Sum of Normal Modes on a Vibrating String

Click For Summary
SUMMARY

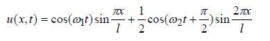
The discussion centers on the derivation of the sum of the first two normal modes of a vibrating string, specifically addressing the equation presented in textbooks. The general formula for normal modes is referenced, with particular attention to the phase angles and amplitudes of the modes. It is established that the phase angles for the first and second modes are zero and π/2, respectively, and that the amplitude of the second mode is 1/2. The conclusion emphasizes that the equation provided is contingent on specific initial conditions such as displacement and velocity at t=0.

PREREQUISITES
  • Understanding of wave mechanics and normal modes
  • Familiarity with the general formula for normal modes of a vibrating string
  • Knowledge of phase angles in wave equations
  • Basic principles of initial conditions in wave motion
NEXT STEPS
  • Study the derivation of normal modes in vibrating strings using the wave equation
  • Explore the impact of initial conditions on wave behavior in strings
  • Learn about phase relationships in superposition of waves
  • Investigate the mathematical representation of wave functions and their amplitudes
USEFUL FOR

Students of physics, particularly those studying wave mechanics, educators explaining normal modes, and anyone seeking to deepen their understanding of vibrating strings and their mathematical representations.

MyNewPony
Messages
30
Reaction score
0

Homework Statement



In textbooks, I often see the sum of the first two normal modes given in the equation attached (on the right). I'm wondering how they arrive at that equation based on the general formula (on the left).

I tried subbing in n= 1 and 2 in the general formula, but I'm not sure where to go from there. Where does the phase angle in the first normal mode go? Why is the amplitude of the second normal mode 1/2?
 

Attachments

  • Normal Modes.jpg
    Normal Modes.jpg
    4.4 KB · Views: 474
  • First Two Normal Modes.jpg
    First Two Normal Modes.jpg
    3.8 KB · Views: 536
Physics news on Phys.org
The equation on the right is not general, but depends specifically on the initial conditions. Eg., the string's displacement and velocity at t=0.

The fact that the phase angles of the 2 modes are zero and π/2, or that the amplitudes are 1 and 1/2, is not a generally true result.
 

Similar threads

  • · Replies 11 ·
Replies
11
Views
3K
  • · Replies 16 ·
Replies
16
Views
2K
Replies
69
Views
5K
  • · Replies 2 ·
Replies
2
Views
2K
  • · Replies 6 ·
Replies
6
Views
2K
Replies
4
Views
3K
  • · Replies 2 ·
Replies
2
Views
2K
  • · Replies 1 ·
Replies
1
Views
3K
  • · Replies 1 ·
Replies
1
Views
2K
Replies
4
Views
2K