Understanding Lorentz Factor & Proper Time Invariance

Click For Summary

Discussion Overview

The discussion revolves around the concepts of the Lorentz factor, proper time, and their invariance in the context of special relativity. Participants explore the implications of proper time being invariant while also being dependent on relative velocity, leading to confusion and clarification about the definitions and relationships between proper time and time dilation.

Discussion Character

  • Exploratory
  • Technical explanation
  • Debate/contested
  • Conceptual clarification

Main Points Raised

  • Some participants express confusion regarding the Lorentz transformation for proper time and its invariance, questioning how proper time can be invariant if it depends on relative velocity (v).
  • Others argue that proper time is defined as the time measured by a clock along its worldline and is invariant, while coordinate time is not.
  • A participant notes that the presence of v in the transformation is necessary to maintain the invariance of the expression.
  • There is a discussion about the relationship between proper time and time dilation, with some clarifying that proper time is invariant while time dilation varies between reference frames.
  • Participants discuss the distinction between proper time and time dilation, emphasizing that proper time is the length of the spacetime interval, which is frame invariant.
  • One participant seeks clarification on the representation of a worldline graph, questioning whether it is from the perspective of a moving observer or a stationary one.

Areas of Agreement / Disagreement

Participants generally agree that proper time is invariant and distinct from time dilation, but there remains some confusion and disagreement about the implications and interpretations of these concepts, particularly regarding the Lorentz transformation and the nature of reference frames.

Contextual Notes

Some statements rely on specific definitions of proper time and time dilation, which may not be universally agreed upon. The discussion also highlights the complexity of understanding these concepts within the framework of special relativity.

e2m2a
Messages
354
Reaction score
13
This is still a confusing concept for me. The Lorentz transformation for proper time is expressed as tau = (1-v sq/c sq)^1/2 x coordinate time. Now we are told that tau is an invariant quantity with respect to all moving reference frames. So how can tau be invariant if its value depends on v in the above transformation equation? Seems like a contradiction.
 
Physics news on Phys.org
e2m2a said:
This is still a confusing concept for me. The Lorentz transformation for proper time is expressed as tau = (1-v sq/c sq)^1/2 x coordinate time. Now we are told that tau is an invariant quantity with respect to all moving reference frames. So how can tau be invariant if its value depends on v in the above transformation equation? Seems like a contradiction.
There is no Lorentz Transformation of proper time. Proper time is an invariant (if defined as the time measured by a clock along its worldline.)
 
  • Like
Likes   Reactions: vanhees71 and PeterDonis
Apart from what @PeroK said, the v must be there precisely to make the expression invariant because coordinate time is not.
 
  • Like
Likes   Reactions: vanhees71
e2m2a said:
This is still a confusing concept for me. The Lorentz transformation for proper time is expressed as tau = (1-v sq/c sq)^1/2 x coordinate time. Now we are told that tau is an invariant quantity with respect to all moving reference frames. So how can tau be invariant if its value depends on v in the above transformation equation? Seems like a contradiction.

Invariant is the spacetime interval between 2 events (for example clock ticks):
##\Delta s = \sqrt{\left | c^2 \Delta t^2 - \Delta x^2 - \Delta y^2 - \Delta z^2 \right |} = \sqrt{\left | c^2 \Delta t'^2 - \Delta x'^2 - \Delta y'^2 - \Delta z'^2 \right |}##

If the clock is at rest in the primed frame, then
##\Delta x'^2 = \Delta y'^2 = \Delta z'^2 =0##

Under this condition and at timelike spacetime distance ##t' = \tau##:
##\Delta s = \sqrt{ c^2 \Delta t^2 - (\Delta x^2 + \Delta y^2 + \Delta z^2 )} = c \Delta \tau ##

##\Delta \tau / \Delta t = \sqrt{1 - v^2/c^2}##
 
  • Like
Likes   Reactions: Imager, Dale and vanhees71
PeroK said:
There is no Lorentz Transformation of proper time. Proper time is an invariant (if defined as the time measured by a clock along its worldline.)
1645554484860.png
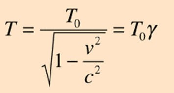
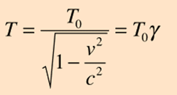
Okay, this is the Lorentz transformation equation taken from the hyperphysics website. Is Tsub0 proper time in this equation?
 
e2m2a said:
this is the Lorentz transformation eqution
No, it's not. The Lorentz transformation equation for ##t## includes a term in ##x##.

e2m2a said:
taken from the hyperphysics website.
Please give a link. I suspect you are misinterpreting what the article is saying.
 
  • Like
Likes   Reactions: vanhees71
Okay, so this is the source of my confusion. Then please explain what is Tsub0 representing?
 
e2m2a said:
Then please explain what is Tsub0 representing?
I have no idea since I can't read the article you are referencing because you have not provided a link to it. Please do so.
 
  • #10
e2m2a said:
Ok. This is describing time dilation. The equation you posted is a relationship between the coordinate time elapsed in the primed frame (in which the object whose time dilation is being assessed is at rest), denoted by ##T_0##, and coordinate time elapsed in the unprimed frame (in which some observer is assessing the time dilation of the object), denoted by ##T##. The equation is derived from the Lorentz transformation, but it is not itself a Lorentz transformation equation for anything.

Since the object whose time dilation is being assessed is at rest in the primed frame, the elapsed coordinate time in that frame, ##T_0##, will also be the elapsed proper time for the object. But the elapsed proper time does not transform between frames; it's an invariant.
 
  • Like
Likes   Reactions: vanhees71
  • #11
e2m2a said:
##\tau_0## here is the lifetime of a particle in its own rest frame. The invariant quantity is how long it lives, as measured in its own rest frame. Its lifetime is longer when measured in a frame where it is moving - denoted by ##\tau##. This is not to be confused with proper time.
 
  • Like
Likes   Reactions: vanhees71
  • #12
PeterDonis said:
Ok. This is describing time dilation. The equation you posted is a relationship between the coordinate time elapsed in the primed frame (in which the object whose time dilation is being assessed is at rest), denoted by ##T_0##, and coordinate time elapsed in the unprimed frame (in which some observer is assessing the time dilation of the object), denoted by ##T##. The equation is derived from the Lorentz transformation, but it is not itself a Lorentz transformation equation for anything.

Since the object whose time dilation is being assessed is at rest in the primed frame, the elapsed coordinate time in that frame, ##T_0##, will also be the elapsed proper time for the object. But the elapsed proper time does not transform between frames; it's an invariant.
So I must look deeper into this. Proper time and time dilation are two different concepts . They are not talking about the same thing. It can get confusing. So time dilation is not frame invariant but proper time is. Correct?
 
  • #13
e2m2a said:
So time dilation is not frame invariant but proper time is. Correct?
Frame invariance refers to measured quantities that are the same in every frame. The most important example is the length of a spacetime interval between two events is frame invariant. This implies that proper time of a particle is frame invariant.

Time dilation refers to the relationship between coordinate time in a reference frame and the time measured by a moving clock (proper time of that clock). This varies between reference frames, because the speed of the clock varies between reference frames. For example, in a frame where a clock is at rest, there is no time dilation; but, in a frame where the clock is moving it is measured to be time dilated.

Note that it's not correct to say that the proper time is dilated, because proper time is the length of the spacetime interval, which is frame invariant.

That is, perhaps, a subtle point.
 
  • Like
Likes   Reactions: vanhees71
  • #14
e2m2a said:
Proper time and time dilation are two different concepts .
Correct.

e2m2a said:
So time dilation is not frame invariant but proper time is. Correct?
Yes. Different observers for which an object is moving at different relative speeds will see different time dilations for the same object. But the object's proper time is invariant.
 
  • Like
Likes   Reactions: cianfa72, vanhees71 and PeroK
  • #15
PeroK said:
Frame invariance refers to measured quantities that are the same in every frame. The most important example is the length of a spacetime interval between two events is frame invariant. This implies that proper time of a particle is frame invariant.

Time dilation refers to the relationship between coordinate time in a reference frame and the time measured by a moving clock (proper time of that clock). This varies between reference frames, because the speed of the clock varies between reference frames. For example, in a frame where a clock is at rest, there is no time dilation; but, in a frame where the clock is moving it is measured to be time dilated.

Note that it's not correct to say that the proper time is dilated, because proper time is the length of the spacetime interval, which is frame invariant.

That is, perhaps, a subtle point.
Yes, that helps clear it up. But one other thing has been bothering me. This graph of the worldline below. Is this a graph from the point of view of the observer in the moving frame or is this the graph from the point of view of an observer not in the moving frame?
1645558752708.png
 
  • #16
e2m2a said:
Yes, that helps clear it up. But one other thing has been bothering me. This graph of the worldline below. Is this a graph from the point of view of the observer in the moving frame or is this the graph from the point of view of an observer not in the moving frame? View attachment 297468
There's no such thing as a "moving" frame and a "not moving" frame. Frames are either inertial or not inertial. In this case, that's a frame in which the particle is moving.

There will also be a frame where the particle is at rest (although in this case that might not be an inertial frame).
 
  • Like
Likes   Reactions: vanhees71
  • #17
e2m2a said:
This graph of the worldline below.
How did you produce this graph?
 
  • #18
e2m2a said:
Yes, that helps clear it up. But one other thing has been bothering me. This graph of the worldline below. Is this a graph from the point of view of the observer in the moving frame or is this the graph from the point of view of an observer not in the moving frame? View attachment 297468

This diagram might create the wrong impression, that ##\tau > t##, but it is always ##\tau <= t##, see comment #4. Spacetime geometry is not Euclidean. See the reversed triangle inequality in Minkowski geometry:

https://en.wikipedia.org/wiki/Minkowski_space#The_reversed_triangle_inequality
 
  • Like
Likes   Reactions: vanhees71 and PeroK
  • #20
Sagittarius A-Star said:
This diagram might create the wrong impression, that ##\tau > t##, but it is always ##\tau <= t##, see comment #4. Spacetime geometry is not Euclidean. See the reversed triangle inequality in Minkowski geometry:

https://en.wikipedia.org/wiki/Minkowski_space#The_reversed_triangle_inequality
I agree. I wish whoever makes graphs like this makes sure they are more precise in getting the correct ideas of relativity across. Adds to the confusion.
 
  • #21
e2m2a said:
Yes, that helps clear it up. But one other thing has been bothering me. This graph of the worldline below. Is this a graph from the point of view of the observer in the moving frame or is this the graph from the point of view of an observer not in the moving frame? View attachment 297468
From the page with that diagram:

The dark blue vertical line represents an inertial observer measuring a coordinate time interval t between events E1 and E2. The red curve represents a clock measuring its proper time interval τ between the same two events.
 
  • Like
Likes   Reactions: Motore and vanhees71
  • #22
e2m2a said:
I agree. I wish whoever makes graphs like this makes sure they are more precise in getting the correct ideas of relativity across. Adds to the confusion.
You cannot draw a graph that is faithful to distances in Minkowski space on a paper with a Euclidean metric. It is simply not possible because the metrics are fundamentally different. It is simply not something a person making the graphs can do. It is up to the person writing the surrounding text and you as a reader to make sure the message gets across properly.
 
  • Like
Likes   Reactions: Dale, vanhees71 and DrGreg
  • #23
e2m2a said:
I wish whoever makes graphs like this makes sure they are more precise in getting the correct ideas of relativity across. Adds to the confusion.
It's unreasonable to expect to fully understand a picture you've found on Google unless you have visited the web page it came from and read the text that goes with it.

The extract that appears on Google has been chosen by A.I., not a human being, so might not be an adequate explanation of the picture.
 
  • Like
Likes   Reactions: vanhees71
  • #24
Orodruin said:
e2m2a said:
I agree. I wish whoever makes graphs like this makes sure they are more precise in getting the correct ideas of relativity across. Adds to the confusion.
You cannot draw a graph that is faithful to distances in Minkowski space on a paper with a Euclidean metric. It is simply not possible because the metrics are fundamentally different. It is simply not something a person making the graphs can do. It is up to the person writing the surrounding text and you as a reader to make sure the message gets across properly.

As @Orodruin essentially says,
one can't measure elapsed time along a worldline on a Minkowski diagram (a position-vs-time graph) with a standard [Euclidean] ruler.
[In fact, you can't use a standard ruler to measure elapsed time along a worldline on a PHY-101 position-vs-time graph.]


Instead of the ruler's tickmarks, we need something else---
like the tickmarks determined by the light-signals in a ticking light-clock:
1645570580059.png

(the light-clock diamonds have equal area).
I got this diagram from my https://www.geogebra.org/m/HYD7hB9v#material/VrQgQq9R
For more information, see my PF Insights (link in my sig).By the way,
by writing [tex]T=T_0 \gamma[/tex]
as [tex]T=T_0 \cosh\theta[/tex]
where ##\theta## is the Minkowski-angle (called the rapidity) so ##v=c\tanh\theta##,
we can more easily see the Euclidean analogue
is
[tex]T=T_0 \cos\phi,[/tex]
where ##T_0## is the hypotenuse of a right-triangle and
##T## is the component adjacent to ##\phi##
using axes parallel to ##\hat T## and perpendicular to ##\hat T##.
Note that
[tex]T_0=\frac{T}{\cos\phi}=T\sqrt{1+m^2},[/tex]
where ##m=\tan\phi## is the relative-slope.
Both ##T## and ##\sqrt{1+m^2}## depend on the choice of axes (used to break ##\vec T_0## into components), however, this product is an "invariant", independent of that choice of axes.
So, similarly, in the first post,
[tex]T_0=\frac{T}{\cosh\theta}=T\sqrt{1-(v/c)^2}[/tex]
is an "invariant", independent of that choice of inertial observer.
 
Last edited:
  • Like
Likes   Reactions: vanhees71
  • #25
e2m2a said:
View attachment 297465 Okay, this is the Lorentz transformation equation taken from the hyperphysics website. Is Tsub0 proper time in this equation?
That is not a Lorentz transformation, it is the time dilation formula. It describes the relationship between two unrelated proper times between two physically unrelated pairs of events.
 
  • Like
Likes   Reactions: vanhees71
  • #26
That's the usual problem with Minkowski diagrams. Students often don't understand that they must read it completely different than from we are all used to since elementary school, being taught Euclidean geometry on a plane. While in the Euclidean geometry you have a positive definite fundamental form and circles to construct lines of constant distance from a point, that's not the case for the Minkowski fundamental form, which has a signature (1,-1) in the planar Minkowski diagrams we draw as an attempt to graphically illustrate the algebra of this fundamental form and the isomorphisms wrt. this form, which are the Lorentz transformations (or rather the Poincare transformations for the Minkowski plane as an affine manifold). The lines of "constant distance from a point" are hyperbola rather than circles, and that makes a great difference. To read the Minkowski diagram of two inertial frames, where one moves with velocity ##v## against the other, you have to construct the units on the axes of one of the frames from those arbitrarily chosen of the other by drawing the corresponding unit hyperbolae in contradistinction to the Euclidean affine plane, where you construct them with circles. Thus reading the units of the two frames in the Minowski plane in terms of the Euclidean definition makes them look as being of different length although in fact they are not, because you have to read the Minkowski plane as a Minkowski and not a Euclidean plane.
 
  • Like
Likes   Reactions: cianfa72 and Dale
  • #27
vanhees71 said:
That's the usual problem with Minkowski diagrams. Students often don't understand that they must read it completely different than from we are all used to since elementary school, being taught Euclidean geometry on a plane.
...
Thus reading the units of the two frames in the Minowski plane in terms of the Euclidean definition makes them look as being of different length although in fact they are not, because you have to read the Minkowski plane as a Minkowski and not a Euclidean plane.
And practically everything you have said here applies to the PHY-101 position-vs-time graph,
except that its "circle" is different.

In the diagram provided by the OP in #15, in Galilean relativity, the two arcs have the same elapsed wristwatch time...the same arc-length in the appropriate geometry (https://books.google.com/books?id=AC1OCgAAQBAJ&pg=PA226&dq=geroch+galilean+viewpoint , https://www.amazon.com/dp/0387903321/?tag=pfamazon01-20 , https://www.amazon.com/dp/3642172857/?tag=pfamazon01-20, http://trautman.fuw.edu.pl/publications/Papers-in-pdf/22.pdf , https://arxiv.org/abs/0908.2832 , or whatever people want to call the constructions) for the PHY-101 diagram.

But once the circle is established, many constructions follow in analogy... for example, "orthogonality to a radius" by "tangent to a circle"... then "angles" by [spacelike-arc-length along the unit circle] or areas of sectors in a unit circle.

That's why I advocate learning about the PHY101-position-vs-diagram from this non-Euclidean viewpoint, connecting kinematics and affine geometry with a one-parameter family of quadratic-forms, as a steppingstone from the Euclidean plane to the Minkowski diagram... made more concrete in my spacetime diagrammer (time-rightward) https://www.desmos.com/calculator/awgqxtkqcc and (time-upward) https://www.desmos.com/calculator/emqe6uyzha .
 
Last edited:
  • Like
Likes   Reactions: Dale
  • #28
In Newtonian physics the corresponding spacetime plane is also not a Euclidean plane of course. Here the construction looks as follows:

galilei-diagram.png

Unfortunately I've drawn it with the time axis to the right and the spatial axis up instead of the usual convention for the Minkowski plane. This diagram, however, doesn't help anybody to understand Newtonian boost symmetry and thus nobody uses it. Perhaps it would also be better, not to introduce Minkowski diagrams in teaching SR. As I said somewhere else in these forums, I'm always somewhat in doubt, whether Minkowski diagrams really help.
 
  • #29
vanhees71 said:
Perhaps it would also be better, not to introduce Minkowski diagrams in teaching SR. As I said somewhere else in these forums, I'm always somewhat in doubt, whether Minkowski diagrams really help.
I do think they help, but only if they are introduced properly and carefully.
 
  • Like
Likes   Reactions: Motore and robphy
  • #30
vanhees71 said:
In Newtonian physics the corresponding spacetime plane is also not a Euclidean plane of course. Here the construction looks as follows:

View attachment 297515

Unfortunately I've drawn it with the time axis to the right and the spatial axis up instead of the usual convention for the Minkowski plane. This diagram, however, doesn't help anybody to understand Newtonian boost symmetry and thus nobody uses it. Perhaps it would also be better, not to introduce Minkowski diagrams in teaching SR. As I said somewhere else in these forums, I'm always somewhat in doubt, whether Minkowski diagrams really help.
For novices, I think drawing the t-axis to the right (like in PHY 101) is the better approach than using the usual SR-convention right away. In addition, the connection with Euclidean geometry is easier since we can talk about angles-with-respect-to-the-x-axis and define slope with the usual "rise over run".

After getting comfortable with the geometric and trigonometric analogies and their physical interpretations, then switch to the SR-convention.Note that your dashed-line is the Galilean unit-circle.
Tangents to this circle are "spacelike" because this tangency defines orthogonal to "timelike" worldlines.

Furthermore, note that your dashed line is parallel to the eigenvector of the Newtonian boost.
Physically, this implies "absolute simultaneity" (if P and Q are simultaneous according to Alice, then they are simultaneous according to Bob in the Galilean spacetime model)
and
that (since its eigenvalue equals 1) "lengths of segments along the x-axis" ("absolute lengths of purely spatial displacements") are unchanged by the boost.
I would argue that it's more likely that:
recognizing the Newtonian boost symmetry from this diagram is "unfamiliar".As Geroch (in his General Relativity from A to B) describes it (using the time-upwards convention)
from the chapter called "The Galilean View" on page 42.
1645639719121.png
and later on pg.47
1645640845882.png
and concluding on pg. 52
The Galilean view, although it takes a little getting used to,
is really a simple and remarkably natural attitude about how
space and time operate. It would be easy to be lulled into the
position that it represents the only reasonable attitude one could take.
 
Last edited:
  • Like
Likes   Reactions: vanhees71

Similar threads

  • · Replies 31 ·
2
Replies
31
Views
4K
Replies
3
Views
2K
  • · Replies 20 ·
Replies
20
Views
3K
  • · Replies 9 ·
Replies
9
Views
3K
  • · Replies 11 ·
Replies
11
Views
2K
  • · Replies 101 ·
4
Replies
101
Views
8K
  • · Replies 7 ·
Replies
7
Views
2K
  • · Replies 21 ·
Replies
21
Views
2K
  • · Replies 47 ·
2
Replies
47
Views
4K
  • · Replies 26 ·
Replies
26
Views
3K