Time period of Beat (acoustics)

Click For Summary

Discussion Overview

The discussion revolves around the concept of beats in acoustics, specifically focusing on the mathematical representation of beats formed by the superposition of two sinusoidal waves with different frequencies. Participants explore the significance of the equations involved, the derivation of these equations, and the implications for understanding the time period of beats.

Discussion Character

  • Exploratory
  • Technical explanation
  • Mathematical reasoning

Main Points Raised

  • One participant presents the equation for beats and asks for its significance in the context of waves and oscillations.
  • Another participant suggests that the equation is derived from the combination of two sinusoids at different frequencies.
  • Multiple participants provide the derivation of the combined wave equation using trigonometric identities.
  • Questions arise regarding how to proceed with the derivation and the calculation of the time period for beats.
  • There is a discussion about the relationship between amplitude and the time period of beats, with one participant questioning if the time period depends on amplitude.
  • Participants discuss the concept of beat frequency and its relation to the sum and difference frequencies of the two waves.

Areas of Agreement / Disagreement

There is no consensus on the exact relationship between amplitude and the time period of beats, as well as the specific formulas for calculating the time period. Participants express varying levels of understanding and familiarity with the underlying concepts.

Contextual Notes

Some participants reference trigonometric identities and the derivation of the combined wave equation, but there are unresolved questions regarding the application of these identities to find the time period of beats.

Huzaifa
Messages
40
Reaction score
2
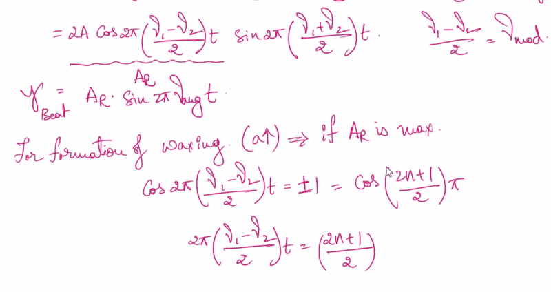
$$y=2 A \cos 2 \pi\left(\frac{\nu_{1}-\nu_{2}}{2}\right) t \sin 2 \pi\left(\frac{\nu_{1}+\nu_{2}}{2}\right) t$$

Can you explain me the significance of the above equation in the context of waves and oscillations? It's something to do with 'beats,'.
 
Physics news on Phys.org
Where did you get it from? They probably derive it from the combination of the two sinusoids at different frequencies, no?
 
  • Like
Likes   Reactions: vanhees71
https://en.wikipedia.org/wiki/Beat_(acoustics)

1641320559632.png
 
  • Like
Likes   Reactions: vanhees71
berkeman said:
Where did you get it from? They probably derive it from the combination of the two sinusoids at different frequencies, no?
Yes sir, they derived it from $$y_{1}=A \sin \omega_{1} t ; y_{2}=A \sin \omega_{2} t$$
 
$$y=y_{1}+y_{2}=A\left[\sin \omega_{1} t+\sin \omega_{2} t\right]=A\left[2 \sin \left(\frac{\omega_{1}+\omega_{2}}{2}\right) t \cos \left(\frac{\omega_{1}-\omega_{2}}{2}\right) t\right]$$

How to proceed ahead from here?
 
Huzaifa said:
$$y=y_{1}+y_{2}=A\left[\sin \omega_{1} t+\sin \omega_{2} t\right]=A\left[2 \sin \left(\frac{\omega_{1}+\omega_{2}}{2}\right) t \cos \left(\frac{\omega_{1}-\omega_{2}}{2}\right) t\right]$$

How to proceed ahead from here?
Sorry, what do you mean? Are you familiar with common trig identities like the sum of two sine waves?

https://www.purplemath.com/modules/idents.htm

1641321981618.png
 
Duplicate thread starts merged into one thread
Consider two two sinusoids at different frequencies $$y_{1}=A \sin \omega_{1} t ; y_{2}=A \sin \omega_{2} t$$
$$y=y_{1}+y_{2}=A\left[\sin \omega_{1} t+\sin \omega_{2} t\right]=A\left[2 \sin \left(\frac{\omega_{1}+\omega_{2}}{2}\right) t \cos \left(\frac{\omega_{1}-\omega_{2}}{2}\right) t\right]$$

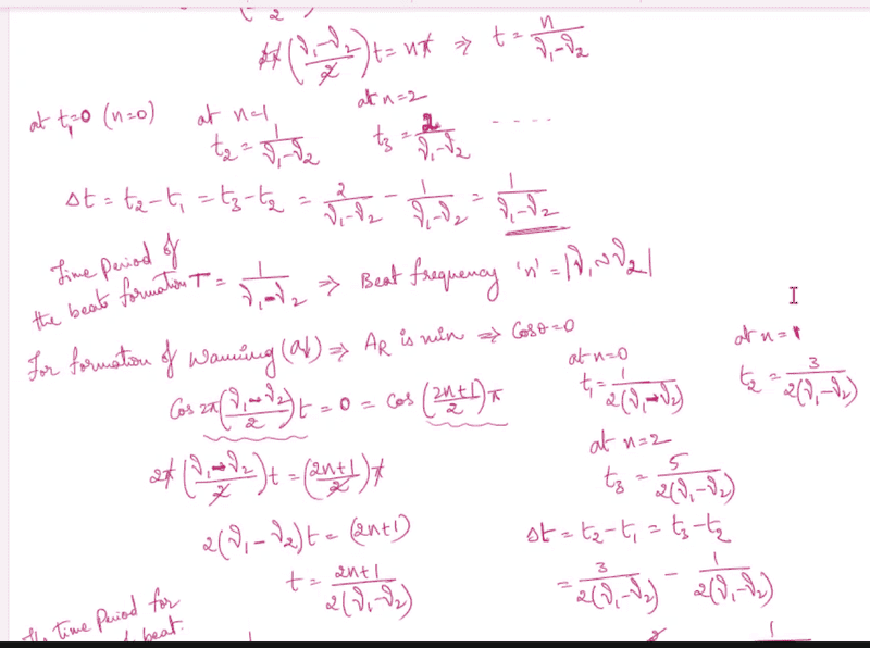
For the formation of waxing, A is maximum, what will be the time period? And for the formation of wanning, A is minimum, what will be the time period?
unknown.png

This is from my class notes. Unfortunately, I missed my class and I am not able to understand now. So I have turned to Physics Forums for help.

Please explain me how the time period for the formation of beat T, $$T=\dfrac{1}{\nu_{1}+\nu_{2}}$$
and the beat frequency $$n=\nu_{1} \sim \nu_{2}$$
 
Huzaifa said:
How to solve for time period now?
Which time period? The sound you hear when listening to audio beats is the sum frequency, modulated at the difference frequency. So the period of the beats (the louder-softer characteristic) is at the difference frequency of the two sine waves.
 
  • #10
berkeman said:
Which time period? The sound you hear when listening to audio beats is the sum frequency, modulated at the difference frequency. So the period of the beats (the louder-softer characteristic) is at the difference frequency of the two sine waves.
Yes, I think the time period of the beats. Does the time period depend on A? When the A is maximum, $$t=\dfrac{n}{\nu_1-\nu_2}$$, When A is minimum $$t=\dfrac{2n+1}{2 \left( \nu_1-\nu_2 \right)}$$.
 

Similar threads

  • · Replies 1 ·
Replies
1
Views
2K
  • · Replies 1 ·
Replies
1
Views
2K
  • · Replies 8 ·
Replies
8
Views
3K
  • · Replies 17 ·
Replies
17
Views
4K
  • · Replies 11 ·
Replies
11
Views
3K
  • · Replies 2 ·
Replies
2
Views
3K
  • · Replies 2 ·
Replies
2
Views
1K
  • · Replies 4 ·
Replies
4
Views
1K
  • · Replies 2 ·
Replies
2
Views
2K
  • · Replies 19 ·
Replies
19
Views
2K