Volume of a rectangle through a sphere

Click For Summary

Homework Help Overview

The problem involves calculating the volume of a square hole cut through the center of a sphere, specifically a sphere with a radius of 2 and a square hole with sides of length 2. The original poster expresses uncertainty about how to set up the problem, suggesting the use of a double integral to find the volume removed.

Discussion Character

  • Exploratory, Assumption checking, Mathematical reasoning

Approaches and Questions Raised

  • Participants discuss the setup of the problem, including the expression of the sphere and the integration bounds. There are questions about the interpretation of the hole's dimensions and whether the integration limits are appropriate for a square hole. Some suggest calculating the volume of the rectangular solid first and then addressing the caps removed from the sphere.

Discussion Status

The discussion is ongoing, with participants providing various insights and suggestions for approaching the problem. There is no explicit consensus, but some guidance has been offered regarding the integration process and the importance of visualizing the problem.

Contextual Notes

Participants note potential confusion regarding the dimensions of the hole and the integration limits. There is an emphasis on understanding the geometric implications of the problem, and some participants suggest that drawing the scenario may aid in comprehension.

Locoism
Messages
77
Reaction score
0

Homework Statement



Homework Statement


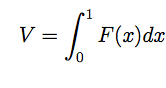
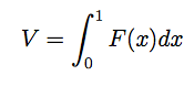
Suppose that a square hole with sides of length 2 is cut symmetrically through
the center of a sphere of radius 2. Show that the volume removed is given by
Screen_Shot_2011_11_13_at_11_12_35_PM.png

where
Screen_Shot_2011_11_13_at_11_12_49_PM.png



I'm not sure how to approach this, but I figure you can express the sphere in terms of f(x,y,z) = [itex]x^2+y^2+z^2=4[/itex]
then I express z in terms of x and y
[itex]\sqrt{4-y^2-x^2}[/itex]

But now I'm guessing I need to set up a double integral. Looking at bounds, -2<x<2 and -1<y<1,

[itex]\int_{-2}^{2}\int_{-1}^{1}y\sqrt{4-x^2-y^2}dydx[/itex]

Is this the right way to go?
How then would I show it is given by the above integral?
 
Physics news on Phys.org
You are thinking about the hole going parallel to the z axis, right? Did you mean the integrand to be 2*sqrt(4-x^2-y^2)? And why should the x limits be different from the y limits if you want to cut out a square hole? The original question is a little confusing. You could just put F(x)=V. But I suspect they just want you do the dy integration and then use symmetry.
 
Locoism said:

Homework Statement



Homework Statement


Suppose that a square hole with sides of length 2 is cut symmetrically through
the center of a sphere of radius 2.
When you say "sides of length 2" do you mean the length of the hole through sphere or do you mean the lengtth of the edges where the hole comes out of the sphere?

In either case, I would calculate, first, the volume of the rectangular solid making up the hole. You don't need Calculus for that. Then I would calculate the volume of the two "caps" that are cut from the sphere. That will require a double integral.

Show that the volume removed is given by
Screen_Shot_2011_11_13_at_11_12_35_PM.png

where
Screen_Shot_2011_11_13_at_11_12_49_PM.png



I'm not sure how to approach this, but I figure you can express the sphere in terms of f(x,y,z) = [itex]x^2+y^2+z^2=4[/itex]
then I express z in terms of x and y
[itex]\sqrt{4-y^2-x^2}[/itex]

But now I'm guessing I need to set up a double integral. Looking at bounds, -2<x<2 and -1<y<1,

[itex]\int_{-2}^{2}\int_{-1}^{1}y\sqrt{4-x^2-y^2}dydx[/itex]

Is this the right way to go?
How then would I show it is given by the above integral?
If the hole is of length 2, then the edges
 
Locoism said:
How then would I show it is given by the above integral?


Show, yeah, that's right. Now you livin' in the big house:

[tex]\text{myblackarea(x)}=\int_{-1}^{1} 2\sqrt{4-x^2-y^2}dy[/tex]

[tex]\text{myvolume}=\int_{0}^{1} \text{2 myblackarea(x)}dx[/tex]

And if you take the time to learn how to do this, you'll never have a problem with these integrals ever again. My point is, the act of creating the plot, cultivates an intutitive understanding of the underlying mathematics. So tell your teacher I said ask everyone in class to draw this picture even if it takes them 6 hours to figure out how.
 

Attachments

  • my dA integral.jpg
    my dA integral.jpg
    14 KB · Views: 618
Last edited:

Similar threads

  • · Replies 2 ·
Replies
2
Views
2K
Replies
4
Views
3K
  • · Replies 14 ·
Replies
14
Views
2K
  • · Replies 14 ·
Replies
14
Views
2K
Replies
9
Views
3K
  • · Replies 9 ·
Replies
9
Views
3K
  • · Replies 6 ·
Replies
6
Views
2K
Replies
3
Views
2K
  • · Replies 10 ·
Replies
10
Views
2K
  • · Replies 16 ·
Replies
16
Views
6K