Tensor - the indicial notation, beginners problem

Click For Summary

Homework Help Overview

The discussion revolves around evaluating expressions involving a matrix S_ij and a vector a_i, specifically focusing on the application of Einstein's summation convention and the properties of indices in tensor notation. The context is set within the study of continuum mechanics.

Discussion Character

  • Exploratory, Conceptual clarification, Mathematical reasoning, Assumption checking

Approaches and Questions Raised

  • Participants discuss the application of Einstein's convention, the calculation of sums over indices, and the interpretation of dummy indices. Questions arise regarding the equivalence of certain expressions and the nature of tensor operations.

Discussion Status

The discussion is active, with participants providing insights and clarifications on the use of indices and the properties of tensors. There is a mix of differing interpretations regarding the calculations, particularly in parts (b) and (e), indicating ongoing exploration of the concepts.

Contextual Notes

Participants are navigating the complexities of tensor notation and its application in continuum mechanics, with some expressing uncertainty about specific operations and definitions. The original poster is self-studying, which may influence the depth of understanding and the nature of questions posed.

Dafe
Messages
144
Reaction score
0
1. The problem statement and attempt at solution

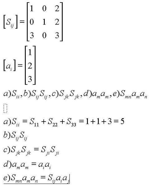
Given the matrix S_ij and a_i evaluate a),b),c),d) and e)

2A1.jpg


For a) I think i use Einsteins convention.
b) I just first sum on i, and then on j giving me 9 terms. The answer I get is 24.

d) can i change m with i since they are both dummy indexes?

e) the same problem as d I guess, is this allowed?

I'm trying to learn continuum mechanics by my self, and this is the first step.

Thank you.
 
Physics news on Phys.org
Dafe said:
1. The problem statement and attempt at solution

Given the matrix S_ij and a_i evaluate a),b),c),d) and e)

2A1.jpg


For a) I think i use Einsteins convention.
Yes, that is the sum of numbers on the main diagonal, also called the "trace".

b) I just first sum on i, and then on j giving me 9 terms. The answer I get is 24
?? I get 28, the sum of the squares of all terms. And, of course, (c) is exactly the same as (b).

d) can i change m with i since they are both dummy indexes?
Yes, but why would you want to? In any case this is the sum of the squares of the elements of a, 1+ 4+ 9.

e) the same problem as d I guess, is this allowed?
No, this is not at all the same problem as (d)! (d) was amam which is, as I said, the sum of the squares of the elements of a: the same as the 'dot product' of a with itself. In particular, there is no "S" in (d). (e) is Smnaman. Multiply the "matrix" S with the column vector a, then take the dot product of that with a.

I'm trying to learn continuum mechanics by my self, and this is the first step.

Thank you.[/QUOTE]
 
I didn't mean that e) was the same problem as d), I just wondered if I could change the indices from m to i and so on... You've answered that though, thank you very much!
 
I'll post some more questions here so I don't spam the forums, hope that's alright.

1. The problem statement and attempt at solution:

2A4-1.jpg


As I see it E_kk is a first order tensor and E_ij is a second order one. How do I go from E_ij to E_kk?

Thank you.
 
Try to find out what kronecker delta is! Then you will get the answer.
 

Similar threads

  • · Replies 2 ·
Replies
2
Views
3K
Replies
6
Views
2K
  • · Replies 1 ·
Replies
1
Views
2K
Replies
1
Views
2K
  • · Replies 5 ·
Replies
5
Views
2K
  • · Replies 7 ·
Replies
7
Views
1K
  • · Replies 7 ·
Replies
7
Views
2K
  • · Replies 5 ·
Replies
5
Views
3K
  • · Replies 10 ·
Replies
10
Views
4K
  • · Replies 5 ·
Replies
5
Views
3K