete or incomplete.

Discussion Character

  • Technical explanation
  • Mathematical reasoning
  • Debate/contested

Main Points Raised

  • One participant suggests using the substitution $x = \sin t$ to transform the equation, but expresses uncertainty about the correctness of their transformation into the $t$ domain.
  • Another participant challenges the transformation, providing a detailed derivation of the second derivative in terms of $t$ and suggesting it may simplify the problem.
  • Several participants discuss the classification of the differential equation as complete or incomplete, with one providing definitions and clarifications on the terminology used.
  • One participant proposes a method to find a particular solution by first solving the associated homogeneous equation and suggests a specific form for the solution based on a guessed function.
  • There is mention of the general solution structure for the complete equation, indicating that it consists of the general solution of the associated homogeneous equation plus a particular solution.
  • Some participants express confusion regarding the terms "complete" and "incomplete," with clarifications provided about their meanings in the context of differential equations.

Areas of Agreement / Disagreement

Participants do not reach a consensus on the correctness of the initial transformation to the $t$ domain, and there are multiple competing views on the methods to solve the differential equation. The discussion remains unresolved regarding the best approach to find a particular solution.

Contextual Notes

There are limitations in the discussion regarding the assumptions made during transformations and the definitions of terms used, which may lead to confusion among participants.

Amer
Messages
259
Reaction score
0
$(1-x^2)y'' - xy' + 4y =2 x \sqrt{1-x^2} $
Hint use the substitution $x =\sin t$
I used it and end with

$\cos t y'' + \sin t y' - \frac{\sin t}{\cos t} y' + 4y = 2\sin t |\cos t| $

how to solve this i just want the name of the method
 
Last edited:
Physics news on Phys.org
I do not think you have gone to the $t$ domain correctly. You have
$$\frac{dy}{dt}=\frac{dy}{dx}\,\frac{dx}{dt}=\cos(t)\,\frac{dy}{dx}.$$
Then you have
$$\frac{d^{2}y}{dt^{2}}=\frac{d}{dt}\left[\cos(t)\,\frac{dy}{dx}\right]
=\cos(t)\,\frac{d}{dt}\,\frac{dy}{dx}+\frac{dy}{dx}\,(-\sin(t))$$
$$=\cos^{2}(t)\,\frac{d^{2}y}{dx^{2}}-\sin(t)\,\frac{dy}{dx}.$$
See if that doesn't do some nice things for you.
 
Amer said:
$(1-x^2)y'' - xy' + 4y = x \sqrt{1-x^2} $
Hint use the substitution $x =\sin t$
I used it and end with

$\cos t y'' + \sin t y' - \frac{\sin t}{\cos t} y' + 4y = 2\sin t |\cos t| $

how to solve this i just want the name of the method

The equation is of the type complete and its solution is the sum of two terms, the general solution of the incomplete equation and any particular solution of the complete equation, so that first we have to solve the equation...

$\displaystyle (1-x^{2})\ y^{\ ''} -x\ y^{\ '} + 4\ y=0$ (1)

The procedure that I will use is a little 'non conventional' and requires a preliminary. The solution of a second order incomplete equation is of the type...$\displaystyle y(x)= c_{1}\ u(x) + c_{2}\ v(x)$ (2)... where $u(x)$ and $v(x)$ are two independent solutions of (1). Since u and v both satisfy (1) is...$\displaystyle (1-x^{2})\ u^{\ ''} -x\ u^{\ '} +4\ u=0$

$\displaystyle (1-x^{2})\ v^{\ ''} -x\ v^{\ '} +4\ v=0$ (3)

Multiplying the first of (3) by v and the second by u and do the difference we obtain...

$\displaystyle (1-x^{2})\ (v\ u^{\ ''} - u\ v^{\ ''}) - x\ (v\ u^{\ '} - u\ v^{\ '}) =0$ (4)

Now we set $z= v\ u^{\ '}- u\ v^{\ '}$ so that (4) becomes...

$\displaystyle z^{\ '}= \frac {x}{1-x^{2}}\ z$ (5)

The (5) is a linear ODE the solution of which is...

$\displaystyle z=\frac{c_{2}}{\sqrt{1-x^{2}}}$ (6)

... so that is...

$\displaystyle \frac{z}{v^{2}}= \frac{d}{dx} (\frac{u}{v})= \frac{c_{2}}{v^{2}\ \sqrt{1-x^{2}}} \implies\ u= c_{1}\ v + c_{2}\ v\ \int \frac{dx}{v^{2}\ \sqrt{1-x^{2}}}$ (7)

Now it is easy enough to see that $u=2 x^{2}-1$ is solution of (1) so that from (7) we derive that...

$\displaystyle v= (2 x^{2}-1)\ \int \frac{dx}{(2 x^{2}-1)^{2}\ \sqrt{1-x^{2}}} = - x\ \sqrt{1-x^{2}}$ (8)

... is also solution of (1) so that the general solution of (1) is...

$\displaystyle y(x)= c_{1}\ (2 x^{2}-1) + c_{2}\ x\ \sqrt{1-x^{2}}$ (9)

... and half of the work is done. The second half will be done [if possible...] in next post...

Kind regards

$\chi$ $\sigma$
 
Last edited:
Ackbach said:
I do not think you have gone to the $t$ domain correctly. You have
$$\frac{dy}{dt}=\frac{dy}{dx}\,\frac{dx}{dt}=\cos(t)\,\frac{dy}{dx}.$$
Then you have
$$\frac{d^{2}y}{dt^{2}}=\frac{d}{dt}\left[\cos(t)\,\frac{dy}{dx}\right]
=\cos(t)\,\frac{d}{dt}\,\frac{dy}{dx}+\frac{dy}{dx}\,(-\sin(t))$$
$$=\cos^{2}(t)\,\frac{d^{2}y}{dx^{2}}-\sin(t)\,\frac{dy}{dx}.$$
See if that doesn't do some nice things for you.

What i did My question is

[tex](1-x^2)\frac{d^2y}{dx^2} - x\frac{dy}{dx} + 4y =2 x \sqrt{1-x^2}[/tex]

The sub is
[tex]x = \sin t \Rightarrow \dfrac{dx}{dt} = \cos t \Rightarrow \dfrac{d^2x}{dt^2} = -\sin t[/tex]

[tex]\dfrac{dy}{dt} = \dfrac{dy}{dx} \dfrac{dx}{dt}[/tex]

I made a mistake in follwing, i write it like below but when i differentiate with respect to t,
[tex]\dfrac{dy}{dx} = \dfrac{\dfrac{dy}{dt}}{\dfrac{dx}{dt}}[/tex]
the left hand side I write it like this
[tex]\dfrac{d^2y}{dx^2}[/tex] which should be like this [tex]\dfrac{d^2y}{dx^2} \dfrac{dy}{dt}[/tex]

Thanks very much both
 
toi
chisigma said:
The equation is of the type complete and its solution is the sum of two terms, the general solution of the incomplete equation and any particular solution of the complete equation, so that first we have to solve the equation...

$\displaystyle (1-x^{2})\ y^{\ ''} -x\ y^{\ '} + 4\ y=0$ (1)

The procedure that I will use is a little 'non conventional' and requires a preliminary. The solution of a second order incomplete equation is of the type...$\displaystyle y(x)= c_{1}\ u(x) + c_{2}\ v(x)$ (2)... where $u(x)$ and $v(x)$ are two independent solutions of (1). Since u and v both satisfy (1) is...$\displaystyle (1-x^{2})\ u^{\ ''} -x\ u^{\ '} +4\ u=0$

$\displaystyle (1-x^{2})\ v^{\ ''} -x\ v^{\ '} +4\ v=0$ (3)

Multiplying the first of (3) by v and the second by u and do the difference we obtain...

$\displaystyle (1-x^{2})\ (v\ u^{\ ''} - u\ v^{\ ''}) - x\ (v\ u^{\ '} - u\ v^{\ '}) =0$ (4)

Now we set $z= v\ u^{\ '}- u\ v^{\ '}$ so that (4) becomes...

$\displaystyle z^{\ '}= \frac {x}{1-x^{2}}\ z$ (5)

The (5) is a linear ODE the solution of which is...

$\displaystyle z=\frac{c_{2}}{\sqrt{1-x^{2}}}$ (6)

... so that is...

$\displaystyle \frac{z}{v^{2}}= \frac{d}{dx} (\frac{u}{v})= \frac{c_{2}}{v^{2}\ \sqrt{1-x^{2}}} \implies\ u= c_{1}\ v + c_{2}\ v\ \int \frac{dx}{v^{2}\ \sqrt{1-x^{2}}}$ (7)

Now it is easy enough to see that $u=x$ is solution of (1) so that from (7) we derive that...

$\displaystyle v= x\ \int \frac{dx}{x^{2}\ \sqrt{1-x^{2}}} = - \sqrt{1-x^{2}}$ (7)

... is also solution of (1) so that the general solution of (1) is...

$\displaystyle y(x)= c_{1}\ x + c_{2}\ \sqrt{1-x^{2}}$ (8)

... and half of the work is done. The second half will be done [if possible...] in next post...

Kind regards

$\chi$ $\sigma$

I am a bit new to differential equation I do not know what complete and incomplete equations mean
can you give me a link about it or a little explanation ?
Thanks
 
Amer said:
toi

I am a bit new to differential equation I do not know what complete and incomplete equations mean
can you give me a link about it or a little explanation ?
Thanks

An incomplete second order linear ODE is written as...

$\displaystyle a(x)\ y^{\ ''} + b(x)\ y^{\ '} + c(x)\ y=0$ (1)

... and a complete second order linear ODE as... $\displaystyle a(x)\ y^{\ ''} + b(x)\ y^{\ '} + c(x)\ y= d(x)$ (2)

If u(x) and v(x) are independent solutions of (1) and w(x) is any particular solution of (2), the the general solution of (2) is...

$\displaystyle y(x)= c_{1}\ u(x) + c_{2}\ v(x) + w(x)$ (3)

... where $c_{1}$ and $c_{2}$ are arbitrary constants...

Kind regards

$\chi$ $\sigma$
 
If you're clever enough (or lucky enough) to guess one solution of the homogeneous problem

$(1-x^2)y'' - xy' + 4y = 0$ in this case $y = 2x^2-1$

then $y = (2x^2-1)v$ will reduce your ODE to one that is second order with the $v$ term missing and letting $w = v'$ will then give you one that is linear in $w$!
 
chisigma said:
An incomplete second order linear ODE is written as...

$\displaystyle a(x)\ y^{\ ''} + b(x)\ y^{\ '} + c(x)\ y=0$ (1)

... and a complete second order linear ODE as... $\displaystyle a(x)\ y^{\ ''} + b(x)\ y^{\ '} + c(x)\ y= d(x)$ (2)

If u(x) and v(x) are independent solutions of (1) and w(x) is any particular solution of (2), the the general solution of (2) is...

$\displaystyle y(x)= c_{1}\ u(x) + c_{2}\ v(x) + w(x)$ (3)

... where $c_{1}$ and $c_{2}$ are arbitrary constants...

Kind regards

$\chi$ $\sigma$

For translation effectiveness: chi sigma's "incomplete" is often termed "homogeneous", and chi sigma's "complete" is often termed "inhomogeneous".
 
Ackbach said:
For translation effectiveness: chi sigma's "incomplete" is often termed "homogeneous", and chi sigma's "complete" is often termed "inhomogeneous".

The reason why I prefer the terms 'complete' and 'incomplete' is that these terms are related to the presence or not of the 'known term' d(x). It is obvious that the correspondence 'homogeneous -> incomplete' and 'inhomogeneous -> complete' is a perfect source of confusion... Kind regards $\chi$ $\sigma$
 
  • #10
My attempts to do the second part of the work searching a particular solution of the complete equation...

$\displaystyle (1-x^{2})\ y^{\ ''} -x\ y^{\ '} + 4\ y= 2\ x\ \sqrt{1-x^{2}}$ (1)

... didn't produce results but the problem would be easily overcome changing in (1) the sigh of the term in y' so that the ODE becomes...

$\displaystyle (1-x^{2})\ y^{\ ''} + x\ y^{\ '} + 4\ y= 2\ x\ \sqrt{1-x^{2}}$ (2)

I would ask Amer if May be that the equation is (2) and not (1)...Kind regards $\chi$ $\sigma$
 
  • #11
chisigma said:
My attempts to do the second part of the work searching a particular solution of the complete equation...

$\displaystyle (1-x^{2})\ y^{\ ''} -x\ y^{\ '} + 4\ y= 2\ x\ \sqrt{1-x^{2}}$ (1)

... didn't produce results but the problem would be easily overcome changing in (1) the sigh of the term in y' so that the ODE becomes...

$\displaystyle (1-x^{2})\ y^{\ ''} + x\ y^{\ '} + 4\ y= 2\ x\ \sqrt{1-x^{2}}$ (2)

I would ask Amer if May be that the equation is (2) and not (1)...Kind regards $\chi$ $\sigma$

no i write the question correctly it is -xy'
 
  • #12
The ODE originally posted by Amer [slighty modified by me...] was...

$\displaystyle y'' - \frac{x}{1-x^{2}}\ y' + \frac{4}{1-x^{2}}\ y =\frac{2\ x}{\sqrt{1-x^2}}$ (1)

... and in the post #3 we found the general solution of the incomplete equation…

$\displaystyle y'' - \frac{x}{1-x^{2}}\ y' + \frac{4}{1-x^{2}}\ y = 0$ (2)

... that is...

$\displaystyle y(x)= c_{1}\ (2\ x^{2} -1) + c_{2}\ x\ \sqrt{1-x^{2}}$ (3)

Now we have to search a particular solution of the (1) and that will be performed describing a general procedure for finding a particular solution of an ODE like...

$\displaystyle y^{\ ''} + p(x)\ y^{\ '} + q(x)\ y = \varphi (x)$ (4)

Let’s suppose to know the general solution of the incomplete equation…

$\displaystyle y^{\ ''} + p(x)\ y^{\ '} + q(x)\ y = 0$ (5)

… that is…

$\displaystyle y(x)= c_{1}\ u(x) + c_{2}\ v(x)$ (6)

... and to write the particular solution of the complete equation like...

$\displaystyle Y(x)= C_{1}(x)\ u(x) + C_{2} (x)\ v(x)$ (7)

... where $C_{1} (x)$ and $C_{2} (x)$ are functions of x. In...

http://www.math24.net/second-order-linear-nonhomogeneous-differential-equations-with-variable-coefficients.html

... is demonstrated that $C_{1} (x)$ and $C_{2} (x)$ have the form...$\displaystyle C_{1} (x)= - \int \frac{ v (x)\ \varphi(x)} {W_{u,v} (x)}\ dx$

$\displaystyle C_{2} (x)= \int \frac{ u (x)\ \varphi(x)} {W_{u,v} (x)}\ dx$ (8)

... where $\displaystyle W_{u,v} (x) = u(x)\ v^{\ '} (x) - v(x)\ u^{\ '}(x)$ is the Wronskian of u and v. Now we turn back to (1), remembering that in previous post we found...

$\displaystyle u = 2\ x^{2}-1 \implies u^{\ '}= 4\ x$

$\displaystyle v = x\ \sqrt{1-x^{2}} \implies v^{\ '} = \sqrt{1-x^{2}} - \frac{x^{2}}{\sqrt{1-x^{2}}}$ (9)

... so that is ...

$\displaystyle W_{u,v} (x)= - (2\ x^{2} +1)\ \sqrt{1-x^{2}} - \frac{ x^{2}\ (2\ x^{2}-1)} {\sqrt{1-x^{2}}}= - \frac{1}{\sqrt{1-x^{2}}}$ (10)

... and remembering that is $\displaystyle \varphi(x)= \frac{2\ x}{\sqrt{1-x^{2}}}$ we finally obtain...

$\displaystyle C_{1}(x)= 2\ \int x^{2}\ \sqrt{1-x^{2}}\ dx = \frac{1}{4}\ \{ x\ \sqrt{1-x^{2}}\ (2\ x^{2}-1) + \sin^{-1} x\}$

$\displaystyle C_{2}(x)= 2\ \int (x - 2\ x^{2})\ dx = x^{2}\ (1-x^{2})$ (11)

... and (7) becomes...

$\displaystyle Y(x)= \frac{2\ x^{2}-1}{4}\ \{x\ \sqrt{1-x^{2}}\ (2\ x^{2}-1) + \sin^{-1} x\} + ( x\ \sqrt{1-x^{2}})^{3}$ (12)

Of course the 'old wolf' isn't a 'Superman' in pure calculus so that it is better that some 'young mind' controls these results (Wasntme)...

Kind regards $\chi$ $\sigma$
 
Last edited:
  • #13
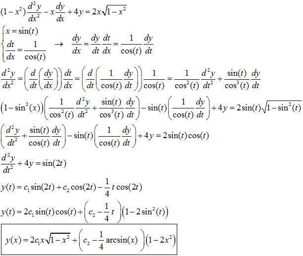
Hi !

I suggest to bring back your result y(x) into the ODE. So that, you will check if your result is correct or not.
This is what I obtained :
 

Attachments

  • ODE solving.JPG
    ODE solving.JPG
    40.9 KB · Views: 110
  • #14
Welcome on MHB JJaquelin!... after Your post I verified some mistakes in my calculation and I corrected them... anyway that is probably not jet all right and further controls of me are necessary... Kind regards $\chi$ $\sigma$
 

Similar threads

  • · Replies 2 ·
Replies
2
Views
4K
  • · Replies 5 ·
Replies
5
Views
4K
  • · Replies 2 ·
Replies
2
Views
4K
  • · Replies 7 ·
Replies
7
Views
4K
  • · Replies 7 ·
Replies
7
Views
2K
  • · Replies 2 ·
Replies
2
Views
3K
  • · Replies 7 ·
Replies
7
Views
3K
  • · Replies 11 ·
Replies
11
Views
2K
  • · Replies 3 ·
Replies
3
Views
3K
  • · Replies 2 ·
Replies
2
Views
3K