Solving Laplace Equations using this boundary conditions?

Click For Summary
SUMMARY

The discussion focuses on solving the Laplace equation Uxx + Uyy = 0 within the domain 0 < x < a, 0 < y < b, under specific boundary conditions. The user applied the method of separation of variables, leading to the equations X''/X = -Y''/Y = k. The analysis revealed that for k > 0, no non-trivial solutions exist, while for k = 0, the solution U(x,y) = y/b + 1 was found. The user encountered difficulties with k < 0, specifically with the Fourier Series approach, which led to the conclusion that the coefficients Dn = 0 do not satisfy the boundary condition u(x,0) = 1.

PREREQUISITES
  • Understanding of Laplace equations and boundary value problems
  • Familiarity with separation of variables technique
  • Knowledge of Fourier Series and their application in solving differential equations
  • Basic concepts of trigonometric functions and their properties
NEXT STEPS
  • Study the method of separation of variables in greater detail
  • Learn about Fourier Series expansions for different boundary conditions
  • Explore the implications of k < 0 in the context of differential equations
  • Review the properties of trigonometric functions, particularly sine and cosine
USEFUL FOR

Mathematicians, physicists, and engineering students focusing on partial differential equations, particularly those interested in boundary value problems and Fourier analysis.

astrodeva
Messages
1
Reaction score
0
The equation is Uxx + Uyy = 0
And domain of solution is 0 < x < a, 0 < y < b
Boundary conditions:
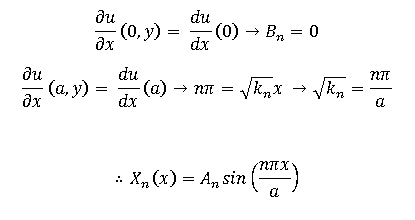
Ux(0,y) = Ux(a,y) = 0
U(x,0) = 1
U(x,b) = 2

What I've done is that I did separation of variables:
U(x,y)=X(x)Y(y)

Plugging into the equation gives:
X''Y + XY'' = 0

Rearranging:
X''/X = -Y''/Y = k

For case k > 0, I saw that it gives no non-trivial solutions.
For case k = 0, I solved it and found U(x,y) = y/b + 1

For case k < 0, I'm slightly lost.
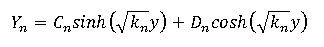
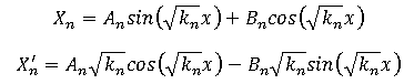
X'' + kX = 0
Y'' - kX = 0

upload_2016-4-9_12-32-57.png


Using the X boundary conditions:
upload_2016-4-9_12-33-41.png


upload_2016-4-9_12-34-11.png

Using the Y boundary condition:
upload_2016-4-9_12-34-47.png

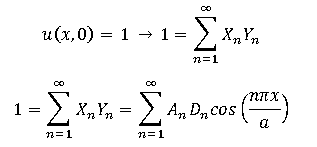
Using Fourier Series to find the coefficient:
upload_2016-4-9_12-34-59.png


But the integral just gives Dn = 0, and this doesn't satisfy u(x,0) = 1.

Can someone explain where I went wrong?

Thanks!
 

Attachments

  • upload_2016-4-9_12-34-29.png
    upload_2016-4-9_12-34-29.png
    1.4 KB · Views: 321
  • upload_2016-4-9_12-34-45.png
    upload_2016-4-9_12-34-45.png
    1 KB · Views: 494
Physics news on Phys.org
Your working is confusing.

If you start with [itex]X'' = kX[/itex] and want [itex]k < 0[/itex], you should then be writing [itex]\sin(\sqrt{|k|}x)[/itex] and so forth, or defining [itex]k = -c^2[/itex] where [itex]c \geq 0[/itex].

You want to be using cosines, which in fact you end up doing, but only after expressly stating that [itex]X_n = A_n\sin(n\pi x/a)[/itex].

Now the cosine expansion of [itex]1[/itex] on [itex][0,a][/itex] is [itex]\cos(0x)[/itex]. Thus you have correctly determined that all the other coefficients vanish.
 

Similar threads

  • · Replies 11 ·
Replies
11
Views
3K
  • · Replies 5 ·
Replies
5
Views
3K
  • · Replies 1 ·
Replies
1
Views
2K
  • · Replies 12 ·
Replies
12
Views
2K
Replies
4
Views
2K
Replies
6
Views
2K
  • · Replies 5 ·
Replies
5
Views
1K
Replies
7
Views
2K
Replies
3
Views
2K
  • · Replies 1 ·
Replies
1
Views
2K