Solving a Linear Algebra Problem: Finding Coefficient and Orthogonal Matrices

Click For Summary

Homework Help Overview

The discussion revolves around a linear algebra problem involving the identification of a coefficient matrix and the derivation of an orthogonal matrix through transformation techniques. Participants are exploring concepts related to symmetric matrices and their properties in the context of quadratic forms.

Discussion Character

  • Exploratory, Conceptual clarification, Mathematical reasoning, Problem interpretation

Approaches and Questions Raised

  • The original poster attempts to identify the coefficient matrix and considers using the Gram-Schmidt process to find the orthogonal matrix. Some participants suggest examining the symmetric part of the matrix to aid in understanding the quadratic form. Others raise questions about the normal procedures for handling such matrices and the implications of their properties.

Discussion Status

Participants are actively engaging with the problem, offering insights into the properties of symmetric matrices and discussing the implications for eigenvalues and eigenvectors. There is a recognition of the need for further exploration of the translation of sections of the problem into matrix form, indicating a productive direction in the discussion.

Contextual Notes

Some participants express uncertainty regarding the standard methods for approaching the problem, highlighting a potential gap in their understanding of the material. The original poster has shared scanned pages of their work for review, indicating a collaborative effort to clarify the problem's requirements.

degs2k4
Messages
72
Reaction score
0

Homework Statement


vovcp4.png

The Attempt at a Solution


on P1), they only ask for the coefficient matrix, which I think is the following one:
1 -6 2
0 1 4
0 0 15/8

on P2), they ask for the orthogonal matrix P used for the transformation. I suppose I have to apply Gram-Schmidt of the coefficient matrix from P1) to get P, but I am not sure of it...
Could someone guide me to solve this problem ?

Thanks in advance
 
Physics news on Phys.org
that matrix gives the quadratic form, but the normal way to do this is to consider the symmetric matrix that gives your equation, so if we call your matrix M, we can find the symmetric part by:
[tex]A = \frac{1}{2}(M + M^T) <br /> = \frac{1}{2}(\begin{pmatrix} 1 & -6 & 2 \\0 & 1 & 4 \\0 & 0 & \frac{15}{8} \end {pmatrix}<br /> + \begin{pmatrix} 1 & 0 & 0 \\-6 & 1 & 0 \\2 & 4 & \frac{15}{8} \end {pmatrix})<br /> = \begin{pmatrix} 1 & -3 & 1 \\-3 & 1 & 2 \\1 & 2 & \frac{15}{8} \end {pmatrix}[/tex]

you can check this gives you the same quadratic form, and the properties of the symmetric matrix will be useful later on
 
for the next parts, i would start thinking about eignevectors...

note that you can prove symmetric matricies with real entries have real eigenvalues & are diagonalisable
 
lanedance said:
that matrix gives the quadratic form, but the normal way to do this is to consider the symmetric matrix that gives your equation...

Why? I mean, that is something you thought of by looking at the rest of the problem? I didn't know that was the normal way to do that...

lanedance said:
for the next parts, i would start thinking about eignevectors...
note that you can prove symmetric matricies with real entries have real eigenvalues & are diagonalisable

Thanks for the advice. I'm going to try that and post back the results here again.
 
degs2k4 said:
Why? I mean, that is something you thought of by looking at the rest of the problem? I didn't know that was the normal way to do that...
i had a look at my textbook... ;)

the explanation is as follows, first any matrix can be written in terms of its symmetric (A=AT) and anti symmetric (B=-BT) parts, say M = A + B, where they are given by:
[tex] A = \frac{1}{2}(M+ M^T), \ \ B = \frac{1}{2}(M- M^T)[/tex]

now consider the quadratic form
[tex] Q = x^T A x[/tex]

now consider the quadratic form
[tex] Q = x^T M x = x^T A +x ^T B x [/tex]

Q is scalar, so clearly QT = Q, then
[tex] Q = x^T M x = x^T A +x ^T B x = Q^T = x^TA x - x ^T B x[/tex]

which gives
[tex] x ^T B x = 0[/tex]

so the anti symmetric part doesn't really do anything anyway..
 
then when you do it, you get all of the nice properties that come with symmetric matricies
 
Hello again,

Sorry about the late reply. Have been quite busy with other work.

After learning the properties of symmetric matrices and eigenvalues/vectors, I think I could solve most of the problem. But have doubts in the last parts of the problem. My main doubt now is how could I express the translation of section (3) as a matrix to be used in (4) for the composite transformation...

I uploaded 4 scanned pages of what I have done so far:

http://i50.tinypic.com/zsvlmg.jpg"
http://i49.tinypic.com/1zyydkh.jpg"
http://i45.tinypic.com/2mynbqb.jpg"
http://i47.tinypic.com/bjipmc.jpg"

I would be very grateful if someone could check it...
Thanks in advance...
 
Last edited by a moderator:
Could some please check if this is ok, specially parts 3-5?

Thanks

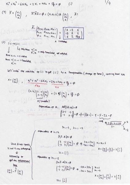
Page 1 : sections (1) and (2) of the problem
zsvlmg.jpg

Page 2 : section (2) (cont)
1zyydkh.jpg

Page 3 : section (3)
2mynbqb.jpg

Page 4 : section (4) and (5)
bjipmc.jpg
 

Attachments

  • zsvlmg.jpg
    zsvlmg.jpg
    30.1 KB · Views: 397
  • 1zyydkh.jpg
    1zyydkh.jpg
    24.8 KB · Views: 361
  • 2mynbqb.jpg
    2mynbqb.jpg
    24.6 KB · Views: 374

Similar threads

  • · Replies 25 ·
Replies
25
Views
4K
  • · Replies 6 ·
Replies
6
Views
5K
  • · Replies 8 ·
Replies
8
Views
3K
  • · Replies 5 ·
Replies
5
Views
2K
  • · Replies 10 ·
Replies
10
Views
2K
  • · Replies 2 ·
Replies
2
Views
2K
  • · Replies 2 ·
Replies
2
Views
2K
  • · Replies 10 ·
Replies
10
Views
3K
  • · Replies 2 ·
Replies
2
Views
2K
Replies
15
Views
3K