Transmission line input impedance

Click For Summary

Discussion Overview

The discussion revolves around calculating the input impedance of a transmission line terminated with a specific load. Participants explore the phase change along the line and the implications of mismatched termination on the input impedance. The scope includes theoretical calculations and mathematical reasoning related to transmission line theory.

Discussion Character

  • Homework-related
  • Mathematical reasoning
  • Debate/contested

Main Points Raised

  • One participant calculates the phase change, βℓ, as 0.8π radians and expresses concern about the simplicity of the problem.
  • Another participant suggests considering the reflection from the mismatched termination, indicating a potential oversight in the initial calculations.
  • A later reply acknowledges a mistake in manipulating the formula for input impedance and provides a revised calculation yielding 25.47 + j5.9 ohms.
  • Another participant expresses uncertainty about their calculations and seeks confirmation on the use of the characteristic impedance, Zo, in the formula.
  • One participant emphasizes the importance of working in rectangular coordinates for addition and subtraction before converting to polar for multiplication and division.
  • Another participant discusses a sign error in their calculations, suggesting that this may have led to discrepancies in their results.
  • There are multiple references to the need for careful mathematical manipulation and verification of results, with participants sharing their findings and corrections.

Areas of Agreement / Disagreement

Participants express various viewpoints on the calculations and methods used, with some agreeing on the need for careful handling of mathematical expressions while others highlight potential errors. The discussion remains unresolved regarding the correctness of the final input impedance calculations, with no consensus reached.

Contextual Notes

Participants mention specific mathematical steps and potential errors without resolving them, indicating that assumptions about the calculations and the use of formulas may vary among contributors.

acw260
Messages
13
Reaction score
0

Homework Statement



(a) A transmission line has a length, ℓ, of 0.4λ. Determine the phase change, βℓ, that occurs down the line.
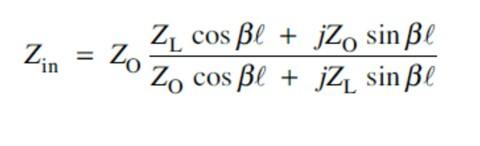
(b) A 50Ω lossless transmission line of length 0.4λ is terminated in a load of (40 + j30) Ω. Determine, using the equation given below, the input impedance to the line.

[see attachment for equation]

Homework Equations



As above.

The Attempt at a Solution



(a) β = ω / fλ
∴ βℓ = ω 0.4λ / fλ
= ω 0.4 / f
= 0.4x2π f / f
= 0.8π (=2.513 to 3d.p.)

(b) Zin = 50 x [ (40cos0.8π) / ( 50cos0.8π + 30sin0.8π) ]
= 70.91 ohms

Do these answers look correct? Seems worryingly straightforward.
 

Attachments

Physics news on Phys.org
I think you have to consider the reflection from the mismatched termination.
 
Ok, I can see that I've manipulated the given formula incorrectly for (b). Second attempt:

Zin = Zo [ ( (ZL COS βℓ) + (jZo SIN βℓ) ) / ( (Zo COS βℓ) + (jZL SIN βℓ) ) ]

= 50 x [ ( (40+j30)COS(0.8π) + (j50)SIN(0.8π) ) / ( 50COS(0.8π) + j(40+j30)SIN(0.8π) ) ]

= 25.47 + j5.9

How does this look?
 
acw260 said:

Homework Statement



(a) A transmission line has a length, ℓ, of 0.4λ. Determine the phase change, βℓ, that occurs down the line.
(b) A 50Ω lossless transmission line of length 0.4λ is terminated in a load of (40 + j30) Ω. Determine, using the equation given below, the input impedance to the line.

[see attachment for equation]

Homework Equations



As above.

The Attempt at a Solution



(a) β = ω / fλ
∴ βℓ = ω 0.4λ / fλ
= ω 0.4 / f
= 0.4x2π f / f
= 0.8π (=2.513 to 3d.p.)
OK. What was with the ω and f? β = 2π/λ so βl = (2π/λ)(0.4λ) = 2.513 radians.
b) I didn't check your math but the formula you used in your later post looks right.
 
Hello there, I am struggling with the maths of the equation for b.) Zin = Zo [ ( (ZL COS βℓ) + (jZo SIN βℓ) ) / ( (Zo COS βℓ) + (jZL SIN βℓ) ) ] I have attached my working out and have computed the answer with my calculator in Radians but am not at all confident on the answer I have achieved.
 

Attachments

You should have reduced numerator and denominator without changing to polar coordinates:

Z = {(a+jb) + (c+jd)} / {e+jf) + (g+jh)} = {(a+c) + j(b+d)} / {(e+g) + j(f+h)}

THEN changed numerator and denominator to polar.
Rule: for add & subtr, work in rectangular; for mult. & divide, work in polar.
I won't check your math but I suggest you redo using the above stratagem.
 
hi wanted to put this on as a new post but not sure how so thought it best to place with relevant question

(b) A 50Ω lossless transmission line of length 0.4λ is terminated in a load of (40 + j30)Ω. determine, using the equation given below, the input impedance to the line.
media%2F3c4%2F3c4045b1-a321-492c-99e4-2448c3fc32ce%2Fimage.jpg


I have calculated Bl which I think is correct and converted the load Zl to polar.

βl + 2π x 0.4 = 0.8π
βl = 2.513 radians = 144°

ZL = 40 + j30Ω
ZL = 50∠36.87°

Am I correct in thinking that the 50Ω of the lossless transmission line is used as the Zo.

once put into the formula the result I get is Zin = 50∠36.87, 40 + j30Ω which is equal to the load which makes me think it is incorrect.

thanks
 
casper12 said:
Am I correct in thinking that the 50Ω of the lossless transmission line is used as the Zo.
yes
once put into the formula the result I get is Zin = 50∠36.87, 40 + j30Ω which is equal to the load which makes me think it is incorrect.
thanks
i can't check your math but you're on the right track
 
Thank you rude man for the very fast response, I keep doubting the answers I'm getting and keep trying to find ways to double check my results. I will continue with the assignment and hopefully get it completed soon. cheers
 
  • #10
Can I ask how are you getting to this answer mathematically??

There is a point in the equation where j29.5/_36.87 needs to be changed to rectangular form.

This would be J29.5cos(36.87)=j23.6 and J29.5sin(36.87)=JJ17.7

It's at this point JJ17.7 is equal to minus 17.7 and it throws the answer that you are getting out?

If JJ17.7 was equal to +17.7 I get to your answer but j squared x 17.7 is a minus and from there I am not getting to an answer where ZL is equal in Zin.

Am I missing something? :-(
 
  • #11
Hi Matt, I only handed the assignment In last Saturday so have just checked if I have yet received any response and I have. it has been highlighted that I have made a sign error and it should have been a minus so you are probably correct. I have just recalculated my equation and the result I now have is 26.143∠13.05, 25.466 + j5.912. is that anything like your answer. cheers
 
  • #12
@casper12, instead of "hijacking" a thread that is almost two years old, for future questions, please start a new thread. At the top level of this and other five homework forum sections, there's a button labeled "Post New Thread." Clicking that button presents you with the homework template, which you use to enter the problem statement, relevant formulas, and your work. Do not delete any part of the homework template.
 

Similar threads

  • · Replies 2 ·
Replies
2
Views
5K
  • · Replies 4 ·
Replies
4
Views
3K
  • · Replies 4 ·
Replies
4
Views
3K
  • · Replies 2 ·
Replies
2
Views
2K
  • · Replies 2 ·
Replies
2
Views
1K
  • · Replies 4 ·
Replies
4
Views
4K
  • · Replies 1 ·
Replies
1
Views
2K
  • · Replies 4 ·
Replies
4
Views
4K
  • · Replies 3 ·
Replies
3
Views
3K
  • · Replies 10 ·
Replies
10
Views
2K