The periodic time of an elastic string's oscillation

Click For Summary

Homework Help Overview

The discussion revolves around determining the periodic time of oscillation for a mass attached to an elastic string. The original poster attempts to derive the motion equations based on tension and displacement, incorporating parameters such as mass and gravitational force.

Discussion Character

  • Exploratory, Assumption checking, Mathematical reasoning

Approaches and Questions Raised

  • Participants explore the relationship between tension and displacement, questioning the validity of expressions derived at specific instances. There are discussions about the correct formulation of the differential equation governing the motion and the implications of the string becoming slack during oscillation.

Discussion Status

Participants are actively engaging with each other's reasoning, raising questions about dimensional correctness and the assumptions made regarding forces acting on the mass. Some guidance has been offered regarding the need for a variable that measures displacement from equilibrium and the implications of slack in the string.

Contextual Notes

There are indications of potential confusion regarding the signs in force equations and the conditions under which the string may become slack. The original poster is working under the constraints of a homework problem, which may limit the information available for a complete analysis.

patric44
Messages
308
Reaction score
40
Homework Statement
a string with length "a" attached to a point and has a mass "m " attached to it , the elasticity of the string λ = the weight of that mass . if the mass is pulled downwards such that the string length becomes 4 times it original length . and its left to oscillate .
prove that mass will return back to that point of pulling for the first time after a time = √ (a/g)*(2√ 3 + 4π/3 )
Relevant Equations
prove that t = √ (a/g)*(2√ 3 + 4π/3 )
λ =mg
i guess he is asking for the periodic time :
$$Tension = \frac {λ*y}{a} $$
$$
\lambda= mg
$$
$$y =3a$$
$$T = 3mg$$
$$F = T-mg\Longrightarrow F = 3mg-mg = 2mg$$
$$m{y}''=2mg$$
$$y'' = 2g \therefore\frac { dy'}{dt} = 2g \Longrightarrow y' = 2gt+c1$$ by applying the boundary conditions and integrating
$$y = gt^2 -3a $$
$$ t^2=\frac{y-3a}{g}⇒ t =√(\frac{a}{g})√(\frac{y}{a} +3) $$
i am stuck here what should i do next
is this the right approach to solve it ?

i will appreciate any help
thanks
 
Physics news on Phys.org
patric44 said:
$$T = 3mg$$
This is true only at the instant where ##y=3a##.
$$F = T-mg\Longrightarrow F = 3mg-mg = 2mg$$
$$m{y}''=2mg$$
This is true only when ##y = 3a##.
You will need expressions for ##F## and ##y''## that hold for any positive value of ##y##. Does ##y## ever go negative?
 
TSny said:
This is true only at the instant where ##y=3a##.
This is true only when ##y = 3a##.
You will need expressions for ##F## and ##y''## that hold for any positive value of ##y##. Does ##y## ever go negative?
So I should work this with y as a variable, bud this led me to some very lengthy calculations :
Screenshot_2020-03-25-20-16-05.jpg

Screenshot_2020-03-25-20-11-49.jpg
 
I won't be able to easily quote particular parts of your work since it is posted as a picture.

Be careful with signs. Your diagram shows that you are taking positive ##y## downward. That's fine. But then, the weight of the mass ##mg## would be a positive force while the tension would be negative. So, your signs don't look right when you wrote ##F = T - mg##.

For a mass hanging on a spring or elastic string, it is often a good idea to introduce a variable that measures the displacement of the mass from the equilibrium position (where the mass would hang at rest). You should find that you get a familiar differential equation that will yield a familiar type of motion (as long as the string doesn't go slack).
 
TSny said:
I won't be able to easily quote particular parts of your work since it is posted as a picture.

Be careful with signs. Your diagram shows that you are taking positive ##y## downward. That's fine. But then, the weight of the mass ##mg## would be a positive force while the tension would be negative. So, your signs don't look right when you wrote ##F = T - mg##.

For a mass hanging on a spring or elastic string, it is often a good idea to introduce a variable that measures the displacement of the mass from the equilibrium position (where the mass would hang at rest). You should find that you get a familiar differential equation that will yield a familiar type of motion (as long as the string doesn't go slack).
so you are suggesting that the differential equation would be :
$$ my''=mg-\frac{λ}{a}y ⇒y''=g-\frac{g}{a}y $$
is that the right differential equation to solve ?
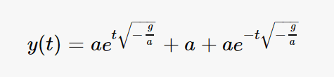
i tried to solve it using online calculator to save some time :
$$ y′′(t)+\frac{g}{a}y(t)=g , y(0)=3a , y′(0)=0 $$
the answer was ?! :
difff equat.png

what am i doing wrong ?
 
patric44 said:
so you are suggesting that the differential equation would be :
$$ my''=mg-\frac{λ}{a}y ⇒y''=g-\frac{g}{a}y $$
is that the right differential equation to solve ?
i tried to solve it using online calculator to save some time :
$$ y′′(t)+\frac{g}{a}y(t)=g , y(0)=3a , y′(0)=0 $$
the answer was ?! :
View attachment 259376
what am i doing wrong ?
How else might you write eiy?
 
haruspex said:
How else might you write eiy?
i could write this as :
after expressing this in euler's form and canceling the sin :
$$ y(t) = a+2\cos( {\sqrt{\frac{g}{a}}t}) $$
so
$$ t = \sqrt{\frac{a}{g}}\cos^{-1} ({\frac{y-a}{2}})$$
how would i get the periodic time as :
$$ t = \sqrt{\frac{a}{g}}*(2√ 3 + 4π/3 ) $$
 
patric44 said:
i could write this as :
after expressing this in euler's form and canceling the sin :
$$ y(t) = a+2\cos( {\sqrt{\frac{g}{a}}t}) $$
Close. Check to see if this equation is dimensionally correct.

how would i get the periodic time as :
$$ t = \sqrt{\frac{a}{g}}*(2√ 3 + 4π/3 ) $$
You need to consider the possibility that the string becomes slack.
 
TSny said:
Close. Check to see if this equation is dimensionally correct.

You need to consider the possibility that the string becomes slack.
its not clear to me how its not dimensionally correct , inst the cos term has no units and a has a unit of length
same as y ?
- what you mean by slack ? and how should it effect my approach for solving the problem ?
 
  • #10
patric44 said:
its not clear to me how its not dimensionally correct , inst the cos term has no units and a has a unit of length
same as y ?
Consider ##a + 2\cos(\sqrt{\frac{g}{a}}t)##

You are adding two terms. The first term is ##a## and has the dimensions of length. The second term is ##2\cos(\sqrt{\frac{g}{a}}t)## and is dimensionless. You can't add two terms of different dimensions.

- what you mean by slack? and how should it effect my approach for solving the problem ?
Try to picture what's going on. After releasing the mass, the mass will move upward. If it moves far enough upward, the string will become "loose" ("slack"). While the string is slack, it does not exert a force on the mass.

Some things for you to consider:

(1) For what value of ##y## does the string first become slack?

(2) While the string is slack, what force or forces act on the mass?

(3) How would you describe the motion of the mass while the string is slack?
 

Similar threads

  • · Replies 5 ·
Replies
5
Views
999
Replies
7
Views
1K
Replies
24
Views
4K
  • · Replies 26 ·
Replies
26
Views
6K
Replies
6
Views
2K
Replies
18
Views
3K
  • · Replies 6 ·
Replies
6
Views
2K
Replies
13
Views
2K
  • · Replies 9 ·
Replies
9
Views
3K
  • · Replies 1 ·
Replies
1
Views
2K