Solving Limits Using De L'Hospital's Rule

  • Context: MHB 
  • Thread starter Thread starter bahadeen
  • Start date Start date
  • Tags Tags
    Tips
Click For Summary
SUMMARY

The discussion focuses on solving limits using De L'Hospital's Rule, specifically addressing the limit $\lim_{x \to 0} \frac{\sin(x^4)}{5x^4}$. The problem arises from an indeterminate form of $\frac{0}{0}$, allowing the application of De L'Hospital's Rule. The solution confirms that the limit evaluates to $\frac{1}{5}$, leveraging the established fact that $\lim_{u \to 0} \frac{\sin u}{u} = 1$.

PREREQUISITES
  • Understanding of limits in calculus
  • Familiarity with De L'Hospital's Rule
  • Knowledge of trigonometric limits, specifically $\lim_{u \to 0} \frac{\sin u}{u}$
  • Basic integration concepts
NEXT STEPS
  • Study advanced applications of De L'Hospital's Rule in calculus
  • Explore trigonometric limits and their proofs
  • Learn about other indeterminate forms and their resolutions
  • Investigate the implications of limits in real-world scenarios
USEFUL FOR

Students and educators in calculus, mathematicians focusing on limit evaluation, and anyone seeking to deepen their understanding of De L'Hospital's Rule and its applications in solving indeterminate forms.

bahadeen
Messages
2
Reaction score
0
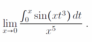
can anyone give me a hint on how to solve this probelem View attachment 4167
 

Attachments

  • a28.gif
    a28.gif
    3.4 KB · Views: 126
Physics news on Phys.org
bahadeen said:
can anyone give me a hint on how to solve this probelem

The limit is equal to $\frac{\int_0^0 \sin(xt^3)dt}{0}= \frac{0}{0}$, so we can use De L'Hospital.We get:$$\lim_{x \to 0} \frac{\sin(x^4)}{5x^4}= \frac{1}{5} \lim_{x \to 0} \frac{\sin(x^4)}{x^4}= \frac{1}{5}$$

since it is known that $\lim_{u \to 0} \frac{\sin u}{u}=1$.
 

Similar threads

  • · Replies 3 ·
Replies
3
Views
2K
Replies
4
Views
2K
  • · Replies 2 ·
Replies
2
Views
2K
  • · Replies 2 ·
Replies
2
Views
2K
  • · Replies 2 ·
Replies
2
Views
2K
  • · Replies 6 ·
Replies
6
Views
2K
  • · Replies 2 ·
Replies
2
Views
2K
  • · Replies 3 ·
Replies
3
Views
2K
  • · Replies 18 ·
Replies
18
Views
2K
Replies
1
Views
3K