Speed of light not an invariant in GR

Click For Summary

Discussion Overview

The discussion revolves around the concept of the speed of light in the context of General Relativity (GR), particularly addressing Einstein's statements regarding the invariance of light speed and its implications in curved spacetime. Participants explore the differences between coordinate speed and locally measured speed, the effects of gravity on light propagation, and the interpretation of Einstein's original equations related to light bending.

Discussion Character

  • Exploratory
  • Technical explanation
  • Debate/contested

Main Points Raised

  • Some participants note that Einstein states the speed of light is not invariant in GR, suggesting that while it is always measured as c in local inertial frames, this does not hold in non-inertial frames or under gravitational influence.
  • Others argue that the speed of light can appear to vary in different frames, particularly in non-inertial frames, where coordinate speed may exceed c, but light still travels on null geodesics.
  • A participant highlights the distinction between coordinate speed and locally measured speed, emphasizing that local measurements in free-fall frames yield c, while observers with nonzero proper acceleration may not measure c.
  • Some contributions discuss the implications of Einstein's equations and the use of Huygens principle to explain light deflection, noting that the coordinate speed of light becomes dependent on the gravitational field.
  • There is a reference to a misunderstanding regarding Einstein's statements about the constancy of light speed and the conditions under which they apply, particularly in relation to gravitational fields.

Areas of Agreement / Disagreement

Participants express differing views on the interpretation of light speed in GR, particularly regarding the conditions under which it is considered invariant. There is no consensus on the implications of Einstein's statements or the nuances of measuring light speed in various frames.

Contextual Notes

Participants note that the discussion involves complex interpretations of Einstein's original work and the mathematical formulations of light behavior in curved spacetime, which may depend on specific assumptions and definitions that are not universally agreed upon.

  • #91
Pyter said:
Fascinating. c > 1 in some cases, that must be the famous warp speed. And the c appearing in the proper time's equation is just the limit as measured in an IFR, then.
For example in rotating frame of reference anybody at ## r >\frac {c}{\omega}## from Origin cannot stop but move with coordinate speed > c. But we cannot invent the warp from it.
 
  • Like
Likes   Reactions: Pyter
Physics news on Phys.org
  • #92
vanhees71 said:
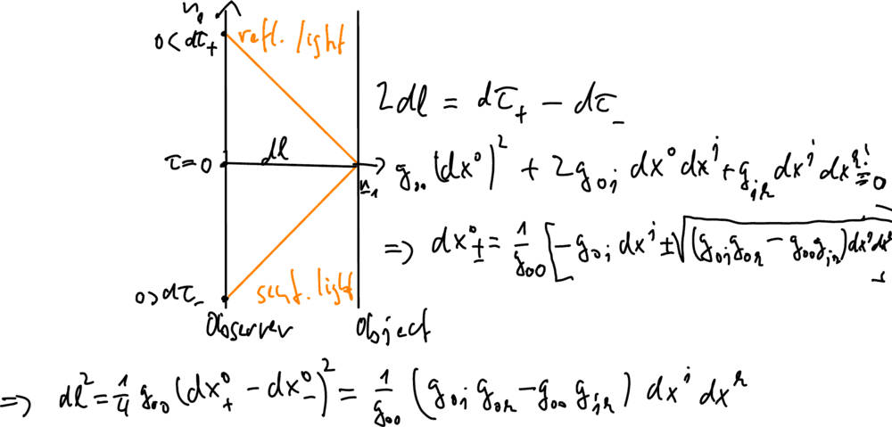
Here's an infinitesimal Minkowski diagram defined by the observer's tetrad. The derivation is from Landau&Lifshitz vol. 2. There you find a very clear discussion of spacetime geometry/tensor analysis.

View attachment 277490
@vanhees71 I've finally found the time to look into the textbook you cited. But if you're transcribing the discussion starting from equation 84.1 on, it's just to determine the ##dl## from the ##d\tau##, and the authors assume that c is an invariant. It's not used to show that the measured speed of light is an invariant in GR.
I'm quoting from the textbook, just before eq. 84.4 (sorry for the bad formatting):
SupposealightsignalisdirectedfromsomepointBinspace(withcoordinatesxa+dxa)toapointAinfinitelyneartoit(andhavingcoordinatesxa)andthenbackoverthesamepath.Obviously,thetime(asobservedfromtheonepointB)requiredforthis,whenmultipliedbyc,istwicethedistancebetweenthetwopoints.
 
  • #93
Pyter said:
It's not used to show that the measured speed of light is an invariant in GR.

Perhaps it will help to rephrase exactly what is invariant in relativity. The invariant is the light cone structure of spacetime. For any given event, call it event E, if you imagine light signals emitted from that event in all possible directions and never being absorbed, the set of events that those light signals will reach is the future light cone of event E. Similarly, if you imagine light signals arriving at event E from all possible directions, all of which were emitted infinitely far in the past, the set of events that those light signals passed through before reaching event E is the past light cone of event E. And relativity (special or general) says that those light cones--those sets of points in spacetime--are invariant for any given event E; they are the same no matter what coordinates you choose, or what system of units you choose, or what conventions or methods you adopt for measuring the speed of light.

To put it another way: you can't change what events can send light signals to what other events. That will stay the same no matter what coordinates you choose, or what system of units you choose, or what conventions or methods you adopt for measuring the speed of light.
 
  • Like
Likes   Reactions: vanhees71
  • #94
Pyter said:
@vanhees71 I've finally found the time to look into the textbook you cited. But if you're transcribing the discussion starting from equation 84.1 on, it's just to determine the ##dl## from the ##d\tau##, and the authors assume that c is an invariant. It's not used to show that the measured speed of light is an invariant in GR.
I'm quoting from the textbook, just before eq. 84.4 (sorry for the bad formatting):
Of course, famously special relativity has been derived by Einstein from the assumption (sic!) that the (two-way) speed of light is an invariant and this is of course inherited by general relativity, which is just an extension obtained by "gauging" Lorentz invariance, i.e., making the proper orthochronous Lorentz group a local symmetry. Indeed this implies, what @PeterDonis called the "lightcone structure" of spacetime. It's however a bit more than that, because in addition it also provides the (pseudo-)metrical structure of spacetime, i.e., it's the Lorentz group which is the local symmetry group of GR not the larger group including scale invariance of pure electromagnetics (i.e., Maxwell theory without charges and currents).
 
  • #95
PeterDonis said:
The invariant is the light cone structure of spacetime.
I've always struggled to visualize it in 4D, and also in 3D. What's its shape exactly?
If the metric changes with time, the light speed also changes, so you might say that the cone is not "static" (in time) and is not a "cone", in the sense that its surface is not regular but bent here and there by the massive bodies?
 
  • #96
Pyter said:
I've always struggled to visualize it in 4D, and also in 3D. What's its shape exactly?
If the metric changes with time, the light speed also changes, so you might say that the cone is not "static" (in time) and is not a "cone", in the sense that its surface is not regular but bent here and there by the massive bodies?
If you don't like the phrase "light cone", then we could call it the past "causal container".

More importantly, we are dealing with spacetime, not space. A past light cone at a point in spacetime has no concept of being "static".

Also, there is no sense in which the speed of light changes with time.

I'm not sure how you get to the point where you can grasp these concepts. Maybe it goes back to a point I made earlier that you are reading material on SR/GR, but you are not doing any of the problems, so you've never tested that you've understood anything.

I'd like to see you post some problems as homework instead of just talking about the subject.
 
  • Like
Likes   Reactions: vanhees71
  • #97
PeroK said:
@Pyter a good exercise for you would be to extend the above for the case of an arbitrary diagonal metric.
That was already transcribed by @vanhees71 in this thread, for an arbitrary metric, from the Landau-Lifshitz textbook. Anyway, the very informative link you posted from the Physics FAQ convinced me that the speed of light is c only if measured in an inertial frame or if the observer is near the light beam, and thus generally <> c in a non-IFR and at a great distance.
PeroK said:
More importantly, we are dealing with spacetime, not space. A past light cone at a point in spacetime has no concept of being "static".
I have a hard time visualizing it as a "cone" in the 4D spacetime with an arbitrary metric. Moreover, in GR, there's no such a thing as a "global" flat 4D spacetime with Minkowski (##\eta_{\mu\nu}##) metric.
PeroK said:
Also, there is no sense in which the speed of light changes with time.
The measured speed of a faraway light beam depends on the metric, and the metric generally depends on time.
I'm citing from said textbook, just before eq. 84.8:

1613658006115.png
 
  • #98
Pyter said:
The measured speed of a faraway light beam depends on the metric, and the metric generally depends on time.
I'm citing from said textbook, just before eq. 84.8:

View attachment 278279
Well, no you're not "citing from said textbook". The textbook is saying one thing and you're saying something entirely different!
 
  • #99
@PeroK I meant that the speed of light depends on the metric, and thus time, through the ##\int dl##.
 
  • #100
Pyter said:
@PeroK I meant that the speed of light depends on the metric, and thus time, through the ##\int dl##.
It's still wrong and not at all what that text is saying. That text does not even mention the speed of light, let alone say it "changes with time".
 
  • #101
PeroK said:
Then I'm citing from your link (emphasis mine):

None of the preceding discussion actually depends on the distances being large; it's just easier to visualise if we use such large distances. So now transfer that discussion to a rocket you are sitting in, far from any gravity and uniformly accelerated, meaning you feel a constant weight pulling you to the floor. "Above" you (in the direction of your acceleration), time speeds up and light travels faster than c, arbitrarily faster the higher up you want to consider. Now use the Equivalence Principle to infer that in the room you are sitting in right now on Earth, where real gravity is present and you aren't really accelerating (we'll neglect Earth's rotation!), light and time must behave in the same way to a high approximation: light speeds up as it ascends from floor to ceiling, and it slows down as it descends from ceiling to floor; it's not like a ball that slows on the way up and goes faster on the way down. Light travels faster near the ceiling than near the floor. But where you are, you always measure it to travel at c; no matter where you place yourself, the mechanism that runs the clock you're using to measure the light's speed will speed up or slow down precisely in step with what the light is doing. If you're fixed to the ceiling, you measure light that is right next to you to travel at c. And if you're fixed to the floor, you measure light that is right next to you to travel at c. But if you are on the floor, you maintain that light travels faster than c near the ceiling. And if you're on the ceiling, you maintain that light travels slower than c near the floor.
The observed speed of a faraway light beam depends on the metric, and if the latter depends on time, also the light speed does.
 
  • #102
Pyter said:
Then I'm citing from your link (emphasis mine):
The observed speed of a faraway light beam depends on the metric, and if the latter depends on time, also the light speed does.
Okay, but it's impossible to keep up with this. You posted a completely different text previously (claiming you were referencing that). Now you're posting a different text altogether. The key point is that you are still paraphrasing and extrapolating what Baez says.

There is a huge difference between quoting Baez directly (a citation) and taking something he said and applying your own logical reasoning to it and claiming it's something Baez says.

To put it in simple terms: Baez does not say that the speed of light changes with time. He simply does not say that.
 
  • #103
@PeroK Baez says that the speed changes with the metric.
I'm arguing that if the metric changes with time, also the speed does.
 
  • Skeptical
Likes   Reactions: PeroK
  • #104
Pyter said:
What's its shape exactly?

Topologically, it's a double cone--two conical null surfaces (one future, one past) joined at the apex, which is the chosen event.

Null surfaces don't really have an invariant "shape" in the ordinary geometric sense. How they are represented in a diagram depends on what coordinates you choose.

Pyter said:
If the metric changes with time, the light speed also changes, so you might say that the cone is not "static" (in time) and is not a "cone", in the sense that its surface is not regular but bent here and there by the massive bodies?

None of this is correct, no.

Remember that there is a light cone attached to every event--every point in spacetime. Each point has its own, and they are all different.

It makes no sense to say the light cone of a particular event "changes with time" or is "static". The light cones are invariant features of the 4-dimensional spacetime geometry; there is no "change" in the 4-dimensional geometry, it just is.

Which events are in the light cone for a given event is of course determined by the spacetime geometry, which in turn is determined by the presence of stress-energy; but to say the cone's surface is "bent" by the presence of massive bodies is an oversimplification.

Also, the term "cone", as my statement at the start of this post indicates, refers to the topology of the light cone, not its geometric shape; as I noted, null surfaces don't really have a geometric "shape" in the ordinary sense.
 
  • #105
Pyter said:
The measured speed of a faraway light beam

There is no such thing. You can't directly measure the speed of something that is far away from you. You can calculate various "speeds", but those calculations will depend on your choice of coordinates.

Pyter said:
Baez says that the speed changes with the metric

He's talking about the coordinate speed of light, not anything that is directly measured. The coordinate speed he is talking about is a calculation and depends on your choice of coordinates.
 
  • #106
The OP's questions have been answered, repeatedly. Further repetition of the same misunderstandings and the same responses to them is pointless. Thread closed.
 

Similar threads

  • · Replies 16 ·
Replies
16
Views
2K
  • · Replies 19 ·
Replies
19
Views
3K
  • · Replies 34 ·
2
Replies
34
Views
4K
  • · Replies 22 ·
Replies
22
Views
2K
  • · Replies 26 ·
Replies
26
Views
2K
  • · Replies 14 ·
Replies
14
Views
2K
Replies
18
Views
2K
  • · Replies 81 ·
3
Replies
81
Views
5K
  • · Replies 13 ·
Replies
13
Views
3K
  • · Replies 58 ·
2
Replies
58
Views
6K