Solving a Complex Circuit Equation

  • Thread starter Thread starter jonlg_uk
  • Start date Start date
  • Tags Tags
    Circuit Complex
Click For Summary
SUMMARY

The discussion centers on solving a complex circuit equation involving two variables, U1 and U2. The user has successfully derived an equation for U2 but struggles to substitute it into the equation for U1 to match the output from their circuit simulator. Despite multiple attempts and significant time investment, the user has not been able to simplify U1 to align with the simulator's result. Assistance is requested from individuals with advanced mathematical skills to resolve this issue.

PREREQUISITES
  • Understanding of circuit analysis principles
  • Familiarity with algebraic manipulation of equations
  • Experience with circuit simulation software
  • Knowledge of electrical engineering concepts related to voltage and current
NEXT STEPS
  • Research techniques for substituting variables in complex equations
  • Learn about circuit simulation tools and their output interpretation
  • Study algebraic simplification methods for electrical equations
  • Explore online resources or forums for circuit analysis problem-solving
USEFUL FOR

Electrical engineering students, circuit designers, and anyone involved in circuit analysis and simulation who seeks to enhance their problem-solving skills in complex equations.

jonlg_uk
Messages
141
Reaction score
0

Homework Statement


I have the following circuit...
circuit22.jpg


I have managed to derive an equation for U2:

u22.jpg


Now I want to substitute U2 into U1, in order to derive equation for U1

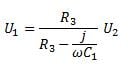
I have defined U1 as:

u11.jpg


Now I substitute U2 into the above equation. This is how far I get...I am stuck...


My circuit simulator is saying that U1 is equal to:


u11sol.jpg



However I cannot simply to get this equation. Can someone please help I have spent hours trying to get U1 to look like the U1 that the simulator produces.


I thank you in advance.
 
Physics news on Phys.org
Wow 380 hits and no-one can solve it. I was up until 3am last night trying to do this and still couldn't get U1 looking like the simulator produced. I would be massively grateful if someone, with better mathematical skills than me have a go at solving this, its driving me BONKERS.
 

Similar threads

  • · Replies 2 ·
Replies
2
Views
2K
  • · Replies 5 ·
Replies
5
Views
2K
Replies
2
Views
2K
  • · Replies 5 ·
Replies
5
Views
5K
  • · Replies 5 ·
Replies
5
Views
5K
Replies
5
Views
1K
  • · Replies 5 ·
Replies
5
Views
3K
  • · Replies 1 ·
Replies
1
Views
1K
Replies
3
Views
4K
  • · Replies 2 ·
Replies
2
Views
2K