Specific heat and heat of fusion lab questions

Click For Summary
SUMMARY

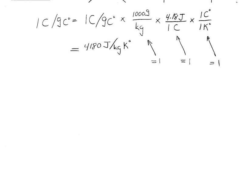
The discussion focuses on converting the specific heat of water from calories to Joules, specifically from 1.00 cal/(g*Celsius) to Joules/(kg*Kelvin). The conversion requires understanding the relationship between calories and Joules, where 1 cal equals 4.184 Joules, and recognizing the mass conversion from grams to kilograms. The final result is 4184 Joules/(kg*Kelvin), achieved by applying the appropriate conversion factors.

PREREQUISITES
  • Understanding of specific heat capacity
  • Knowledge of unit conversion between calories and Joules
  • Familiarity with mass conversion from grams to kilograms
  • Basic algebra for manipulating equations
NEXT STEPS
  • Research the conversion factors between calories and Joules
  • Learn about specific heat capacity in different materials
  • Explore the concept of heat transfer and its applications
  • Study the principles of thermodynamics related to heat and temperature
USEFUL FOR

Students studying physics or chemistry, educators teaching thermodynamics, and anyone interested in understanding heat transfer and specific heat calculations.

lilmulli14
Messages
1
Reaction score
0

Homework Statement



given the specific heat of water is 1.00 cal/(g*Celsius), what is the specific heat in Joules/(kg*Kelvin)

Homework Equations


I realize that this is simply a conversion factor issue but I have NO IDEA how to even start it..


The Attempt at a Solution


I know the conversion favor for g to kg but that's it...
 
Physics news on Phys.org
If you multiply something by one you don't change it, see,
 

Attachments

  • aaaaa101.jpg
    aaaaa101.jpg
    10.9 KB · Views: 500

Similar threads

Replies
54
Views
10K
  • · Replies 3 ·
Replies
3
Views
2K
Replies
3
Views
2K
  • · Replies 3 ·
Replies
3
Views
1K
  • · Replies 6 ·
Replies
6
Views
2K
  • · Replies 10 ·
Replies
10
Views
2K
  • · Replies 21 ·
Replies
21
Views
2K
Replies
1
Views
3K
  • · Replies 9 ·
Replies
9
Views
2K
  • · Replies 3 ·
Replies
3
Views
4K