Trying to find the equation of position in a circular oscillatory motion

Click For Summary

Homework Help Overview

The discussion revolves around deriving the equation of position for a body undergoing circular oscillatory motion after receiving an impulse. The context involves analyzing the motion of a mass in a circular orbit influenced by a central force, with considerations of effective potential and harmonic motion.

Discussion Character

  • Exploratory, Conceptual clarification, Mathematical reasoning, Problem interpretation, Assumption checking

Approaches and Questions Raised

  • Participants explore the relationship between the effective potential and harmonic motion, questioning how to prove the oscillatory nature of the motion. There are attempts to reformulate the problem statement and clarify the conditions of the motion. Some participants suggest writing differential equations based on the force function and discuss the implications of angular momentum and restoring forces.

Discussion Status

The discussion is active, with participants providing insights and suggestions for approaching the problem. There is a recognition of the need for approximations and clarifications regarding the expressions for angular momentum and forces involved. Multiple interpretations of the problem are being explored, and participants are engaging with each other's reasoning.

Contextual Notes

Participants note constraints such as the initial conditions of the circular orbit, the nature of the perturbation, and the assumptions regarding the force function. There are discussions about the stability of the orbit and the need for specific values of parameters like the angular frequency and the effective potential.

LCSphysicist
Messages
644
Reaction score
163
Homework Statement
The problem is how to get a equation of a position of a body that suffer a impulse and now is on a orbit that oscillate. The conditions are:
The body was in a circular orbit at initial.
L remains constant
The circular orbit is stable
The energy increases a little.
The force is such that it has all the necessary conditions above, and, obviously, are central attractive and varies with the distance.
Relevant Equations
E = T + U'
L = mwr^2
Initial radius is ro
f = -kr^n
First of all, i know that the motion will be bounded, is not necessary to know if the motion will be closed or not.
Second, by analyzing the graphic of a effective potential with such conditions, the motion will agree with harmonic motion.

Ok

I don't know how to prove the harmonic oscillation, here i want help.

But, just assuming that it is true, the general equation is
r = M + acos + bsin

Since w = (√(k/m)), and k is the second derivation of the potential energy [here i use the effective potential instead just the potential] in the ro initial.

All of this bring to the final equation:

1589457684416.png
[Actually the terms between parentheses of the sin is under root , i forget write this.]

I don't know to take off t.
And How to determinate B
 
Physics news on Phys.org
I suppose English is not your native language so let me reformulate the statement of the problem as I understand it.

Mass ##m## moves in a circular orbit under the influence of a central force given by ##F=-k r^n.## At time ##t=0## this object receives a small impulse, so that its orbit is perturbed from being circular. Find an expression for the perturbed orbit.

Am I close?
 
  • Like
  • Haha
Likes   Reactions: Delta2, etotheipi, LCSphysicist and 1 other person
kuruman said:
I suppose English is not your native language so let me reformulate the statement of the problem as I understand it.

Mass ##m## moves in a circular orbit under the influence of a central force given by ##F=-k r^n.## At time ##t=0## this object receives a small impulse, so that its orbit is perturbed from being circular. Find an expression for the perturbed orbit.

Am I close?
yes haha sorry
 
LCSphysicist said:
Homework Statement:: The problem is how to get a equation of a position of a body that suffer a impulse and now is on a orbit that oscillate. The conditions are:
The body was in a circular orbit at initial.
L remains constant
The circular orbit is stable
The energy increases a little.
The force is such that it has all the necessary conditions above, and, obviously, are central attractive and varies with the distance.
Relevant Equations:: E = T + U'
L = mwr^2
Initial radius is ro
f = -kr^n

First of all, i know that the motion will be bounded, is not necessary to know if the motion will be closed or not.
Second, by analyzing the graphic of a effective potential with such conditions, the motion will agree with harmonic motion.

Ok

I don't know how to prove the harmonic oscillation, here i want help.

But, just assuming that it is true, the general equation is
r = M + acos + bsin

Since w = (√(k/m)), and k is the second derivation of the potential energy [here i use the effective potential instead just the potential] in the ro initial.

All of this bring to the final equation:

View attachment 262765 [Actually the terms between parentheses of the sin is under root , i forget write this.]

I don't know to take off t.
And How to determinate B
You will be needing to make some approximation for the small perturbation, so I would start from the other end: write the differential equation for the motion based on the force function given.
 
LCSphysicist said:
Relevant Equations:: E = T + U'
L = mwr^2
Initial radius is ro
f = -kr^n
...

Since w = (√(k/m)), and k is the second derivative of the potential energy [here i use the effective potential instead just the potential] in the r0 initial.

All of this bring to the final equation:

View attachment 262765 [Actually the terms between parentheses of the sin is under root , i forget write this.]

I don't know how to take off t.
And How to determine B .
The expression for angular momentum is incorrect. r should not be squared.
It should be L = mΩr0, where m is the mass of the orbiting body, Ω is the angular velocity for the orbit and of course, r0, is the radius of the circular orbit (unperturbed). I use upper case Ω here, because there is no reason to expect that the angular frequency (angular velocity) of the orbit has the same value as the angular frequency of the harmonic oscillation.

I suggest finding the orbital angular frequency, Ω, or equivalently, the orbital period, T, for the circular orbit. Equate centripetal force and the central force, f, where ##\text{f} = -k ~ {r_0}^n ##.
 
  • Like
Likes   Reactions: Delta2
haruspex said:
You will be needing to make some approximation for the small perturbation, so I would start from the other end: write the differential equation for the motion based on the force function given.
I would too. The mass is in an effective potential that one writes as the sum of the central potential and the centrifugal potential ##U_{eff}=U_{central}+\dfrac{L^2}{2mr^2}##. This can be used to find (a) the radius of circular orbits; (b) the values of ##n## (positive or negative) for which circular orbits exist; (c) a series expansion which will provide an effective spring constant for small radial oscillations.
 
  • Like
Likes   Reactions: LCSphysicist
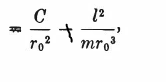
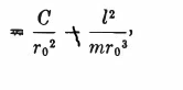
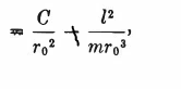
Seeing this again, i am trying to solve:
I thought that:
F =
1592282884166.png

So F = C/(ro + dr)² + l²/m(ro + dr)³
Well, a little of algebra and expansion would lead to:
f = mr'' = C*/ro² - 2*C*L*dr/ro³ + L²/mro³ - L²*3*dr/(m*ro^4)

This is a little ugly.

I assumed n to be minus 2 to facility the problem at first, i think if i understand by this way i can go on.

C is negative
 

Attachments

  • 1592281662039.png
    1592281662039.png
    1 KB · Views: 203
Last edited:
SammyS said:
The expression for angular momentum is incorrect. r should not be squared.
It should be L = mΩr0, where m is the mass of the orbiting body, Ω is the angular velocity for the orbit and of course, r0, is the radius of the circular orbit (unperturbed). I use upper case Ω here, because there is no reason to expect that the angular frequency (angular velocity) of the orbit has the same value as the angular frequency of the harmonic oscillation.

I suggest finding the orbital angular frequency, Ω, or equivalently, the orbital period, T, for the circular orbit. Equate centripetal force and the central force, f, where ##\text{f} = -k ~ {r_0}^n ##.
But this don't even have the units of L :C kg*m²/s
 
SammyS said:
L = mΩr0
That RHS has dimension momentum, not angular momentum.
 
  • Like
Likes   Reactions: SammyS
  • #10
Well, now seems okay my post.
 
  • #11
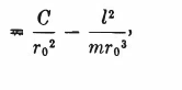
LCSphysicist said:
Seeing this again, i am trying to solve:
I thought that:
F = View attachment 264725
So F = C/(ro + dr)² + l²/m(ro + dr)³
Well, a little of algebra and expansion would lead to:
f = mr'' = C*/ro² - 2*C*L*dr/ro³ + L²/mro³ - L²*3*dr/(m*ro^4)

This is a little ugly.

I assumed n to be minus 2 to facility the problem at first, i think if i understand by this way i can go on.

C is negative
The force you need an expression for is the restoring force. This should be zero when dr is zero.
 
  • Like
Likes   Reactions: LCSphysicist
  • #12
haruspex said:
That RHS has dimension momentum, not angular momentum.
Yes, you are correct.

It should be: L = mΩr02, remembering that Ω is the orbital angular velocity of the initial circular motion, not, ω, the angular frequency of the additional oscillatory which results from the impulse.
 

Similar threads

Replies
16
Views
2K
Replies
25
Views
1K
  • · Replies 30 ·
2
Replies
30
Views
2K
Replies
55
Views
3K
  • · Replies 3 ·
Replies
3
Views
1K
  • · Replies 5 ·
Replies
5
Views
1K
Replies
7
Views
1K
  • · Replies 5 ·
Replies
5
Views
2K
  • · Replies 1 ·
Replies
1
Views
2K
Replies
3
Views
981