Properties of Line Integrals question

Click For Summary

Discussion Overview

The discussion revolves around properties of line integrals, specifically examining the conditions under which certain corollaries apply. Participants explore the definition of a vector field, potential functions, and the implications of the line integral around a closed curve in the context of the given corollary 4.6. The scope includes mathematical reasoning and conceptual clarification related to vector calculus.

Discussion Character

  • Technical explanation
  • Conceptual clarification
  • Debate/contested
  • Mathematical reasoning

Main Points Raised

  • Some participants express uncertainty in answering the questions and seek assistance from others.
  • One participant suggests using the definition of the gradient to approach the problem, indicating that partial derivatives and algebra are necessary for the solution.
  • Another participant provides a potential function and calculates the line integral, questioning whether the result contradicts corollary 4.6.
  • Some participants argue that the conditions for corollary 4.6 must be fulfilled for it to apply, prompting a discussion about the definition of the potential function and the points where it is undefined.
  • There is a debate about the necessity of graphing the curve C and understanding its implications for the line integral.
  • Participants discuss the nature of the parametric curve defined by x = cos(t) and y = sin(t), with some expressing confusion about plotting and understanding the curve's behavior.
  • One participant emphasizes the importance of understanding the mathematical concepts rather than relying solely on graphing calculators.
  • A later reply highlights that the curve described by the parametric equations is a circle, leading to further exploration of its properties.

Areas of Agreement / Disagreement

Participants generally do not reach a consensus, as there are multiple competing views regarding the application of corollary 4.6 and the conditions under which it holds. Some participants agree on the need to clarify the definitions and conditions, while others express differing opinions on the implications of the results.

Contextual Notes

Limitations include the need for clarity on the conditions required for corollary 4.6, the definition of the potential function, and the specific points where it is undefined. There is also uncertainty regarding the graphical representation of the curve and its implications for the line integral.

WMDhamnekar
MHB
Messages
381
Reaction score
30
TL;DR
Let ##f(x,y) =\frac{-y}{x^2+y^2} \hat{i} + \frac{x}{x^2+y^2}\hat{j}## for all ## (x,y) \not= (0,0),## and ##C: x= \cos {(t)}, y = \sin{(t)} , 0\leq t \leq 2\pi.##

(a) Show that ##f = \nabla F,## for ##F(x,y)= \tan^{-1}{\bigg(\frac{y}{x}\bigg)}##

(b)Show that ## \displaystyle\oint_C f\cdot dr = 2\pi.## Does this contradict the following corollary 4.6 ? If yes, explain, If no, explain.
1656596306099.png

I don't have any idea to answer these questions. I am working on it by searching the reference books where similar questions have been solved by authors. Meanwhile, any member of Physics Forums may help me in answering these questions.
 
Last edited:
Physics news on Phys.org
Hint for a) ## \vec f(x,y) = f_x (x,y) \hat i + f_y (x,y) \hat j = \dfrac{\partial F(x,y)}{\partial x} \hat i + \dfrac{\partial F(x,y)}{\partial y} \hat j ##

It is just a matter of using the definition of gradient. Now one just have to do some partial derivatives and some algebra.

b) Can you draw in a x-y coordinate system the curve C? Is the given F(x,y) defined for all points on and inside this curve?
 
Answer to (a) ##f(x,y) = \frac{-y}{x^2+y^2}\hat{i} + \frac{x}{x^2+y^2}\hat{j}## has a potential ##F(x,y) =\arctan{y/x}##
Now, ##\nabla F = \frac{x}{x^2+y^2}\hat{j}= f(x,y) \because \frac{-y}{x^2+y^2}\hat{i} =0 ## for y= sin(t) where 0≤t ≤2π

Answer to (b) ##\displaystyle\oint_C f\cdot dr = \displaystyle\int_0^{2\pi} 1dt= 2\pi##. The answer is nonzero. So it contradicts with the given corollary 4.6.

Are my both answers correct?
 
Last edited:
WMDhamnekar said:
In my opinion,

Math is not about opinions.

Your result for b) does not contradict corollary 4.6, look at what conditions must be fulfilled in order for that corollary to apply. Are those conditions met in this problem? Does an equilateral triangle contradict Pythagoras theorem?

For a) you have not done anything I told you to do, you need to evaulate the partial derivatives of F(x,y) and show that those indeed match the given components of your function f(x,y).
 
Last edited by a moderator:
Answer to (a)

##\frac{\partial{\arctan{(\frac{y}{x})}}}{\partial{x}}= \frac{-y}{x^2+y^2}, \frac{\partial{\arctan{(\frac{y}{x})}}}{\partial{y}}= \frac{x}{x^2+y^2}##
So, we can say ##f=\nabla F ## for F(x,y) = tan-1(y/x)

Answer to (b) ##\displaystyle\oint_C f \cdot dr = 2\pi ## f(x,y) is valid for all (x,y ) ≠ (0,0).
Now , In the following cases -sin(t) = 0, when t =0, π, 2π. cos(t) =0 when t=π/2, 3π/2.
Now, how to use that information here?
I am unable to graph this f(x,y) in 2D? If you show me how does it look in 2d, It would be better to grasp your answer.
 
I wrote that you should graph the curve C, not f(x,y)...
Is F(x,y) defined for all points on the curve C and inside the curve C?
Look carefully at the expression for F(x,y) - what x and y values makes it not being defined?
1656662251799.png
 
drmalawi said:
I wrote that you should graph the curve C, not f(x,y)...
Is F(x,y) defined for all points on the curve C and inside the curve C?
Look carefully at the expression for F(x,y) - what x and y values makes it not being defined?
View attachment 303591
F(x,y)= tan-1(y/x) is undefined for (x,y)=(0,0). So, How can we say it doesn't contradict corollary 4.6?
 
WMDhamnekar said:
F(x,y)= tan-1(y/x) is undefined for (x,y)=(0,0).

There are more points for which it is not defined.

WMDhamnekar said:
So, How can we say it doesn't contradict corollary 4.6?
What are the requirements for corollary 4.6?

Please answer this question: Does an equilateral triangle contradict Pythagoras theorem?
 
  • Informative
Likes   Reactions: WMDhamnekar
Equilateral triangle doesn't contradict Pythagoras theorem.
The requirement of corollary 4.6 is ##\displaystyle\oint_C \nabla F \cdot dr =0 ## which is not fulfilled in our case.

So, you mean to say, that's why it doesn't contradict the given corollary. If that logic is correct, Okay. I agrre with you.
Author also answered what you answered. Thanks.
 
  • #10
f(x,y) does not have a potential for all the points in the region which C encloses, because F(x,y) is not defined when x = 0 and x=0 is indeed happening inside (and on) C. Therefore, the corollary does not apply. It is not contradicted, because its requirements are not fulfilled so there is nothing to be contradicted.
 
Last edited by a moderator:
  • Like
Likes   Reactions: Delta2 and WMDhamnekar
  • #11
drmalawi said:
I wrote that you should graph the curve C, not f(x,y)...
Is F(x,y) defined for all points on the curve C and inside the curve C?
Look carefully at the expression for F(x,y) - what x and y values makes it not being defined?
View attachment 303591
I think the shaded region(drawn red lines) in the following graph is the line integral intended in this question.
1656686881422.png
 
  • #12
WMDhamnekar said:
I think the shaded region(drawn red lines) in the following graph is the line integral intended in this question.

Nope, the parametric curve defined by x = cos(t) and y = sin(t) where 0 ≤ t≤ 2π you must know!
Try to plot it for some values of t like 0, π/4, π/2, 3π/4, and so on...
 
  • #13
drmalawi said:
Nope, the parametric curve defined by x = cos(t) and y = sin(t) where 0 ≤ t≤ 2π you must know!
Try to plot it for some values of t like 0, π/4, π/2, 3π/4, and so on...
Do you mean to say these curves?
y1(x)=cos(x)

1656745263117.png

y2(x)=sin(x)
1656745305807.png

Simultaneous plottings of both the graphs below:
1656745350785.png
 
  • #14
No plot the points (x,y) for some values of t in the range from 0 to 2π, where x = cos t and y = sin t ...

I'll give you a hint, here are the points for t = π/4 and t = π/4

1656745776216.png


How come you are doing line-integrals but don't know the basics of parametric curves?
 
  • #15
drmalawi said:
No plot the points (x,y) for some values of t in the range from 0 to 2π, where x = cos t and y = sin t ...

I'll give you a hint, here are the points for t = π/4 and t = π/4

View attachment 303638

How come you are doing line-integrals but don't know the basics of parametric curves?
Do you mean the following graph?
1656750323025.png
 
  • #16
What does the entire parametric curve C look like?
 
  • #17
drmalawi said:
What does the entire parametric curve C look like?
Have you seen my post #15? In the graph given in #15 ,t is substituted by u.
 
  • #18
WMDhamnekar said:
Have you seen my post #15? In the graph given in #15 ,t is substituted by u.

the parameter values are not between 0 and 2π hence the entire curve C is not plotted
 
  • #19
drmalawi said:
the parameter values are not between 0 and 2π hence the entire curve C is not plotted
In the following graph, is the entire curve C plotted?
1656752652144.png
 
Last edited:
  • #20
WMDhamnekar said:
u(t) ranges from 0 to 2π, so x = cos (u) will also range from -1 to 1 and y = sin(u) will also range from -1 to 1.

Now you got to be kidding me.

What if t = 3π/4? Then x<0 but y>0

I think you need to practice basics first.

Another way of analyzing that parametric curve is to see that x2 + y2 = 1 for all values of t. What kind of curve satisfies the equation x2 + y2 = 1?
 
  • #21
drmalawi said:
Now you got to be kidding me.

What if t = 3π/4? Then x<0 but y>0

I think you need to practice basics first.

Another way of analyzing that parametric curve is to see that x2 + y2 = 1 for all values of t. What kind of curve satisfies the equation x2 + y2 = 1?
I am a novice in using the graphing calculator. I can plot it manually, but it is time consuming and cumbersome exercise. Thanks for helping me to answer this question.
 
  • #22
WMDhamnekar said:
I am a novice in using the graphing calculator. I can plot it manually, but it is time consuming and cumbersome exercise. Thanks for helping me to answer this question.

You really need to know how these curves work, rely on brain not on calculator.

here I did it for you with geogebra using the slider function

1656753349246.png

now having tighter values of t
1656753578536.png


looks to me its a circle with radius 1 and center at the origin. Wow that's so cool! But hey, the equation for such circle is x2 + y2 = 1, which is indeed satisfied for x = cos t and y = sin t

Bonus question, if t was ranging from 0 to π then the curve would become this:
1656753610312.png


this is becase we will never hit any negative y-values for this range of t, so the curve in this case is not closed, it is a semi-circle.
 
  • Like
Likes   Reactions: WMDhamnekar
  • #23
drmalawi said:
You really need to know how these curves work, rely on brain not on calculator.

here I did it for you with geogebra using the slider function

View attachment 303643
now having tighter values of t
View attachment 303645

looks to me its a circle with radius 1 and center at the origin. Wow that's so cool! But hey, the equation for such circle is x2 + y2 = 1, which is indeed satisfied for x = cos t and y = sin t

Bonus question, if t was ranging from 0 to π then the curve would become this:
View attachment 303646

this is becase we will never hit any negative y-values for this range of t, so the curve in this case is not closed, it is a semi-circle.
The graph you drawn is same which was posted in #11. But, I didn't write the x and y coordinates in that graph. It was the rough sketch I drawn(#11). Sorry, if you have any trouble while helping me to answer this question.
 
  • #24
WMDhamnekar said:
The graph you drawn is same which was posted in #11. But, I didn't write the x and y coordinates in that graph

It is not a circle that you draw, it looks like an "elliptic" version of an annulus https://en.wikipedia.org/wiki/Annulus_(mathematics)

1656757125196.png
 
  • #25
  • #26
WMDhamnekar said:
Hi,
View attachment 303651
If the above given graph is the line integral, how would you draw a line integral for the circle drawn by you?
That's what I did in #11 though it looks like the annulus as you said

I only asked what the curve C looked like. You have to read things carefully.
1656766029413.png


and your function f(x,y) is a VECTOR function, it takes a coordinate as input and spits out a vector.
 
  • #27
1656777629781.png
 
  • Like
Likes   Reactions: malawi_glenn
  • #28
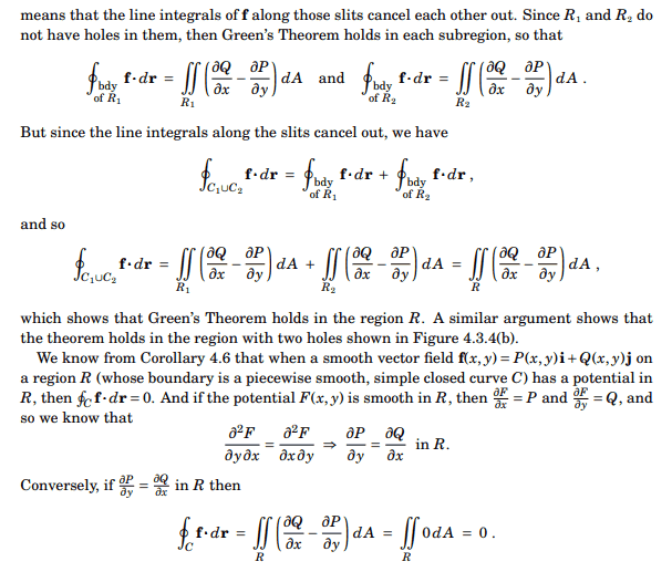
How to prove C f∙ dr =0 in the example given below:

1656818577444.png
 
Last edited:
  • Like
Likes   Reactions: Delta2 and dextercioby
  • #29
WMDhamnekar said:
How to prove ∮C f∙ dr =0 in the example given below:

That result depends on what region R you are considering.Here, first the origin is removed so that Greens theorem does not apply. R is all points (x,y) s.t. 0 < x2 + y2 ≤ 1. Thus the curve C: x = cos t, y = sin t, 0 ≤ t ≤ 2π does not enclose the entire region R. C covers more than R. This means that Greens theorem is not applicable.

1656836771814.png

Then they change the region so that there is an annulus instead, and now Greens theorem applies.

The problem as you originallly phrased it, did not mention any region whatsoever, only a curve. And when you do so, then it is implied that the region R is everything on and inside of C.

You have to pay attention to these little details, they are crucial.
 
  • #30
Author has not proved in this example, how Cf∙dr = C1f∙dr1 +C2 f∙dr2 = 0.
I want to know how can we prove it?

( I think author left this topic for the readers to prove themselves as a homework exercise)
 
  • Like
Likes   Reactions: Delta2

Similar threads

  • · Replies 5 ·
Replies
5
Views
2K
Replies
3
Views
2K
  • · Replies 8 ·
Replies
8
Views
3K
  • · Replies 14 ·
Replies
14
Views
2K
  • · Replies 11 ·
Replies
11
Views
3K
  • · Replies 3 ·
Replies
3
Views
4K
  • · Replies 4 ·
Replies
4
Views
3K
  • · Replies 11 ·
Replies
11
Views
3K
  • · Replies 31 ·
2
Replies
31
Views
5K