Troubleshooting a Virtual Work Problem

Click For Summary
SUMMARY

The discussion focuses on troubleshooting a virtual work problem involving the equation of virtual work: [du = 0] - Pdx + mg dh. The user expresses confusion regarding the derivation of the solution provided in the forum. Key elements include the hydraulic force P acting at the extension point and the gravitational force mg related to the car and platform. The user is advised to connect the differential height change (dh) to the differential distance (ds) that the piston moves, emphasizing the geometric relationship necessary for solving the problem.

PREREQUISITES
  • Understanding of virtual work principles
  • Familiarity with hydraulic systems and forces
  • Basic knowledge of geometry related to differential calculus
  • Experience with physics problems involving forces and motion
NEXT STEPS
  • Study the principles of virtual work in mechanics
  • Explore hydraulic systems and their force applications
  • Review geometric relationships in differential calculus
  • Practice solving physics problems involving forces and motion
USEFUL FOR

Students studying physics, engineers working with hydraulic systems, and anyone interested in understanding the application of virtual work in mechanical problems.

curtain
Messages
2
Reaction score
0
https://www.physicsforums.com/attachment.php?attachmentid=65907&stc=1&d=1390369310

I've been stuck on doing my revision on this problem.

The equation of the virtual work, from what I deduce is

[du = 0] -Pdx + mg dh

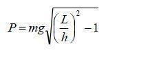
However the answer given is
https://www.physicsforums.com/attachment.php?attachmentid=65908&stc=1&d=1390369325

I'm not unfamiliar to these types of question as I've done quite a few of them. But, I just couldn't understand how'd the answer arrive to that.

I know P, is the force acting at the hydraulic extension at bc, and mg is the downward force of the car and the platform.
 

Attachments

  • Capture.JPG
    Capture.JPG
    39.5 KB · Views: 738
  • Capture2.JPG
    Capture2.JPG
    2.3 KB · Views: 678
Last edited:
Physics news on Phys.org
You need to relate dh to a change in ds, a differential distance the piston moves. This is just geometry.
 

Similar threads

Replies
5
Views
2K
  • · Replies 14 ·
Replies
14
Views
3K
  • · Replies 3 ·
Replies
3
Views
2K
  • · Replies 2 ·
Replies
2
Views
3K
Replies
4
Views
5K
  • · Replies 1 ·
Replies
1
Views
3K
  • · Replies 5 ·
Replies
5
Views
6K
  • · Replies 2 ·
Replies
2
Views
2K
  • · Replies 12 ·
Replies
12
Views
11K
  • · Replies 2 ·
Replies
2
Views
1K