hanhjung99
- 3
- 0
Moved from another forum. No template.
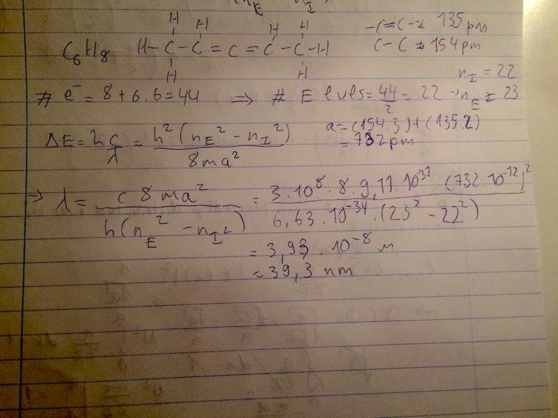
I come across this question in a textbook. Somehow my result is way off from the solution answer. I used the energy formula for particle in a box with n(Initial) = 22 and n(End) = 23, the calculated box length is 732 pm. I arrived at an answer of 39.3 nm. The answer from the answer book is but 239 nm. Thanks for the help
