Solve This Integral with Help from Experts | Forum Discussion

  • Context: Graduate 
  • Thread starter Thread starter Wort
  • Start date Start date
  • Tags Tags
    Integral
Click For Summary

Discussion Overview

The discussion revolves around solving a specific integral, with participants exploring various substitution methods and techniques. The scope includes mathematical reasoning and problem-solving strategies related to integration.

Discussion Character

  • Mathematical reasoning, Homework-related, Exploratory

Main Points Raised

  • One participant suggests using the substitution u = cos(x) followed by partial fractions as a potential method for solving the integral.
  • Another participant questions the effectiveness of the u = cos(x) substitution and seeks clarification on its application.
  • A different participant proposes using the substitution t = tan(x/2) as an alternative approach.
  • One participant acknowledges difficulties in recognizing appropriate substitutions and elaborates on the implications of using u = cos(x), including the transformation of dx.
  • Another participant points out that the integral already contains sin(x) dx, which simplifies the substitution process.
  • One participant highlights the importance of recognizing that sin(x)sin(x) in the denominator can be expressed as cos^2(x), which may aid in solving the integral.
  • A suggestion is made to multiply the numerator and denominator by [sec(x)]^2 and then apply substitutions.
  • It is noted that multiple substitutions may be necessary, implying a more complex solution process.

Areas of Agreement / Disagreement

Participants express various methods and substitutions without reaching a consensus on the best approach. Multiple competing views on substitution techniques remain evident throughout the discussion.

Contextual Notes

Some participants express uncertainty regarding the effectiveness of certain substitutions and the transformations involved in the integration process. There are also indications of missing assumptions or steps that could affect the clarity of the proposed solutions.

Wort
Messages
4
Reaction score
0
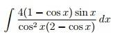
Hey. I'm new to the forum and I was hoping you could help me solve this integral. I was searching for a clue on similar integrals posted on internet, but I couldn't find anything helpful.

The integral is in attachment
 

Attachments

  • integral.jpg
    integral.jpg
    2.4 KB · Views: 403
Physics news on Phys.org
I have not worked this out but the substitution u = cos(x) followed by partial fractions seems like it could do the trick.
 
does t=tan(x/2) work in this case?
 
What's wrong with u = cos(x) as suggested above?
 
Nothing really. I just have difficulties recognizing what I should take as a substitution.

EDIT: If I take u=cosx, du=-sinx dx which makes dx=-du/sinx ... and everywhere else there's "u" instead of "cosx"
 
Last edited:
You already have sin x dx under the integral. That becomes -du, all your cosines become u, and you get integral of [itex]\frac{4(u-1)}{u^2(2-u)}[/itex]
 
wow...just WOW... I didnt even notice there's "sinx" in the numerator, how stupid of me. Thank you and I'm really sorry for wasting your time.
 
If you do integration by substitution than partial fractions you can get the the right answer

You also had sin(x)sin(x) at the bottom
(which is cos^2(x) which will help you greatly)
 
Try multiplying the numerator and denominator by [sec(x)]^2, then do the substitutions.
 
  • #10
You might need to substitute twice, meaning you'll want to back-substitute twice into your final answer.
 

Similar threads

  • · Replies 0 ·
Replies
0
Views
2K
  • · Replies 8 ·
Replies
8
Views
2K
  • · Replies 38 ·
2
Replies
38
Views
5K
  • · Replies 9 ·
Replies
9
Views
4K
  • · Replies 8 ·
Replies
8
Views
4K
Replies
7
Views
3K
  • · Replies 5 ·
Replies
5
Views
3K
  • · Replies 2 ·
Replies
2
Views
2K
  • · Replies 25 ·
Replies
25
Views
4K
  • · Replies 8 ·
Replies
8
Views
3K