The force and torque between two permanent magnets?

Click For Summary

Discussion Overview

The discussion centers on the forces and torques between two diametrically magnetized cylindrical permanent magnets (PMs) placed in proximity to each other. Participants explore the applicability of existing equations for axially magnetized PMs to the diametrically magnetized case, as well as experimental approaches to validate theoretical predictions.

Discussion Character

  • Exploratory
  • Technical explanation
  • Experimental/applied

Main Points Raised

  • One participant is uncertain whether the force and torque equations for axially magnetized PMs can be applied to diametrically magnetized PMs.
  • There is a suggestion that finite element modeling (FEM) may be a suitable approach for analyzing the interactions between the PMs.
  • Another participant emphasizes the importance of experimental validation of FEM results, noting that experiments are essential for reliable outcomes.
  • A participant mentions having Hall effect sensors to measure the magnetic field and seeks advice on additional sensors or equipment for verifying force and torque through experiments.
  • It is noted that while measuring force can be done using various methods, measuring torque presents more challenges.

Areas of Agreement / Disagreement

Participants express differing views on the best approach to analyze the forces and torques, with some advocating for FEM and others emphasizing experimental methods. There is no consensus on the applicability of existing equations for axially magnetized PMs to the diametrically magnetized scenario.

Contextual Notes

Participants highlight the potential limitations of FEM and the need for experimental validation, but specific assumptions or dependencies on definitions are not fully explored.

Who May Find This Useful

This discussion may be useful for those interested in the interactions of permanent magnets, particularly in experimental setups or theoretical modeling in magnetism.

flofelis
Messages
6
Reaction score
1
Hi all =)

I am interested to find the forces and torques between two (diametrically magnetized) cylindrical permanent magnets (PMs) placed within a vicinity, as shown below:
PMs_ooazaq.png

The NdFeB PMs placed beside one another with a distance, d. Both are rotated by independent external sources (I have solenoids to independently drive the PMs). This will affect each PM in terms of the torque and force.

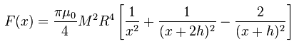
So I am just wondering if I could use the same force/torque equations (e.g. for the force as shown below) between two axially magnetized PMs for the diametrically magnetized ones as well:
Force_between_2_cylindrical_magnets_gjzzuu.png

I do not have a software for this, thus I would need to model it mathematically.. (i have spent weeks trying to find a way to do it but I ran out of idea)

I see that most cases are calculated for axially magnetized PMs so I am not sure if the generally available equations for the axially magnetized PMs can be used in my case. I got pretty confused as to how I should compute the dynamics (force and torque of one PM (primary) when another is closely present).. as well as how far should the PMs be apart so I could ignore the effect of the other PM onto the primary PM.

Looking forward to hearing from anyone with ideas and advice =) Thank you very much!
 
Physics news on Phys.org
Experiment is the best way. FEM can be tricky, and results must be validated to be reliable.
 
I have some hall effect sensors which could help get the magnetic field at a certain location..I could use that for force or torque verification through my equations. Do you have any suggestions on what sensors or equipment I could use in experiments as such? Thanks again~! =)
 
If your FEM or equation predicts force, you should measure force. The same is true with torque. There are a lot of ways to measure force: displacements of pendula, electronic sensors, etc. Measuring torque is harder.
 

Similar threads

  • · Replies 12 ·
Replies
12
Views
998
  • · Replies 9 ·
Replies
9
Views
2K
  • · Replies 0 ·
Replies
0
Views
401
  • · Replies 16 ·
Replies
16
Views
3K
  • · Replies 1 ·
Replies
1
Views
1K
  • · Replies 6 ·
Replies
6
Views
1K
  • · Replies 1 ·
Replies
1
Views
2K
  • · Replies 3 ·
Replies
3
Views
2K
  • · Replies 5 ·
Replies
5
Views
2K