Stuck on a vector problem: Boating across a river

Click For Summary

Homework Help Overview

The discussion revolves around a vector problem involving rowing across a river with a current. The original poster attempts to determine the direction to row and the time it would take to cross a 63 meter-wide river while accounting for the river's flow speed of 0.57 m/s and their rowing speed of 1.3 m/s relative to the water.

Discussion Character

  • Exploratory, Assumption checking, Problem interpretation

Approaches and Questions Raised

  • Participants discuss the need to adjust the rowing direction to counteract the river's current, with some questioning the implications of the term "relative" in this context. There are mentions of vector components and the need for the resultant vector to be perpendicular to the riverbank.

Discussion Status

Participants are actively exploring different approaches to set up the problem correctly. Some have suggested graphical methods for finding missing vector properties, while others are recalibrating their understanding of the vectors involved. There is a recognition of the need for the sum vector to be straight across the river, and some participants have begun to arrive at specific angles and times for crossing.

Contextual Notes

There is an ongoing discussion about the properties of the vectors involved, including their lengths and directions. Some participants have noted discrepancies in their calculations and are considering the effects of rounding on their results.

opus
Gold Member
Messages
717
Reaction score
131

Homework Statement


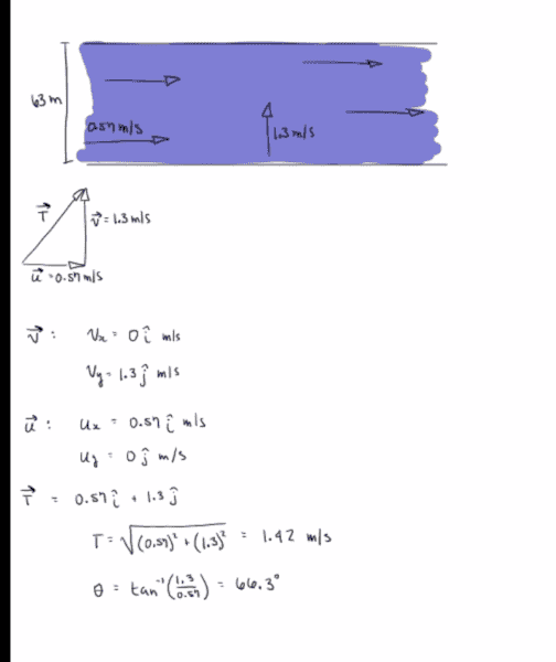
You wish to row straight across a 63 meter-wide river. You can row at a steady 1.3 m/s relative to the water and the river flows at 0.57 m/s.
In what direction should you head, and how long would it take you to cross the river?

Homework Equations

The Attempt at a Solution



I've attached an image to show my drawing of the situation.
What I have done is make 3 vectors.
##\vec v## represents the boat's vector and it's unit notation is ##\vec v = (0\hat i + 1.3\hat j)##
##\vec u## represents the current of the river with ##\vec u =(0.57 \hat i + 0\hat j)##
##\vec T## represents the sum vector and I get ##\vec T =(0.57 \hat i + 1.3\hat j)## ##=(1.42~m/s,66.3°)##

Now I'm not sure where to go after this. I know the current will be pushing the boat in a manner that causes it to not be perpendicular to the shore and I need to find and angle to aim the boat so that it can get straight across.
The problem mentions the term "relative" so I kind of think of reference frames, but I'm not sure how to go about using such a thing here.
 

Attachments

  • Screen Shot 2019-01-22 at 1.15.40 AM.png
    Screen Shot 2019-01-22 at 1.15.40 AM.png
    8.1 KB · Views: 446
Physics news on Phys.org
With that ##\vec v## you are getting a resultant velocity that has a component in the river direction and therefore you are not crossing straight over the river (you will end up downstream) as specified by the problem.
 
  • Like
Likes   Reactions: opus
Orodruin said:
With that ##\vec v## you are getting a resultant velocity that has a component in the river direction and therefore you are not crossing straight over the river (you will end up downstream) as specified by the problem.
So then I need to find a way to have ##\vec T## to have a horizontal component of 0?
 
I suppose "relative" means the speed through the water compared to over ground. Each of your vectors has two properties: length and direction, ending up in six properties overall. If you have four of them, all of them are defined unambigously, you know

1) length of current vector (speed of river)
2) direction of current vector (direction of river)
3) length of your movement vector through the water (your relative speed)
4) direction of your movement vector over ground (direction to cross the river perpendicularly)

Now you have to find the the missing properties, which can be done graphically very easily. But of course you can calculate it numerically too.

EDIT: In your case, since you want to cross the river perpendicularly to its direction, the problem becomes even easier, since you have a right triangle
 
  • Like
Likes   Reactions: opus
stockzahn said:
Now you have to find the the missing properties, which can be done graphically very easily. But of course you can calculate it numerically too.

Aren't the two missing quantities you mention what I have found for ##\vec T##? It's direction and magnitude? This would give me 6 total properties as you've mentioned.
 
opus said:
Aren't the two missing quantities you mention what I have found for ##\vec T##? It's direction and magnitude? This would give me 6 total properties as you've mentioned.

But your vector ##\vec T## points in the wrong direction, if I didn't misunderstand your notation the angle should be ##90^o##, not ##66.3^o##.
 
  • Like
Likes   Reactions: opus
Looks like I misunderstood how to set this up. I had my original vector pointed straight across because it's the shortest distance. But I need the sum vector to be straight across after I've started swimming against the current. Let me rework some of this.
 
opus said:
But I need the sum vector to be straight across after I've started swimming against the current.

Yes, I suppose that's the task asked for...
 
  • Like
Likes   Reactions: opus
Yeah my thought was to make it straight, and then the current would give me a sum that pushed it to the right, and I'd need to do something to get it straight again lol. Not very efficient I suppose.
 
  • #10
Ok I think I've got it worked out. I had to find what was needed to get the sum vector to be perpendicular and got a 26 degree upstream angle and will cross in 54.3 s!
 
  • #11
opus said:
Ok I think I've got it worked out. I had to find what was needed to get the sum vector to be perpendicular and got a 26 degree upstream angle and will cross in 54.3 s!

That looks pretty good, I've only obtained a small difference in the crossing time - I calculated 53.9 s. If in your opinion your answer is accurate enough, well done. Otherwise we could compare results, if you want to.
 
  • Like
Likes   Reactions: opus
  • #12
Looks like you are correct. I made the mistake of carrying a rounded solution through my work. In one go on the calculator, I've got 53.92.
 

Similar threads

Replies
12
Views
2K
  • · Replies 11 ·
Replies
11
Views
3K
  • · Replies 5 ·
Replies
5
Views
3K
Replies
2
Views
1K
  • · Replies 4 ·
Replies
4
Views
3K
  • · Replies 4 ·
Replies
4
Views
2K
  • · Replies 3 ·
Replies
3
Views
2K
  • · Replies 8 ·
Replies
8
Views
2K
Replies
1
Views
1K
  • · Replies 9 ·
Replies
9
Views
7K