Strength of material in hollow shaft torque and safety factor

Click For Summary

Discussion Overview

The discussion revolves around determining the factor of safety for a hollow shaft subjected to torque and internal pressure, using different theories such as Maximum Shear Stress Theory and D.E. Von Mises Theory. Participants are exploring the application of these theories in the context of a specific problem involving a hollow tube made of ASTM A36 steel.

Discussion Character

  • Homework-related
  • Technical explanation
  • Debate/contested

Main Points Raised

  • One participant outlines the dimensions and material properties of the tube and proposes a method to calculate the factor of safety using torsion and shear stress.
  • Another participant points out an error in the formula for the polar moment of inertia (J) and suggests using the correct formula for a circular tube.
  • Concerns are raised about the bending stresses due to the applied load, with a suggestion to consider the tube as a cantilever beam.
  • Participants discuss the need to account for multiple forces acting on the tube, including bending moments, shear stress, and torsional loads.
  • There is uncertainty about how to apply the Von Mises criterion, with one participant questioning whether to assume one of the principal stresses is zero.
  • Clarifications are sought regarding the calculation of principal stresses after analyzing the tube.

Areas of Agreement / Disagreement

Participants generally agree on the need to consider multiple stress factors, including bending and torsion. However, there is no consensus on the correct application of the Von Mises theory or the assumptions regarding principal stresses.

Contextual Notes

Participants express uncertainty about certain assumptions, such as the effect of the small bar on the force transfer and the implications of neglecting bending moments. There are also unresolved mathematical steps regarding the calculation of principal stresses.

lonlyway
Messages
5
Reaction score
0

Homework Statement


Assignment 2.jpg

the tube has ID of 450mm, t= 6mm, OD= 462mm, pressure is 1.2MPa
This is based on ASTM A36 steel, which have
Ultimate Tensile strength 400-550MPa
Yield Tensile strength 250Mpa
Modululs of Elasticity 200Gpa
Shear Modulus 79.3GPa
Determine the factor of safety at points H and K along the top of the tank and point G on the side by using a) Maximum shear stress theory, b) D.E Von Mises theory

I have skipped a prerequisite and this makes real hard on beginning... so please help me

Homework Equations

The Attempt at a Solution


What I am thinking is using pure tortion on the AD axle, and get T value
T = 0.5m x 5000N = 2500Nm or 2.5KNm
than find the moment of inertia by using J = pi(OD4-ID4)/2 = 7.1504 x 10-3 m4
at this point, I have G=79.3 x 109, J = 7.1504 x 10-3 m4, and need to find τ by using τ=pT/J = 0.231 x 2500/(7.1504 x 10-3) = 80764.71246 N/m2 which tives τxy on point H K and G
Than thinking to find stress of hoop and axial, by using
σhoop = pr/t and σaxial = pr/2t on surface, than calculate all and convert into σL and σG, H or K
which will give me max stress, than divide the max stress by the σultimate which will give me safety factor

Am I on the right track? if not, what did I do wrong?
and how should I use D.E Von Mises theory on the question?
 
Last edited:
Physics news on Phys.org
lonlyway said:

Homework Statement


the tube has ID of 450mm, t= 6mm, OD= 462mm, pressure is 1.2MPa
This is based on ASTM A36 steel, which have
Ultimate Tensile strength 400-550MPa
Yield Tensile strength 250Mpa
Modululs of Elasticity 200Gpa
Shear Modulus 79.3GPa
Determine the factor of safety at points H and K along the top of the tank and point G on the side by using a) Maximum shear stress theory, b) D.E Von Mises theory

I have skipped a prerequisite and this makes real hard on beginning... so please help me

Homework Equations

The Attempt at a Solution


What I am thinking is using pure tortion on the AD axle, and get T value
T = 0.5m x 5000N = 2500Nm or 2.5KNm
than find the moment of inertia by using J = pi(OD4-ID4)/2 = 7.1504 x 10-3 m4

Your formula for J is incorrect. For a circular tube, J = (π/2) ⋅ (ro4 - ri4 )

at this point, I have G=79.3 x 109, J = 7.1504 x 10-3 m4, and need to find τ by using τ=pT/J = 0.231 x 2500/(7.1504 x 10-3) = 80764.71246 N/m2 which tives τxy on point H K and G
Than thinking to find stress of hoop and axial, by using
σhoop = pr/t and σaxial = pr/2t on surface, than calculate all and convert into σL and σG, H or K
which will give me max stress, than divide the max stress by the σultimate which will give me safety factor

Am I on the right track? if not, what did I do wrong?
and how should I use D.E Von Mises theory on the question?

the question is in the attached files

The manner in which the torque is applied to this tube also leads to some bending stress. You should also look at this tube as a cantilever beam, given the 5 kN load applied at Point D.
 
SteamKing said:
Your formula for J is incorrect. For a circular tube, J = (π/2) ⋅ (ro4 - ri4 )The manner in which the torque is applied to this tube also leads to some bending stress. You should also look at this tube as a cantilever beam, given the 5 kN load applied at Point D.

Oops yeah it was radius not diameter. I will fix it. Thank you
I did not put any bending moment as cantilever since there was no dimension about the small bar at D such as diameter. Therefore I assume that in this question, the force transfer without any loss. - which I am not really sure its correct assumption
 
lonlyway said:
Oops yeah it was radius not diameter. I will fix it. Thank you
I did not put any bending moment as cantilever since there was no dimension about the small bar at D such as diameter. Therefore I assume that in this question, the force transfer without any loss. - which I am not really sure its correct assumption
You don't care about the small bar sticking out the side of the tube.

The force can be transferred back to the center of the tube along with a couple which creates the torque on the tube. Applying a force away from the point where the tube is fixed to the wall is going to create a bending moment and bending stresses at points H and K. You'll also have to check point G for shearing stress due to the vertical load, which is why I mentioned that the internal pressure and the torsional loads are not the only loads to be considered here, especially since you are supposed to be checking for factor of safety.
 
  • Like
Likes   Reactions: lonlyway
SteamKing said:
You don't care about the small bar sticking out the side of the tube.

The force can be transferred back to the center of the tube along with a couple which creates the torque on the tube. Applying a force away from the point where the tube is fixed to the wall is going to create a bending moment and bending stresses at points H and K. You'll also have to check point G for shearing stress due to the vertical load, which is why I mentioned that the internal pressure and the torsional loads are not the only loads to be considered here, especially since you are supposed to be checking for factor of safety.

Oh okay, thanks completely missed that.
So now I have 3 forces, bending moment as cantilever beam or shear stress depends on location, torsion, and hoof and axial stress and combine all 3 have 2 prime stresses per locations.
I can get max shear theory easily, but what should I do for Von Mises?
I have checked wikipedia, but it confuses me.
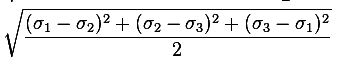
Should I just assume σ3 = 0 and sub σ1(length) and σ(hoof) into
upload_2016-1-20_15-6-8.png
this equation?
 
lonlyway said:
Oh okay, thanks completely missed that.
So now I have 3 forces, bending moment as cantilever beam or shear stress depends on location, torsion, and hoof and axial stress and combine all 3 have 2 prime stresses per locations.
I can get max shear theory easily, but what should I do for Von Mises?
I have checked wikipedia, but it confuses me.
Should I just assume σ3 = 0 and sub σ1(length) and σ(hoof) into View attachment 94572 this equation?

The stresses σ1, σ2, and σ3 are principal stresses, so you can't assume that one is equal to zero. You'll have to work out these principal stresses after analyzing the tube.
 

Similar threads

  • · Replies 2 ·
Replies
2
Views
2K
  • · Replies 4 ·
Replies
4
Views
11K
  • · Replies 2 ·
Replies
2
Views
4K
  • · Replies 3 ·
Replies
3
Views
3K
  • · Replies 4 ·
Replies
4
Views
5K
Replies
4
Views
15K
  • · Replies 1 ·
Replies
1
Views
2K
Replies
2
Views
4K
  • · Replies 18 ·
Replies
18
Views
8K
  • · Replies 1 ·
Replies
1
Views
9K