Understanding Equation (2.34) in Heald and Marion: A Step-by-Step Derivation

  • Context: Undergrad 
  • Thread starter Thread starter John Fennie
  • Start date Start date
  • Tags Tags
    Derivation Formula
Click For Summary

Discussion Overview

The discussion revolves around understanding the last step of equation (2.34) in the textbook by Heald and Marion, focusing on the derivation and implications of the equation related to electric potentials and multipole expansions. The scope includes theoretical exploration and mathematical reasoning.

Discussion Character

  • Exploratory
  • Technical explanation
  • Mathematical reasoning

Main Points Raised

  • Some participants request clarification on the last step of equation (2.34), indicating a need for further explanation or context.
  • One participant suggests that the last step involves simple algebra and derivatives, though the specifics remain unclear.
  • Another participant elaborates on the derivation process, mentioning the Taylor series expansion of the electric potential and expressing confusion about the appearance of a factor of 1/6 in the derivation.
  • A participant draws a connection between the equation in question and a similar equation from a recent article, noting potential similarities in the underlying formulas.
  • Another participant explains that the equation represents the quadrupole contribution to the electrostatic potential and discusses the derivation from the Green's function of the Laplace operator, suggesting a connection to multipole moments and spherical harmonics.

Areas of Agreement / Disagreement

Participants express varying levels of understanding and confusion regarding the derivation of equation (2.34). There is no consensus on the specifics of the last step or the factor of 1/6, indicating that multiple competing views and uncertainties remain in the discussion.

Contextual Notes

Some limitations include the lack of access to the relevant page of the textbook, which may hinder a complete understanding of the equation and its derivation. Additionally, the discussion reflects differing interpretations of the mathematical steps involved.

John Fennie
Messages
24
Reaction score
2
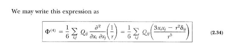
Would someone explain the last step in eq.(2.34) in Heald and Marion?
Much thanks ahead.
 

Attachments

  • Capture1.PNG
    Capture1.PNG
    7.5 KB · Views: 520
Physics news on Phys.org
John Fennie said:
Would someone explain the last step in eq.(2.34) in Heald and Marion?
Much thanks ahead.
You've a far better chance of getting assistance if you upload the relevant page. Not everyone will have that book.
 
  • Like
Likes   Reactions: John Fennie
Well, that's simply working out the derivatives. It's just a bit of algebra!
 
If you're asking about the second equal sign, it's just simple algebra working with derivatives.
If you're asking about the first equal sign, that may be the process of finding the quadrupole component of an electric potential of a multipole.
I do not have the book nor do I have the PDF file, so I'll just explain from scratch.
Well, let us put an infinitesimal charge dq reside on a "source point", located on the position
x = (x1,x2,x3) relative to the origin. (Vector notation in boldface)
Then we can get the exact electric potential at position r as`

φ(r) = 1/4πε0 ∫ [dq/(| r - x |)]

and the infinitesimal charge dq as

dq = ρ(x)dx1'dx2'dx3'

If we perform a Taylor series expansion on the function 1/| r - x | = 1/[(x1 - x1')2+(x2 - x2')2+(x3 - x3')2] about x = 0, the third term after using the summation convention will be the term inside the summation operator multiplied by 1/2. I don't get why suddenly there's a 1/6 in front of the operator, so if you have more parts of the book I suggest you upload it. :)
 
That equation looks a lot like equation (12) from @vanhees71 recent Insights article: https://www.physicsforums.com/insights/homopolar-generator-analytical-example/ I worked through the calculus of that and verified it was correct. It may not be the exact same thing, but I think it is likely the formulas leading up to it are quite similar. It's hard to tell for sure, because the OP is rather incomplete, but they do like quite similar. Also, I'm not sure what the (4) in ## \Phi^{(4)} ## represents.
 
Last edited:
It's the quadrupole contribution to the electrostatic potential (or, if you use a magnetostatic potential in regions of space, where there are no currents the magnetostatic quadrupole contribution to this potential).

In statics it's always derived from the (free) Green's function of the Laplace operator,
$$G(\vec{x},\vec{x}')=\frac{1}{4 \pi |\vec{x}-\vec{x}'|},$$
fulfilling
$$\Delta_x G(\vec{x},\vec{x}')=-\delta^{(3)}(\vec{x}-\vec{x}').$$
You can most easily get the first few multipole moments from assuming ##r=|\vec{x}|\gg r'=|\vec{x}'|## and then doing an expansion in powers of ##r/r'##. Then you get the multipole moments in Cartesian coordinates, but that method becomes quite inconvenient at higher orders, and it is more convenient to use the mutlipole expansion in spherical coordinates, i.e., the representation theory of the rotation group SO(3), leading in a very beautiful way to the spherical harmonics. That's why I believe that didactically it would be much better to teach QM 1 first and then classical electrodynamics, because then you can teach the mathematical methods needed in field theory on hand of the relatively simple Schrödinger equation rather than right away jump into Maxwell theory with it's many vector fields :-).
 
  • Like
Likes   Reactions: AbnormalStudent

Similar threads

  • · Replies 2 ·
Replies
2
Views
2K
  • · Replies 2 ·
Replies
2
Views
3K
  • · Replies 7 ·
Replies
7
Views
4K
Replies
3
Views
4K
  • · Replies 19 ·
Replies
19
Views
2K
Replies
1
Views
2K
  • · Replies 1 ·
Replies
1
Views
3K
  • · Replies 2 ·
Replies
2
Views
2K
  • · Replies 1 ·
Replies
1
Views
2K
  • · Replies 2 ·
Replies
2
Views
1K