I Speed of light not an invariant in GR

  • #51
I guess my main issue is grasping the physical meaning of ##\mathrm{d}s## and ##\mathrm{d}s^2##.

How do you compute ##\mathrm{d}s## from ##\mathrm{d}s^2##?
If it was simply ##\mathrm{d}s = \sqrt {\mathrm{d}s^2}##, then for a light beam it would be ##\mathrm{d}s \equiv 0##, because ##\mathrm{d}s^2 \equiv 0##. Then the light speed ##\mathrm{d}s/\mathrm{d}\tau## would be ##\equiv 0 \equiv## constant. And for a space-like worldline if would be an imaginary number because ##\mathrm{d}s^2 < 0##.

On the LHS of the equation, you have ##\mathrm{d}s^2##, on the RHS you have ##\langle {\mathbf {\mathrm{dx}}, \mathbf{\mathrm{dx}}} \rangle## (the inner product of ##dx^\mu## by itself in the metric defined by ##g_{**}## ). Thus ##\mathrm{d}s^2## might be considered as ##\| \mathbf {\mathrm{dx}} \|^2##, i.e. the square norm of ##\mathrm{d}x^\mu##, but not in the Euclidean metric.

##\mathrm{d}s^2## and ##\mathrm{d}s## are not Euclidean lengths, so why do they appear at the numerator of the light's (or any body's) speed equation: ##\mathrm{d}s/\mathrm{d}\tau##?
 
Physics news on Phys.org
  • #52
PeterDonis said:
##ds^2 = g_{00} \left( dx^0 \right)^2## (note the index placements and the squaring of the coordinate differential)
Yes sorry, I wrote them wrong, I can't no longer edit my post.
 
  • #53
Pyter said:
I guess my main issue is grasping the physical meaning of ##\mathrm{d}s## and ##\mathrm{d}s^2##.

##\mathrm{d}s^2## is the infinitesimal squared interval from some chosen event to a neighboring event in spacetime. The line element gives a formula for this squared interval in terms of the coordinate differentials between the two events, i.e., the infinitesimal changes in the coordinate values from one event to the other. If ##\mathrm{d}s^2## is timelike, then ##\mathrm{d}s## represents the proper time elapsed on a clock traveling from one event to the other; if ##\mathrm{d}s^2## is spacelike, then ##\mathrm{d}s## represents the proper distance between the two events, as measured by a ruler whose motion is such that both events happen simultaneously for an observer at rest with respect to the ruler. If ##\mathrm{d}s^2 = 0##, then ##\mathrm{d}s## represents an infinitesimal segment of a light ray from one event to the other.

Pyter said:
How do you compute ##\mathrm{d}s## from ##\mathrm{d}s^2##?

##\mathrm{d}s## is just the square root of ##\mathrm{d}s^2##, ignoring the sign (so the value is always real), plus the specification of whether the interval is timelike or spacelike (which you get from the sign of ##\mathrm{d}s^2## and the signature convention being used). If ##\mathrm{d}s^2 = 0##, then ##\mathrm{d}s = 0## and the interval is null.

Pyter said:
##\mathrm{d}s^2## and ##\mathrm{d}s## are not Euclidean lengths, so why do they appear at the numerator of the light's (or any body's) speed equation: ##\mathrm{d}s/\mathrm{d}\tau##?

Because "speed" in no way requires Euclidean lengths. It only requires spacetime intervals. That's what ##\mathrm{d}s## and ##\mathrm{d}\tau## are. They're spacetime intervals along two different infinitesimal segments, one spacelike and one timelike, as I explained in an earlier post. Those segments correspond to (the limit of) the distance the light travels and (the limit of) the time it takes to travel that distance.
 
  • #54
I haven't been following this thread too closely, so I may be wrong, but perhaps an insight you seem to be missing, @Pyter, is that ##ds## is associated with a chosen path. It's analogous to length along a path in Euclidean space. If there is more than one path between two points, there can be more than one length along those paths. Similarly, if there is more than one path between two events, there can be different ##ds## (or ##\int ds##, to be precise) along those paths.

A two way speed measurement is a laser and light detector (with a timelike path through spacetime) which emits a light pulse that ounces off a mirror and returns. The laser pulse has a null path through spacetime. So there are two separate relevant quantities that you could denote ##ds##. One is ##cd\tau##, where ##d\tau## is the time elapsed on a clock attached to the laser/light detector. The other is the interval along the light pulse's path, which is zero. Both are "lengths" and could be called ##ds##, but they are different things.

As I say, I haven't read this thread too carefully, so this could be an irrelevance - apologies if so.
 
  • Like
Likes Pyter
  • #55
PeterDonis said:
If ##\mathrm{d}s^2## is timelike, then ##\mathrm{d}s## represents the proper time elapsed on a clock traveling from one event to the other;
So in this case ##ds^2 = d\tau^2##, as I stated in one of my previous posts.
PeterDonis said:
If ##\mathrm{d}s^2 = 0##, then ##\mathrm{d}s## represents an infinitesimal segment of a light ray from one event to the other.
[...]
##\mathrm{d}s## is just the square root of ##\mathrm{d}s^2##
[...]
If ##\mathrm{d}s^2 = 0##, then ##\mathrm{d}s = 0## and the interval is null.
Then since in the other thread @PeroK gives the measured light speed as ##ds/d\tau##, it should be constantly 0, because ##ds \equiv 0##.
PeterDonis said:
Because "speed" in no way requires Euclidean lengths.
I was under the impression that measuring any speed requires dividing a measured (Euclidean) length by a measured time interval.
PeterDonis said:
It only requires spacetime intervals. That's what ##\mathrm{d}s## and ##\mathrm{d}\tau## are. They're spacetime intervals along two different infinitesimal segments, one spacelike and one timelike, as I explained in an earlier post. Those segments correspond to (the limit of) the distance the light travels and (the limit of) the time it takes to travel that distance.
They would be "intervals" in the intuitive sense if they were the (Euclidean) length of a difference between two Euclidean vectors, but they're not.
 
  • #56
Ibix said:
So there are two separate relevant quantities that you could denote ##ds##. One is ##cd\tau##, where ##d\tau## is the time elapsed on a clock attached to the laser/light detector. The other is the interval along the light pulse's path, which is zero. Both are "lengths" and could be called ##ds##, but they are different things.
So the two events are: A - the light departs from the source, B - the light bounces from the mirror, and the first ##ds## is the "path length" between these two events along the clock's wordline, and the second ##ds## the "path length" between the same events along the light beam's wordline?
But what is the "path length"?
 
  • #57
Pyter said:
So in this case ##ds^2 = d\tau^2##, as I stated in one of my previous posts.

If you are interpreting ##d\tau^2## as the (square of) the proper time it takes for the light to travel, yes. But there is also a spacelike ##ds^2## that describes the distance the light travels. That ##ds## is not the same as ##d\tau##; it's a different spacetime interval. See below.

Pyter said:
Then since in the other thread @PeroK gives the measured light speed as ##ds/d\tau##, it should be constantly 0, because ##ds \equiv 0##.

No. I already pointed out this confusion in an earlier post. If you are interpreting ##ds## as the interval along the light ray's worldline, then ##ds = 0##, but there is no ##d\tau## at all, and ##ds / d\tau## makes no sense.

The only way ##ds / d\tau## makes sense is if ##ds## is the spacelike interval describing the distance the light travels, and ##d\tau## is the timelike interval describing the time it takes for the light to travel. And then ##ds / d\tau## does give you the measured speed of the light.

Pyter said:
I was under the impression that measuring any speed requires dividing a measured (Euclidean) length by a measured time interval.

And that's just what I described above, except that the length doesn't have to be "Euclidean" because the geometry of space doesn't have to be Euclidean. The length just has to be a spacelike interval describing the distance the light travels.
 
  • #58
Pyter said:
So in this case ##ds^2 = d\tau^2##, as I stated in one of my previous posts.
This is a little bit of an aside, but my preferred convention is to have ##ds^2=-c^2 d\tau ^2## with ##ds^2>0## for spacelike intervals. This gives ##ds## in units of length for proper distances and ##d\tau## in units of time for proper times.
 
  • #59
Pyter said:
Then since in the other thread @PeroK gives the measured light speed as ##ds/d\tau##, it should be constantly 0, because ##ds \equiv 0##.
As explained, I used ##ds## to be the spacelike interval traveled by the light. To avoid confusion, we could use ##dl## for this. The calculation in flat spacetime (in some inertial frame) would look like:

1) Light travels from ##(t_0, x_0, y_0, z_0)## to ##(t_1, x_1, y_1, z_1)##.

2) As the light path is null, we have ##(t_1 - t_0)^2 = (x_1 - x_0)^2 + (y_1 - y_0)^2 + (z_1 - z_0)^2##.

3) The spatial distance traveled by the light (as measured in the IRF) is ##\Delta l^2 = (x_1 - x_0)^2 + (y_1 - y_0)^2 + (z_1 - z_0)^2##.

4) The time that the light traveled (as measured in the IRF) is ##\Delta t = (t_1 - t_0)##

5) The speed of light (as measured in the IRF) is ##\frac{\Delta l}{\Delta t} = 1##.

Note that you can elaborate this by having the light bounce off a mirror back to the starting point, so that the time interval may be measured by the proper time of a single clock at rest in the IRF. In which case you measure the speed of light as ##\frac{2\Delta l}{\Delta \tau} = \frac{2\Delta l}{2 \Delta t} = 1##.

In general coordinates, or curved spacetime, you would have to to the calculation done by @vanhees71 where the calculations involve the metric tensor components and a small/infinitesimal spatial interval over which the light travels - i.e. the theoretical limit of actual measurements. And you should get the measured speed of light ##\frac{2dl}{d\tau} = 1##.

@Pyter a good exercise for you would be to extend the above for the case of an arbitrary diagonal metric.
 
Last edited:
  • Like
Likes Pyter and vanhees71
  • #60
Pyter said:
I guess my main issue is grasping the physical meaning of ##\mathrm{d}s## and ##\mathrm{d}s^2##.

How do you compute ##\mathrm{d}s## from ##\mathrm{d}s^2##?
If it was simply ##\mathrm{d}s = \sqrt {\mathrm{d}s^2}##, then for a light beam it would be ##\mathrm{d}s \equiv 0##, because ##\mathrm{d}s^2 \equiv 0##. Then the light speed ##\mathrm{d}s/\mathrm{d}\tau## would be ##\equiv 0 \equiv## constant. And for a space-like worldline if would be an imaginary number because ##\mathrm{d}s^2 < 0##.

On the LHS of the equation, you have ##\mathrm{d}s^2##, on the RHS you have ##\langle {\mathbf {\mathrm{dx}}, \mathbf{\mathrm{dx}}} \rangle## (the inner product of ##dx^\mu## by itself in the metric defined by ##g_{**}## ). Thus ##\mathrm{d}s^2## might be considered as ##\| \mathbf {\mathrm{dx}} \|^2##, i.e. the square norm of ##\mathrm{d}x^\mu##, but not in the Euclidean metric.

##\mathrm{d}s^2## and ##\mathrm{d}s## are not Euclidean lengths, so why do they appear at the numerator of the light's (or any body's) speed equation: ##\mathrm{d}s/\mathrm{d}\tau##?
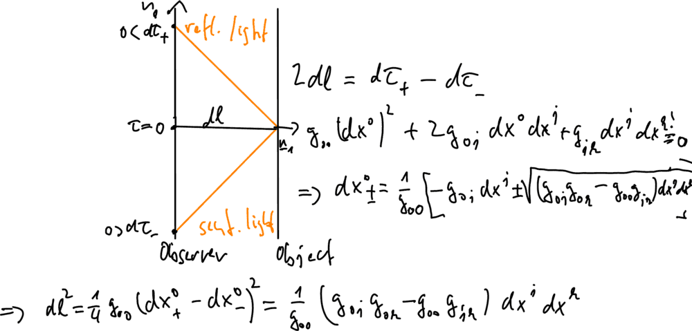
##\mathrm{d} s^2## is defined as
$$\mathrm{d} s^2=g_{\mu \nu} \mathrm{d} x^{\mu} x^{\nu}$$
along a worldline, described by a function ##x^{\mu}(\lambda)## of the coordinates with an arbitary parameter ##\lambda##. Parametrized in this way you can also write
$$\mathrm{d} s^2 = \mathrm{d} \lambda^2 g_{\mu \nu} \dot{x}^{\mu} \dot{x}^{\nu}.$$
In my postings above (#47 and #50) in the argument how to measure infinitesimal spatial distances between an observer (the left vertical worldline in the picture of #50) and an arbitrary point (right vertical worldline in the picture of #50) by "radar timing", which is one way to define infinitesimal spatial distances in GR using that in a local inertial frame the two-way speed of light is ##c##, I used (a) the worldlines of the light signals, which are necessarilly "null worldlines", characterized by ##\mathrm{d} s^2=0##, and (b) the worldline of an observer who is defining a local inertial reference frame by using his four-velocity as time-like basis vector of a tetrad. He is using his clock to measure the time from sending out his signal and receiving the signal reflected on the object the distance he wants to measure. For his wordline, defined by being momentarily at rest in the sense of the coordinates ##x^{\mu}##, i.e., ##\mathrm{d} x^j=0## (where ##j \in \{1,2,3\}##). The time measured by his clock is his "proper time" and given in the used coordinates by
$$\mathrm{d} \tau^2=\mathrm{d} s^2=g_{00} (\mathrm{d} x^0)^2.$$
I used a natural system of units where ##c=1##.
 
  • Like
Likes Pyter
  • #61
PeroK said:
As explained, I used ##ds## to be the spacelike interval traveled by the light. To avoid confusion, we could use ##dl## for this. The calculation in flat spacetime (in some inertial frame) would look like:

[...]

3) The spatial distance traveled by the light (as measured in the IRF) is ##\Delta l^2 = (x_1 - x_0)^2 + (y_1 - y_0)^2 + (z_1 - z_0)^2##.
At last. You do need a measured Euclidean length at the numerator to compute a velocity.

@vanhees71 it's all clear (more or less) except this point:

vanhees71 said:
The time measured by his clock is his "proper time" and given in the used coordinates by
$$\mathrm{d} \tau^2=\mathrm{d} s^2=g_{00} (\mathrm{d} x^0)^2.$$
I used a natural system of units where ##c=1##.
As you say, the time measured by his clock is his "proper time", which as we all know is also designated by the symbol ##\tau##. But this time (difference) is ##\mathrm{d}x^0## (his local time coordinate), and in general ##g_{00} \neq 0##, so how's possible that ##\mathrm{d}\tau^2 =( \mathrm{d}x^0)^2##?
 
  • #62
Pyter said:
You do need a measured Euclidean length at the numerator to compute a velocity.

No. You need a measured length. But, as I have already pointed out several times now, the length does not have to be "Euclidean". It only happens to be in the particular case @PeroK gave because he is assuming flat spacetime. In a general curved spacetime the length would not be "Euclidean" and its functional dependence on the coordinate differences would be more complicated.
 
  • Like
Likes Pyter
  • #63
Pyter said:
this time (difference) is ##\mathrm{d}x^0## (his local time coordinate)

Only if ##g_{00} = 1##. But as you note, in general that is not the case. If ##g_{00} \neq 1## then ##\mathrm{d}\tau## is not the same as ##\mathrm{d}x^0##. (You and @vanhees71 are also assuming that the observer is at rest in the given coordinates, so only ##\mathrm{d}x^0## is nonzero.)

Pyter said:
how's possible that ##\mathrm{d}\tau^2 =( \mathrm{d}x^0)^2##?

It doesn't in general. Read the formula @vanhees71 actually wrote more carefully.
 
  • Like
Likes vanhees71
  • #64
PeterDonis said:
Only if g00=1. But as you note, in general that is not the case. If g00≠1 then dτ is not the same as dx0. (You and @vanhees71 are also assuming that the observer is at rest in the given coordinates, so only dx0 is nonzero.)

It doesn't in general. Read the formula @vanhees71 actually wrote more carefully.
That's what I meant. How can it be that: $$\mathrm{d}\tau^ \triangleq \mathrm{d}x^0$$ (by definition) and: $$\mathrm{d} \tau^2=\mathrm{d} s^2=g_{00} (\mathrm{d} x^0)^2$$ at the same time, if ##g_{00} \neq 1##?
 
  • #65
Pyter said:
That's what I meant. How can it be that: $$\mathrm{d}\tau^ \triangleq \mathrm{d}x^0$$ (by definition).
You could say that ##dt = dx^0##, in the sense that ##t = x^0## is the "time" coordinate. And, of course, you have ##\tau = t## in a local inertial frame.
 
  • #66
@PeroK isn't the the proper time ##\tau##, by definition, the time ##x^0## measured by an observer at the origin of the coordinate system where he's stationary?
 
  • #67
Pyter said:
@PeroK isn't the the proper time ##\tau##, by definition, the time ##x^0## measured by an observer at the origin of the coordinate system where he's stationary?
No.
 
  • #68
Pyter said:
At last. You do need a measured Euclidean length at the numerator to compute a velocity.

@vanhees71 it's all clear (more or less) except this point:As you say, the time measured by his clock is his "proper time", which as we all know is also designated by the symbol ##\tau##. But this time (difference) is ##\mathrm{d}x^0## (his local time coordinate), and in general ##g_{00} \neq 0##, so how's possible that ##\mathrm{d}\tau^2 =( \mathrm{d}x^0)^2##?
Again you have to be careful, about which world line we are talking. For the world line of the light signal ("photon") you have ##\mathrm{d} s^2=0##. For the world line of the observer at rest in the reference frame defined by the coordinates ##x^{\mu}## it's ##\mathrm{d}s^2=g_{00} (\mathrm{d} x^0)^2##, and that's the proper time measured by the observer's clock, i.e., ##\mathrm{d} \tau=\sqrt{g_{00}} \mathrm{d} x^0##.

One should be aware that all that's measurable by some device is an invariant quantity at a point, i.e., time intervals shown by a clock are proper times of some observer.
 
  • #69
I've checked out the proper time definition on Wikipedia and there are indeed two different definitions for SR and GR. What do you know, the definition for GR:
$$\Delta\tau = \int_P \, d\tau = \int_P \frac{1}{c}\sqrt{g_{\mu\nu} \; dx^\mu \; dx^\nu}$$
is claimed to be invariant and also contains c.
So we may safely assume, according to Wikipedia, that the postulate of c invariance also holds for GR.
 
  • #70
As the name suggests SR is a special case of GR (describing situations, where gravitational fields can be neglected). The definition of proper time is the same in SR and GR. It's a functional of a time-like worldline and defined as written in Wikipedia for both SR and GR. The distinction is that in SR you can always introduce a global (!) inertial reference frame with a constant tetrad everywhere as reference frame. In this frame, globally you have ##g_{\mu \nu}=\eta_{\mu \nu}##. If a gravitational field is present, you can only introduce coordinates at one point, such that ##g_{\mu \nu}=\eta_{\mu \nu}## at this one point but not globally!

You can understand GR as arising from SR by "gauging Lorentz symmetry", i.e., making Lorentz invariance a local symmetry. This is the modern definition of what's called "equivalence principle", i.e., it says that at any space-time point there is a local (!) inertial reference frame. If the gravitational field cannot be neglected, i.e., if the Riemann curvature tensor doesn't vanish, in a spacetime region, you never have a global inertial reference frame.
 
  • Like
Likes PeroK
  • #71
Pyter said:
I've checked out the proper time definition on Wikipedia and there are indeed two different definitions for SR and GR. What do you know, the definition for GR:
$$\Delta\tau = \int_P \, d\tau = \int_P \frac{1}{c}\sqrt{g_{\mu\nu} \; dx^\mu \; dx^\nu}$$
is claimed to be invariant and also contains c.
So we may safely assume, according to Wikipedia, that the postulate of c invariance also holds for GR.
The underlying postulate of both is that spacetime is a 4D manifold, characterised by some metric tensor, ##g_{\mu\nu}##. The (mathematical) theory of manifolds tells you that the above integral is independent of your choice of coordinates. I.e. it is an invariant quantity.

We physically interpret that quantity as the proper time (along a timelike curve in the manifold). And we expect that quantity to be the time recorded by a clock that moves along that timelike curve. This is something we can test - especially for SR where we postulate that the spacetime is (at least approximately) flat.

Note that when we say the time measured by a clock, we really mean the time that passes for physical processes to evolve. So, we have a theory that tells us how much physical change will take place along any given timelike path. And when we test this (e.g. lifetime of high-speed particles as measured in the lab) we find the experiment matches the theory.

We have a further postulate that light moves on null curves. This can be tested (e.g. by measuring the deflection of light during a solar eclipse). This postulate, moreover, implies that a) in flat spacetime the speed of light is invariant - i.e. always measured as ##c## in an IRF; and b) in curved spacetime, for sufficiently local trajectories, the speed of light is measured locally as ##c##.

Note that b) is easy to show for an observer at rest and a static, diagonal metric (which is the exercise I suggested you undertake).
 
  • Like
Likes vanhees71 and Pyter
  • #72
PeroK said:
b) in curved spacetime, for sufficiently local trajectories, the speed of light is measured locally as .
What could be a non-local experiment where the light speed is not measured as c?
 
  • #73
Pyter said:
What could be a non-local experiment where the light speed is not measured as c?
Consider a radial light ray in Schwarzschild coordinates: starting from some coordinate ##R_0## moving out to ##R_1##, off a mirror and back again.

We can measure the proper distance from ##R_0## to ##R_1## by integrating the line element. This will gives some length ##l##. The speed of light, as measured by an observer at ##R_0##, will be ##\frac{2l}{\Delta \tau_0}##.

To save the calculations, we can argue that this is not equal to ##1## as follows. The locally measured speed of light at each point is ##1##, which means the rate of change ##\frac{dl}{d\tau_r} = 1##. But, by relating ##\tau_0## to ##\tau_r## using the coordinate time ##t##, we can see that ##d\tau_r > d\tau_0## for every point ##r > R_0## and hence ##\frac{dl}{d\tau_0} > 1##. And we must end up with ##\frac{2l}{\Delta \tau_0} > 1##.

An alternative argument is to compare the measured (round trip) speed of light for observers at ##R_0## and ##R_1##. The proper length is the same and the coordinate time interval must be the same, but ##\Delta \tau_0 \ne \Delta \tau_1##, so the measured speed of light must be different for those two observers.

Note: the previous calculations have argued that $$\lim_{l \rightarrow 0} \frac{2l}{\Delta \tau_0} = \lim_{l \rightarrow 0} \frac{2l}{\Delta \tau_1} = 1$$ And, in the example above, the measured speeds will approach the limit from above and below ##1## for ##R_0## and ##R_1## respectively - and only the limits are equal to ##1##.
 
Last edited:
  • Like
Likes vanhees71 and Pyter
  • #74
Fascinating. c > 1 in some cases, that must be the famous warp speed. And the c appearing in the proper time's equation is just the limit as measured in an IFR, then.
 
  • Skeptical
Likes Motore and PeroK
  • #75
Pyter said:
Fascinating. c > 1 in some cases, that must be the famous warp speed. And the c appearing in the proper time's equation is just the limit as measured in an IFR, then.
One of the things that GR requires is an ability to define things properly and organise your calculations.

For example, someone at rest in Schwarzschild coordinates is not moving inertially. GR is a subject that requires solid prerequisites, focus and disciplined thinking. If you don't have those, then you cannot make progress. You'll just end up wandering around the subject in a state of permanent confusion.
 
  • Like
Likes vanhees71
  • #76
  • #77
Pyter said:
@PeroK what did I say?

You said this:

Pyter said:
Fascinating. c > 1 in some cases, that must be the famous warp speed. And the c appearing in the proper time's equation is just the limit as measured in an IFR, then.

Three statements, three errors.
 
  • Like
Likes vanhees71
  • #78
@PeroK you wrote earlier that in the radial case, on the long distance you measure c > 1. I assumed that's because the space is "contracted" radially and the light appears to move faster.
And what the c in the Wikipedia's proper time equation would be if not the one measured in a local IFR?
 
  • #79
Pyter said:
@PeroK you wrote earlier that in the radial case, on the long distance you measure c > 1. I assumed that's because the space is "contracted" radially and the light appears to move faster.
And what the c in the Wikipedia's proper time equation would be if not the one measured in a local IFR?
I never wrote ##c > 1##. I said that the measured (non-local) speed of light ## > 1##. In what I did ##c = 1## by definition. In GR, ##c## is not really the speed of light but the conversion factor between units of length and time. The locally measured speed of light ## = c##. Which is a consequence of light traveling on null paths.

If you are studying GR, you need to stop thinking in terms of IRF's all the time. Think coordinates, Schwarzschild or otherwise.

Also, you are doing none of the calculations yourself - and are misunderstanding all our posts and calculations.

You need to get a textbook and start posting the exercises as homework if you get stuck.
 
  • Like
Likes vanhees71
  • #80
@PeroK, you're right. Please read "the measured speed of light" instead of c in my previous post.
And no, actually it's not warp speed, because if it was the case, the observer in ##R_1## would observe it too, but he measures a speed of light < 1 instead.
 
  • #81
Thank you all for all the pointers and explanations.
 
  • Like
Likes PeroK
  • #82
Pyter said:
That's what I meant. How can it be that: $$\mathrm{d}\tau^ \triangleq \mathrm{d}x^0$$ (by definition)

There is no such definition. This statement is simply wrong whenever ##g_{00} \neq 1##.
 
  • Like
Likes vanhees71
  • #83
Pyter said:
I assumed that's because the space is "contracted" radially

You should not be assuming anything. You should be learning how to do the math and understand the results yourself. Trying to make assumptions based on ordinary language statements when you don't understand the underlying math is not a good idea.

Pyter said:
what the c in the Wikipedia's proper time equation would be if not the one measured in a local IFR?

You should not be trying to learn physics from Wikipedia. You need to learn it from a textbook. Sean Carroll's online lecture notes on GR would be a good place to start.

The short answer to the question you pose here is the one @PeroK gave: ##c## in GR is a conversion factor between units of length and units of time. Choosing ##c = 1## means choosing units in which length and time have the same units (e.g., seconds and light-seconds, or years and light-years, or nanoseconds and feet). It has nothing to do with anything anybody measures.
 
  • Like
Likes vanhees71
  • #84
PeterDonis said:
You should not be trying to learn physics from Wikipedia. You need to learn it from a textbook.
I did study more than one book, but they didn't cover the topic of the invariance of velocity of light in GR. Even Einstein in his papers and divulgative book is rather reticent about that.
 
  • #85
Pyter said:
I did study more than one book, but they didn't cover the topic of the invariance of velocity of light in GR.

Which books have you studied?
 
  • #86
@PeterDonis
  • Intro to Differential Geometry and General Relativity - S. Waner
  • Generalized Relativity - P. A. M. Dirac (which I sort of consider a "cram sheet", only 77 pages but very densely packed)
  • Special Relativity and Classical Field Theory - Leonard Susskind et al. (SR only)
 
  • Like
Likes vanhees71 and PeroK
  • #87
Pyter said:
Intro to Differential Geometry and General Relativity - S. Waner

This one doesn't discuss the invariant light cone structure of spacetime? That is what "invariance of velocity of light" translates to in GR.

The other two I can understand, IIRC Dirac doesn't discuss geometry much at all, and the Susskind one, since you say it focuses on SR, wouldn't be expected to discuss generalizations of concepts to GR. (Also it seems more focused on field theory.)
 
  • Like
Likes vanhees71
  • #88
I forgot to add: also the Einstein original papers and (partly) his "divulgation" book.
After all this, if it wasn't for your informative answers, I never could've guessed that the measured velocity of light could be > 1.
 
  • #90
@PeroK
Einstein talked about the speed of light changing in his new theory. In the English translation of his 1920 book "Relativity: the special and general theory" he wrote: "according to the general theory of relativity, the law of the constancy of the velocity [—Either Einstein or his translator obviously mean "speed" here, since velocity (a vector) is not in keeping with the rest of his sentence. People often say "velocity" when they clearly mean "speed".] of light in vacuo, which constitutes one of the two fundamental assumptions in the special theory of relativity [...] cannot claim any unlimited validity. A curvature of rays of light can only take place when the velocity [speed] of propagation of light varies with position." This difference in speeds is precisely that referred to above by ceiling and floor observers.
That's the very excerpt I cited earlier in this thread. And that's pretty much all Einstein says about it.
When all is said and done, to insist that a non-c speed of light is nothing more than an artifact of a "nonphysical" choice of coordinates is to make a wrong over-simplification.
Interesting.
 
  • Like
Likes vanhees71 and PeroK
  • #91
Pyter said:
Fascinating. c > 1 in some cases, that must be the famous warp speed. And the c appearing in the proper time's equation is just the limit as measured in an IFR, then.
For example in rotating frame of reference anybody at ## r >\frac {c}{\omega}## from Origin cannot stop but move with coordinate speed > c. But we cannot invent the warp from it.
 
  • Like
Likes Pyter
  • #92
vanhees71 said:
Here's an infinitesimal Minkowski diagram defined by the observer's tetrad. The derivation is from Landau&Lifshitz vol. 2. There you find a very clear discussion of spacetime geometry/tensor analysis.

View attachment 277490
@vanhees71 I've finally found the time to look into the textbook you cited. But if you're transcribing the discussion starting from equation 84.1 on, it's just to determine the ##dl## from the ##d\tau##, and the authors assume that c is an invariant. It's not used to show that the measured speed of light is an invariant in GR.
I'm quoting from the textbook, just before eq. 84.4 (sorry for the bad formatting):
SupposealightsignalisdirectedfromsomepointBinspace(withcoordinatesxa+dxa)toapointAinfinitelyneartoit(andhavingcoordinatesxa)andthenbackoverthesamepath.Obviously,thetime(asobservedfromtheonepointB)requiredforthis,whenmultipliedbyc,istwicethedistancebetweenthetwopoints.
 
  • #93
Pyter said:
It's not used to show that the measured speed of light is an invariant in GR.

Perhaps it will help to rephrase exactly what is invariant in relativity. The invariant is the light cone structure of spacetime. For any given event, call it event E, if you imagine light signals emitted from that event in all possible directions and never being absorbed, the set of events that those light signals will reach is the future light cone of event E. Similarly, if you imagine light signals arriving at event E from all possible directions, all of which were emitted infinitely far in the past, the set of events that those light signals passed through before reaching event E is the past light cone of event E. And relativity (special or general) says that those light cones--those sets of points in spacetime--are invariant for any given event E; they are the same no matter what coordinates you choose, or what system of units you choose, or what conventions or methods you adopt for measuring the speed of light.

To put it another way: you can't change what events can send light signals to what other events. That will stay the same no matter what coordinates you choose, or what system of units you choose, or what conventions or methods you adopt for measuring the speed of light.
 
  • Like
Likes vanhees71
  • #94
Pyter said:
@vanhees71 I've finally found the time to look into the textbook you cited. But if you're transcribing the discussion starting from equation 84.1 on, it's just to determine the ##dl## from the ##d\tau##, and the authors assume that c is an invariant. It's not used to show that the measured speed of light is an invariant in GR.
I'm quoting from the textbook, just before eq. 84.4 (sorry for the bad formatting):
Of course, famously special relativity has been derived by Einstein from the assumption (sic!) that the (two-way) speed of light is an invariant and this is of course inherited by general relativity, which is just an extension obtained by "gauging" Lorentz invariance, i.e., making the proper orthochronous Lorentz group a local symmetry. Indeed this implies, what @PeterDonis called the "lightcone structure" of spacetime. It's however a bit more than that, because in addition it also provides the (pseudo-)metrical structure of spacetime, i.e., it's the Lorentz group which is the local symmetry group of GR not the larger group including scale invariance of pure electromagnetics (i.e., Maxwell theory without charges and currents).
 
  • #95
PeterDonis said:
The invariant is the light cone structure of spacetime.
I've always struggled to visualize it in 4D, and also in 3D. What's its shape exactly?
If the metric changes with time, the light speed also changes, so you might say that the cone is not "static" (in time) and is not a "cone", in the sense that its surface is not regular but bent here and there by the massive bodies?
 
  • #96
Pyter said:
I've always struggled to visualize it in 4D, and also in 3D. What's its shape exactly?
If the metric changes with time, the light speed also changes, so you might say that the cone is not "static" (in time) and is not a "cone", in the sense that its surface is not regular but bent here and there by the massive bodies?
If you don't like the phrase "light cone", then we could call it the past "causal container".

More importantly, we are dealing with spacetime, not space. A past light cone at a point in spacetime has no concept of being "static".

Also, there is no sense in which the speed of light changes with time.

I'm not sure how you get to the point where you can grasp these concepts. Maybe it goes back to a point I made earlier that you are reading material on SR/GR, but you are not doing any of the problems, so you've never tested that you've understood anything.

I'd like to see you post some problems as homework instead of just talking about the subject.
 
  • Like
Likes vanhees71
  • #97
PeroK said:
@Pyter a good exercise for you would be to extend the above for the case of an arbitrary diagonal metric.
That was already transcribed by @vanhees71 in this thread, for an arbitrary metric, from the Landau-Lifshitz textbook. Anyway, the very informative link you posted from the Physics FAQ convinced me that the speed of light is c only if measured in an inertial frame or if the observer is near the light beam, and thus generally <> c in a non-IFR and at a great distance.
PeroK said:
More importantly, we are dealing with spacetime, not space. A past light cone at a point in spacetime has no concept of being "static".
I have a hard time visualizing it as a "cone" in the 4D spacetime with an arbitrary metric. Moreover, in GR, there's no such a thing as a "global" flat 4D spacetime with Minkowski (##\eta_{\mu\nu}##) metric.
PeroK said:
Also, there is no sense in which the speed of light changes with time.
The measured speed of a faraway light beam depends on the metric, and the metric generally depends on time.
I'm citing from said textbook, just before eq. 84.8:

1613658006115.png
 
  • #98
Pyter said:
The measured speed of a faraway light beam depends on the metric, and the metric generally depends on time.
I'm citing from said textbook, just before eq. 84.8:

View attachment 278279
Well, no you're not "citing from said textbook". The textbook is saying one thing and you're saying something entirely different!
 
  • #99
@PeroK I meant that the speed of light depends on the metric, and thus time, through the ##\int dl##.
 
  • #100
Pyter said:
@PeroK I meant that the speed of light depends on the metric, and thus time, through the ##\int dl##.
It's still wrong and not at all what that text is saying. That text does not even mention the speed of light, let alone say it "changes with time".
 
Back
Top