Undergraduate physics: Body flows inside liquid [ v(x)=? and V(lim)=? ]

Click For Summary

Homework Help Overview

The discussion revolves around the motion of an object released in a liquid, focusing on the forces acting on it, including gravitational force and drag force described by the equation T=k*v^2. The original poster seeks to determine the velocity as a function of time and the terminal velocity of the object.

Discussion Character

  • Exploratory, Assumption checking, Mathematical reasoning

Approaches and Questions Raised

  • Participants discuss the need to establish the sum of forces acting on the object to derive equations for acceleration, velocity, and position. There are inquiries about the setup of the force balance equation and the integration process involved in solving the ordinary differential equation (ODE).

Discussion Status

Some participants have provided guidance on how to approach the problem by suggesting the formulation of the force balance equation. Others have pointed out potential mistakes in the original poster's calculations and emphasized the importance of considering cases when dealing with absolute values in the equations.

Contextual Notes

The original poster has attached notes and a schematic for reference, indicating that there may be additional context or constraints that are not fully detailed in the discussion. There is also mention of a calculus mistake that the original poster is considering revisiting.

Michael_0039
Messages
59
Reaction score
7
Homework Statement
Object inside liquid
Relevant Equations
T=k*v^2
F=m*a
Homework Statement: Object inside liquid
Homework Equations: T=k*v^2
F=m*a

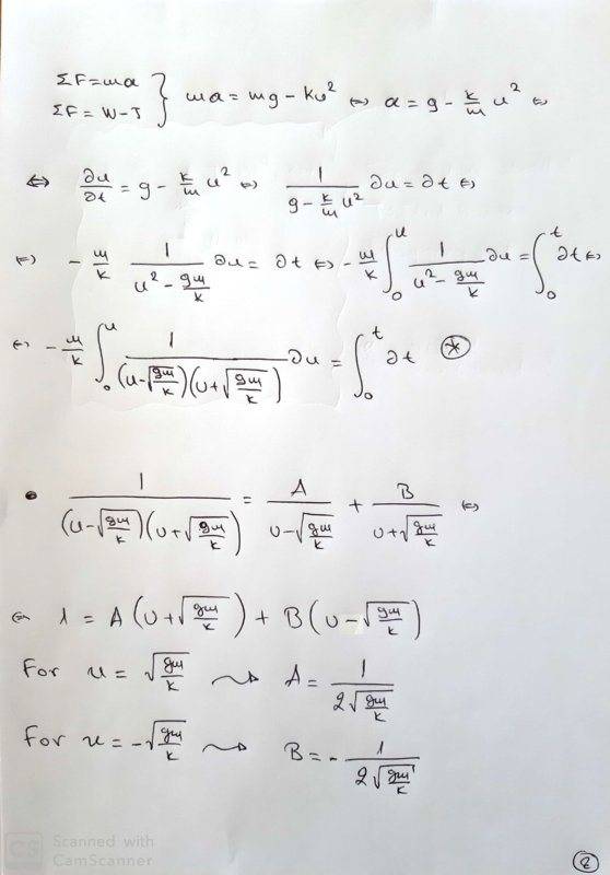
We hold an object with a mass (m) inside a liquid. On t=0 we free the object. Except the weight there is another one force, the friction of the liquid, witch is T=k*v^2 ( v=instant speed, and k=constant > 0). Also, we assume Lift force of liquid = 0. Which is the v(t) and limit speed of the object ? Attachment a pdf with my notes, and a schematic.
 

Attachments

Physics news on Phys.org
Welcome to the PF. :smile:

You started to work on the problem, but didn't get very far. Can you write the sum of the forces on the object? And that will lead you to an equation for the acceleration, which leads you to the velocity and position as functions of time. Please show your work. Thank you.
 
berkeman said:
Welcome to the PF. :smile:

You started to work on the problem, but didn't get very far. Can you write the sum of the forces on the object? And that will lead you to an equation for the acceleration, which leads you to the velocity and position as functions of time. Please show your work. Thank you.
 

Attachments

  • pic1.PNG
    pic1.PNG
    102.7 KB · Views: 383
But that is not showing your work on setting up the force balance equation and finding the acceleration, velocity, and position functions...
 
Thanks for your answer :) !
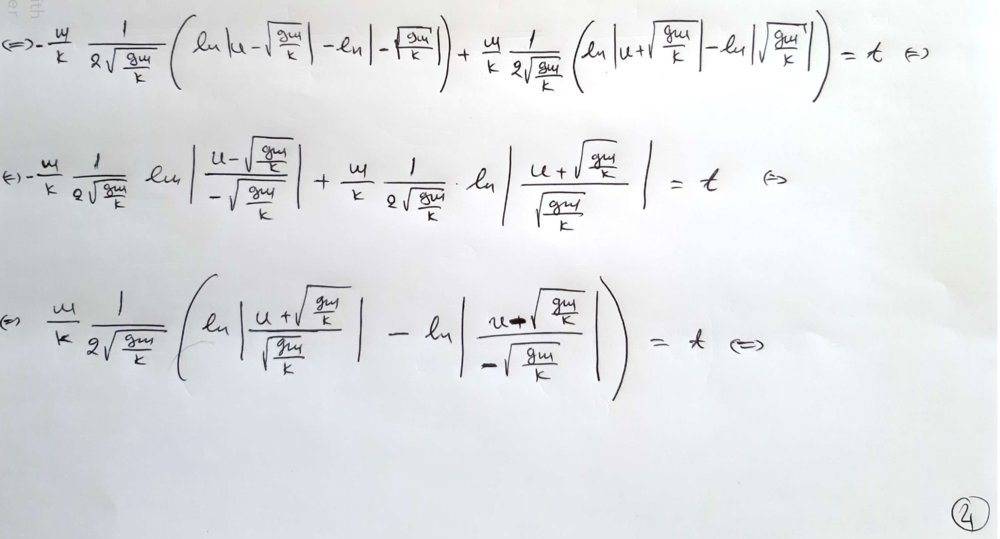
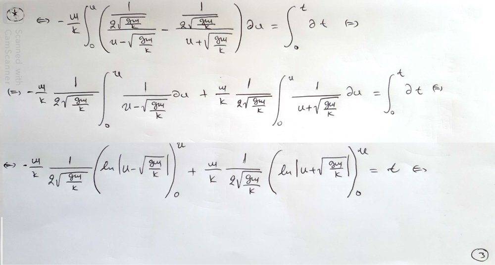
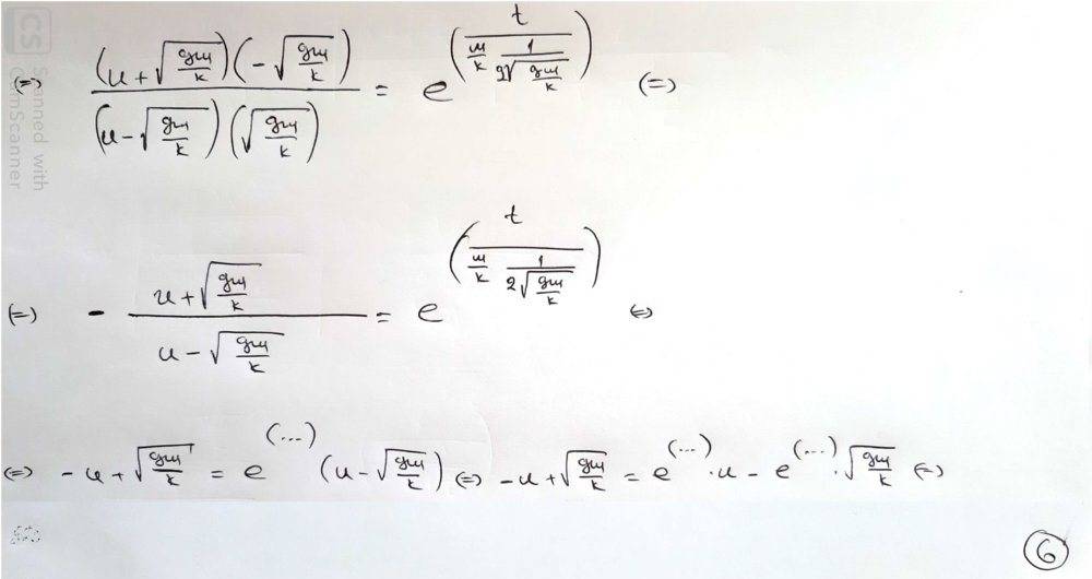
I will look it again, maybe Ι made calculus mistake. Following, is my try but my asnwer in page 7 is not the one I expected.
1.jpg


2.jpg

3.jpg

4.jpg

5.jpg

6.jpg

7.jpg
 
Last edited:
Though your final solution is not wrong because it verifies the ODE you have done some mistakes in the process.
One mistake is that you don't consider the constant of integration. And from page 5 and after you start doing serious algebraical mistakes. The most serious mistake is that you remove the absolute value, WITHOUT FIRST to take cases, regarding the velocity ##u##.
In the following I have put ##\alpha=\sqrt\frac{mg}{k}## (and ##c=(…)##, so continuing from 5 the correct step is
$$\frac{|u+\alpha|}{|u-\alpha|}=e^{ct}$$ (1)

Now consider cases
1) ##\alpha>u>0##
2)##u=\alpha##
3)##u>\alpha##
and remove properly the absolute values in equation (1) in order to continue properly for each case
 
Last edited:
  • Like
Likes   Reactions: Michael_0039

Similar threads

  • · Replies 11 ·
Replies
11
Views
2K
Replies
6
Views
2K
Replies
170
Views
9K
  • · Replies 12 ·
Replies
12
Views
2K
Replies
2
Views
1K
Replies
12
Views
2K
  • · Replies 2 ·
Replies
2
Views
1K
  • · Replies 9 ·
Replies
9
Views
2K
  • · Replies 4 ·
Replies
4
Views
2K
  • · Replies 2 ·
Replies
2
Views
1K