State functions in Grand Canonical Ensemble vs Canonical

Click For Summary

Discussion Overview

The discussion revolves around the differences and relationships between the Grand Canonical Ensemble (GCE) and the Canonical Ensemble (CE) in statistical mechanics, particularly focusing on the state functions derived from their respective partition functions. Participants explore theoretical implications, mathematical formulations, and practical applications related to ideal gases within these ensembles.

Discussion Character

  • Exploratory
  • Technical explanation
  • Conceptual clarification
  • Debate/contested
  • Mathematical reasoning

Main Points Raised

  • One participant questions whether state variables derived from the GCE and CE partition functions are generally equal for the same substances, such as ideal gases, or if they differ based on the substance.
  • Another participant explains that different ensembles hold different thermodynamic quantities fixed and provides definitions for the relevant partition functions.
  • There is a discussion about the equivalence of ensembles in the thermodynamic limit, with some participants suggesting that state functions derived from different ensembles can be considered equivalent under certain conditions.
  • Participants express uncertainty about how to derive the GCE partition function for an ideal gas, particularly in relation to starting from a single-particle case.
  • One participant raises a question about the implications of taking ##\hbar = 0## in the context of classical statistical mechanics and how it relates to the treatment of energy as numbers rather than operators.
  • Another participant notes that the law of large numbers may relate to the tendency of values to converge to the mean, but distinguishes this from the underlying mathematical principles governing the ensembles.

Areas of Agreement / Disagreement

Participants express differing views on the equivalence of ensembles and the implications of fixed versus fluctuating quantities. The discussion remains unresolved regarding the derivation of the GCE partition function and the interpretation of the classical limit in statistical mechanics.

Contextual Notes

Participants highlight the complexity of transitioning between ensembles and the need for careful consideration of the definitions and assumptions involved in deriving partition functions. There is also mention of the differences between classical and quantum treatments of statistical mechanics, particularly in relation to energy states.

WWCY
Messages
476
Reaction score
15
Hi all, I am slightly confused with regard to some ideas related to the GCE and CE. Assistance is greatly appreciated.

Since the GCE's partition function is different from that of the CE's, are all state variables that are derived from the their respective partition functions still equal in general for the same substances (for example, ideal gases)?

Or do they differ between ensembles depending on the substance considered? In this case, how do I tell whether or not a substance's state functions change?

For example, denoting the GCE's partition function as ##\tilde{Z}## and the CE's as ##Z##,
$$U_{gce} = -( \partial_{\beta } \tilde{Z} ) + \mu \langle N \rangle$$
$$U_{ce} = -( \partial_{\beta } Z)$$
$$F_{gce} = -k_B T \ln{\tilde{Z}} + \mu \langle N \rangle $$
$$F_{ce} = - k_B T \ln{Z} $$
are these equivalent in general?

Also, more specifically, if I am considering some ideal gas in a GCE, can I still use things like ##PV = nRT##, ##U = \frac{3}{2}k_B T##, the Sackur-Tetrode equation etc ...?

Finally, the way I learned to derive a CE partition function for an ideal gas was to start with a single-particle partition function, before generalising to an N-indistinguishable particle case. If I wanted a GCE partition function for an ideal gas, it doesn't make sense at all to start with a single particle case. How then, do I derive the GCE partition function for the ideal gas with ##\tilde{Z}##?

$$\tilde{Z} = \sum_{i,j} e^{\beta (- E_i + \mu N_j)}$$
 
Science news on Phys.org
Nobody has chimed in on this, so I'll take a stab at it.

The various kinds of ensembles are ways of holding different thermodynamic quantities fixed.

If you hold the total energy ##E##, the number of particles ##N##, the volume ##V## all constant, then the relevant quantity is:

##W(E,N,V)## which is the number of microstates consistent with the macroscopic quantities ##E,V,N##.

That's if there are discrete states. In classical statistical mechanics, there are continuously many possible states, so what's used instead is:

##\Omega(E,N,V) \Delta E##, where ##\Omega## is the density of states. This gives the volume in phase of the set of all states with energy between ##E## and ##E + \Delta E##.

If you hold the temperature ##T##, the number of particles ##N##, the volume ##V## all constant, then the relevant quantity is:

##Z_{canon}(\beta, N, V) = \int_E e^{-\beta E} \Omega(E,N,V) dE## or ##\sum_E W(E,N,V) e^{-\beta E}##
(depending on whether you are considering discrete or continuous energies), where ##\beta = \frac{1}{kT}##.

If you hold the temperature ##T##, the chemical potential ##\mu##, the volume ##V## all constant, then the relevant quantity is:

##Z_{GC}(\beta, \mu, V) = \sum_N Z_{canon}(\beta, N, V) e^{\beta \mu N}##

You can calculate thermodynamic quantities from any of them, and you get roughly the same answers, because even though energy is not fixed in the canonical ensemble (instead, there is a probability of ##e^{-\beta E} W(E,N,V)/Z_{canon}## of the system having energy ##E##), the probability distribution is very sharply spiked at an average energy of ##\langle E \rangle = - \frac{\partial \ln Z_{canon}}{\partial \beta}##. Similarly, in the grand canonical partition function, the number of particles is not fixed, but is likely to be very close to the average given by: ##\langle N \rangle =kT \frac{\partial \ln Z_{GC}}{\partial \mu}##

For the last question,

Calculating the grand canonical partition function for the ideal gas, you get different answers classically and quantum-mechanically. The classical answer uses continuous energy levels, while the quantum-mechanical answer uses discrete energy levels. This is one of the rare cases in physics where the quantum answer is actually easier to obtain than the classical answer. Do you want me to go through both of them?
 
  • Like
Likes   Reactions: WWCY and vanhees71
Thanks for the detailed response!

So is this to say that in the thermodynamic limit, we can think of the different ensembles (and the state functions derived from their respective partition functions) as "equivalent"? Also, does the fact that values tend to the mean come from the law of large numbers?

stevendaryl said:
Do you want me to go through both of them?

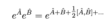
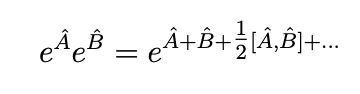
I've learned how to do (kind of) the classical gas case, I'll probably learn the quantum gas case later in as my course proceeds, thank you! But since you mentioned it, I do have a question regarding the classical model. If we start from the trace definition of the canonical partition function, we end up having to confront this step
Screenshot 2019-02-21 at 12.43.18 AM.png

with the position and momentum operators. I read somewhere that the classical limit involves taking "##\hbar = 0##", to kill off all the commutators, which I find confusing. It clearly doesn't mean that we should put every ##\hbar## we see to zero, which won't make sense. So what does taking ##\hbar = 0## actually entail?

Thanks in advance!
 

Attachments

  • Screenshot 2019-02-21 at 12.43.18 AM.png
    Screenshot 2019-02-21 at 12.43.18 AM.png
    1.9 KB · Views: 793
WWCY said:
Thanks for the detailed response!

So is this to say that in the thermodynamic limit, we can think of the different ensembles (and the state functions derived from their respective partition functions) as "equivalent"?

Well, equivalent for what purposes? The partition functions are functions of different variables: E,V,N versus T, V, N versus T, V, ##\mu##.

If you hold ##E,V,N## constant, then the system will tend to maximize its entropy ##S = k \ln W## or ##S = k \ln \Omega##.
If you hold ##T, V, N## constant, then the system will tend to minimize its Helmholtz free energy: ##A = E - ST##. (##A = - kT \ln Z_{canon}##)
If you hold ##T, V, \mu## constant, then the system will tend to minimize whatever the quantity is that is equal to ##E - ST - \mu N##. (I think that this quantity is equal to ##PV##, but I'm not sure. It's equal to ##- kT \ln Z_{GC}##)

But you can get from any combination of thermodynamic quantities to any other by using the definitions:

##T = \frac{\partial E}{\partial S} = \frac{1}{\frac{\partial S}{\partial E}}## (holding ##V, N## constant)
##\mu = \frac{\partial E}{\partial N}## (holding ##S, V## constant) ## = - T \frac{\partial S}{\partial N}## (holding ##E, V## constant)
##P = - \frac{\partial E}{\partial V}## (holding ##S, N## constant) ## = T \frac{\partial S}{\partial V}## (holding ##E, N## constant)
##S = - \frac{\partial A}{\partial T}## (holding ##V, N## constant)

etc. However, the various ensembles let you know that the ##E##, ##N##, etc., may mean average energy and number of particles, rather than exact. For one kind of ensemble, a quantity might be fixed, and in another type, it might be allowed to fluctuate, and so you have to use averages.

Also, does the fact that values tend to the mean come from the law of large numbers?

Well, sort of. I would say, rather, that the law of large numbers and this fact both come from the same facts about how quickly exponentials and factorials and so forth grow.

I've learned how to do (kind of) the classical gas case, I'll probably learn the quantum gas case later in as my course proceeds, thank you! But since you mentioned it, I do have a question regarding the classical model. If we start from the trace definition of the canonical partition function, we end up having to confront this step
View attachment 239049
with the position and momentum operators. I read somewhere that the classical limit involves taking "##\hbar = 0##", to kill off all the commutators, which I find confusing. It clearly doesn't mean that we should put every ##\hbar## we see to zero, which won't make sense. So what does taking ##\hbar = 0## actually entail?

Thanks in advance!

Well, in classical statistical mechanics, the various quantities such as energy are just numbers, not operators, so there is no tracing involved. It's definitely not the case that classical statistical mechanics can be obtained simply from the quantum case by taking the limit as ##h \rightarrow 0##. In some approaches to doing classical statistical mechanics, you count the number of microstates by dividing up phase space into little hypercubes of volume ##h^{3N}## (3 for the number of dimensions of space, and ##N## for the number of particles). The number of microstates diverges in the limit as ##h \rightarrow 0##. But there are other ways to handle this, by using density of states, rather than number of states.

I'm not sure what's the easiest way to go from the quantum case to the classical case. The quantum energy distribution is either Fermi-Dirac or Bose (depending on what type of particle), and in both cases, the classical distribution, the Maxwell-Boltzmann distribution, is obtained in a limiting case. It's described here:
https://en.wikipedia.org/wiki/Fermi–Dirac_statistics#Quantum_and_classical_regimes

as saying that it's when the inter-particle distance is much greater than the de Broglie wavelength. You can't actually take a limit in which a quantity with dimensions (such as ##\hbar##) goes to zero, but it's better to take a limit as a dimensionless ratio goes to zero (or infinity).
 
  • Like
Likes   Reactions: WWCY and vanhees71

Similar threads

  • · Replies 3 ·
Replies
3
Views
2K
  • · Replies 3 ·
Replies
3
Views
2K
  • · Replies 15 ·
Replies
15
Views
3K
  • · Replies 5 ·
Replies
5
Views
3K
  • · Replies 9 ·
Replies
9
Views
2K
  • · Replies 12 ·
Replies
12
Views
3K
  • · Replies 1 ·
Replies
1
Views
2K
  • · Replies 14 ·
Replies
14
Views
3K
  • · Replies 1 ·
Replies
1
Views
3K
  • · Replies 1 ·
Replies
1
Views
2K