Understanding Angular Momentum and Energy Equations

Click For Summary

Homework Help Overview

The discussion revolves around the differentiation of equations related to angular momentum and energy in the context of polar coordinates. Participants are examining the relationships between these equations and the implications of their derivatives.

Discussion Character

  • Exploratory, Mathematical reasoning, Assumption checking

Approaches and Questions Raised

  • Participants are attempting to differentiate specific equations and are questioning the correctness of their differentiation techniques, particularly regarding the application of the product rule. There is also discussion about assumptions made during the differentiation process, such as neglecting certain terms.

Discussion Status

The conversation is ongoing, with participants providing insights and questioning each other's assumptions. Some have indicated that they have reached a conclusion or solution, while others are still grappling with the implications of their assumptions and the correctness of their approaches.

Contextual Notes

There is mention of specific equations (9.7a and 9.8b) and the need to differentiate them with respect to time. Participants are also considering the implications of assuming certain terms to be zero in their calculations.

LCSphysicist
Messages
644
Reaction score
163
Homework Statement
1. Obtain Eqs.(9.7a and b) by differentiating Eqs.(9.8a and b) with respect to time.
Relevant Equations
Aceleration in a polar coordinates and energy and momentum angular in a central force motion
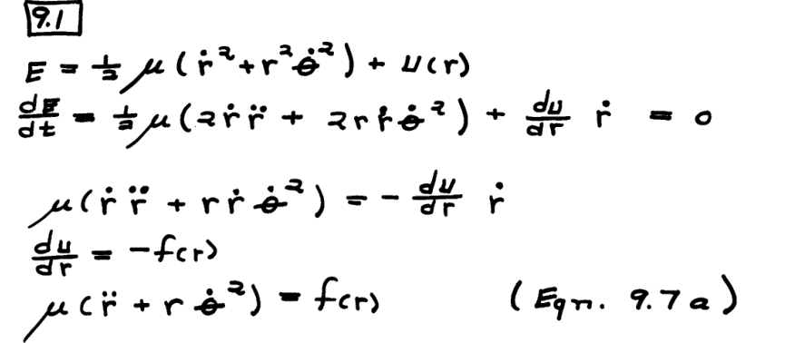
Since the equations are, actually, the question, i will post the image with relevant equations here:

1588729053614.png

it seems strange, I'm almost sure that I didn't make a mistake in the differentiation, but differentiating 9.8b I found 9.7a with both positive terms
 
Physics news on Phys.org
LCSphysicist said:
Homework Statement:: 1. Obtain Eqs.(9.7a and b) by differentiating Eqs.(9.8a and b) with respect to time.
Relevant Equations:: Aceleration in a polar coordinates and energy and momentum angular in a central force motion

Since the equations are, actually, the question, i will post the image with relevant equations here:

View attachment 262151
it seems strange, I'm almost sure that I didn't make a mistake in the differentiation, but differentiating 9.8b I found 9.7a with both positive terms
Did you remember to differentiate ##r^2\dot\theta^2## using the product rule?
 
haruspex said:
Did you remember to differentiate ##r^2\dot\theta^2## using the product rule?
Yes, will post soon.
 
1588731255058.png

[This solution is actually equal to my solution, which is, unfortunately, not equal to equation nine.seven a]

Assuming theta two dots equal zero.
 
LCSphysicist said:
Yes,
No, you didn't.
LCSphysicist said:
Assuming theta two dots equal zero.
Why would you assume that?
 
  • Like
Likes   Reactions: LCSphysicist
haruspex said:
No, you didn't.

Why would you assume that?
I did, just cutted the therm with theta two dots and so don't put in the resolution:

call theta by a
(r²a²')' = 2rr'a²' + 2r²a'a'', if a'' is zero, = 2rr'a²' like the image

But stopping to think now, i really see that [theta]'' is not zero, how to deal with that term?
 
Wow, using L = mw²r i got the answer! thank you
 

Similar threads

Replies
17
Views
2K
  • · Replies 10 ·
Replies
10
Views
3K
Replies
6
Views
2K
Replies
5
Views
3K
  • · Replies 50 ·
2
Replies
50
Views
5K
  • · Replies 4 ·
Replies
4
Views
1K
  • · Replies 5 ·
Replies
5
Views
1K
  • · Replies 45 ·
2
Replies
45
Views
5K
  • · Replies 9 ·
Replies
9
Views
2K
Replies
7
Views
3K