Stuck in Evaluating an Indefinite Integral

Click For Summary

Homework Help Overview

The discussion revolves around evaluating an indefinite integral involving the function e^(x^8). Participants are exploring substitution methods to simplify the integral.

Discussion Character

  • Exploratory, Mathematical reasoning, Problem interpretation

Approaches and Questions Raised

  • Participants discuss the choice of substitution, particularly u = x^8, and question the implications of this choice on the integral. There are attempts to clarify the relationship between the original integral and the substitution, as well as the proper handling of dx in the context of u-substitution.

Discussion Status

Several participants are actively engaging with each other's attempts, providing guidance on the substitution process and questioning the steps taken. There is a mix of interpretations regarding the best approach to isolate dx and how to properly set up the integral after substitution.

Contextual Notes

Some participants express uncertainty about their understanding of the substitution method and the use of LaTeX for notation. There is an acknowledgment of varying levels of comfort with the mathematical concepts involved.

whatisphysics
Messages
30
Reaction score
0

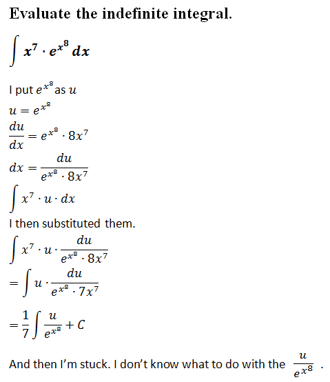
Homework Statement



Evaluate the indefinite integral.

Homework Equations


I tried to use substitution.


The Attempt at a Solution


I'm not so good with using the LaTex codes...so I attached a file I made in Word.

Thanks in advance!
 

Attachments

  • question4.PNG
    question4.PNG
    6.1 KB · Views: 1,518
Last edited:
Physics news on Phys.org
Try using u = x^8
 
iamalexalright said:
Try using u = x^8

The x^8 from e^(x^8) or x^7?
 
I don't understand your question

But besides a poor choice of u in your original solution you don't carry out the integral properly

With my choice of u (u = x^8) compute du/dx and show me the new integral
 
Okay, I've now ended up with

\\frac{1}{7}\\int\\frac{e^u}{x^7} du
 
You should show me the steps you take to get there!

plus use the carrot to show superscripts with LaTeX: e^{u}

What is the derivative of u = x^8 with respect to x?
 
Can you show me how you would do it?
 
Alright, the integral is:

[tex]\int x^{7}e^{x^{8}}dx[/tex]

I'll choose u = x^8
[tex]du = 8x^{7}dx[/tex]

Here is where you had an issue before, notice that in the original integral I do have x^7dx in it ! This implies I don't need to divide by x^7, I just use the substitution:

[tex]\frac{1}{8}du = x^{7}dx[/tex]

Can you finish it from here?
 
iamalexalright said:
Alright, the integral is:

[tex]\int x^{7}e^{x^{8}}dx[/tex]

I'll choose u = x^8
[tex]du = 8x^{7}dx[/tex]

Here is where you had an issue before, notice that in the original integral I do have x^7dx in it ! This implies I don't need to divide by x^7, I just use the substitution:

[tex]\frac{1}{8}du = x^{7}dx[/tex]

Can you finish it from here?

Okay, I tried what you said. Can you check it, thanks! And how do I go on from there, I'm not very good at this, but I still want to learn!
 

Attachments

  • Capture.PNG
    Capture.PNG
    1.6 KB · Views: 463
  • #10
[tex]\begin{aligned}<br /> dx &= \frac{du}{8x^7} \\<br /> \int \frac{x^{7} \cdot e^u}{8x^{7}}dx &= ...<br /> \end{aligned}[/tex]
This is the 2nd time I saw someone work a u-substitution this way. Why isolate dx? I think it makes things complicated. Solve for 'an expression in the integral that contains dx' instead, like this:
[tex]\begin{aligned}<br /> u &= x^8 \\<br /> du &= 8x^7 dx \\<br /> \frac{1}{8} du &= x^7 dx<br /> \end{aligned}[/tex]
(because x7 dx appears in the integral)

So,
[tex]\int x^{7}e^{x^{8}}dx = \frac{1}{8}\int e^u du = ...[/tex]
 
  • #11
Thank you both so much!
And to eumyang, I don't understand, I thought it would be easier to isolate the dx, because you can simply just substitute the dx, isn't that right?

Anyway, thanks again!
 

Similar threads

  • · Replies 3 ·
Replies
3
Views
2K
Replies
1
Views
1K
  • · Replies 7 ·
Replies
7
Views
2K
  • · Replies 4 ·
Replies
4
Views
2K
Replies
2
Views
2K
Replies
11
Views
3K
Replies
2
Views
2K
Replies
10
Views
2K
  • · Replies 11 ·
Replies
11
Views
3K
  • · Replies 12 ·
Replies
12
Views
2K