Understanding Integration of 1/(x^2 + a^2) and the Role of the Tan Function

Click For Summary

Discussion Overview

The discussion revolves around the integration of the function 1/(x² + a²) and the role of the tangent function in this context. Participants explore the steps involved in the integration process, particularly focusing on the appearance of the factor 1/a and the substitution methods used to simplify the integral.

Discussion Character

  • Exploratory
  • Mathematical reasoning
  • Homework-related

Main Points Raised

  • Some participants express confusion about the integration process, specifically regarding how the factor 1/a is derived and the role of the tangent function.
  • One participant notes that the variable x is a dummy variable in definite integrals, which leads to its disappearance in certain contexts.
  • There is a suggestion to evaluate the indefinite integral ∫(1/(1+x²))dx as a starting point for understanding the integration of 1/(x² + a²).
  • Participants discuss using the substitution x = tan(y) to compute the integral, indicating that this method is effective for transforming the integral into a more manageable form.
  • Another approach mentioned involves the substitution x = a tan(y), which leads to a similar integral form and includes the factor 1/a in the final result.
  • One participant expresses that they have reached a point of understanding but still seeks clarification on how to manipulate the integral into a specific format for further evaluation.

Areas of Agreement / Disagreement

Participants generally agree on the methods of substitution for evaluating the integral, but there remains some confusion and uncertainty regarding the specific transformations and the appearance of the factor 1/a.

Contextual Notes

There are unresolved questions about the assumptions made during the integration process and the specific steps leading to the appearance of the factor 1/a. The discussion does not fully clarify all mathematical steps involved.

lioric
Messages
335
Reaction score
26
image.jpg

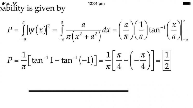
I cannot understand the intergration done here
The part how 1/a came, what happened to the x and how did tan come into this
 
Physics news on Phys.org
lioric said:
View attachment 96316
I cannot understand the intergration done here
The part how 1/a came, what happened to the x and how did tan come into this
The x went away because it is the dummy integration variable in a definite integral.

For starters: do you know how to evaluate the following indefinite integral: ##\int \frac{1}{1+x²}dx##?
 
No
Samy_A said:
The x went away because it is the dummy integration variable in a definite integral.

For starters: do you know how to evaluate the following indefinite integral: ##\int \frac{1}{1+x²}dx##?
 
lioric said:
No
Do you know how to use a substitution in order to compute an integral?
 
Yes
Samy_A said:
Do you know how to use a substitution in order to compute an integral?
 
lioric said:
Yes
Fine. So start with the indefinite integral ##\int \frac{1}{1+x²}dx## and use the substitution ##x=\tan y## to compute it.
 
Samy_A said:
Fine. So start with the indefinite integral ##\int \frac{1}{1+x²}dx## and use the substitution ##x=\tan y## to compute it.
Thank you very much
 
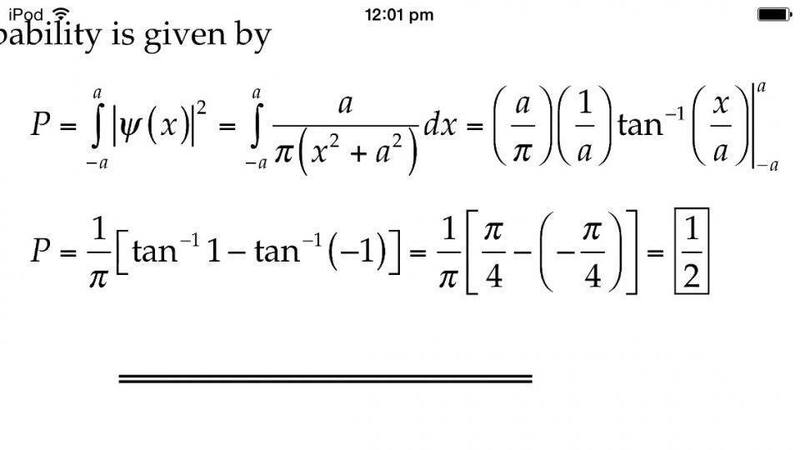
image.jpg

This was as far as I could go
I'm wondering how that 1/a came and how to make this into a 1/x^2+1 formate so I can input tan
Please help
 
lioric said:
View attachment 96332
This was as far as I could go
I'm wondering how that 1/a came and how to make this into a 1/x^2+1 formate so I can input tan
Please help
You can do it in two (very similar) ways.
I assume that you found the indefinite integral ##\int \frac{1}{1+x²}dx##.
To calculate the indefinite integral ##\int \frac{1}{a²+x²}dx##, you could:
1) use the substitution ##x=a \tan y## and solve the same way as you did for ##\int \frac{1}{1+x²}dx##;
2) use the substitution ##x=ay##, which gives ##\int \frac{1}{a²+x²}dx =\int \frac{1}{a²+a²y²} ady =\frac{1}{a} \int \frac{1}{1+y²} dy##, the indefinite integral you already solved (up to a constant 1/a).

Just to be clear, all my integrals here are indefinite integrals. When you calculate your definite integral, watch the integration limits when you perform a substitution.
 
  • #10
I finally figured it out
image.jpg

It can be taken like this
It's sort of like the perfect square rule this once I put it to this formate it's done
Thank you very much
 

Similar threads

  • · Replies 3 ·
Replies
3
Views
3K
  • · Replies 20 ·
Replies
20
Views
4K
  • · Replies 6 ·
Replies
6
Views
2K
  • · Replies 5 ·
Replies
5
Views
2K
  • · Replies 8 ·
Replies
8
Views
3K
  • · Replies 8 ·
Replies
8
Views
4K
  • · Replies 6 ·
Replies
6
Views
3K
  • · Replies 14 ·
Replies
14
Views
4K
  • · Replies 4 ·
Replies
4
Views
3K
  • · Replies 27 ·
Replies
27
Views
3K