Volume w/ Double Integrals: What Am I Doing Wrong?

  • Context: MHB 
  • Thread starter Thread starter Pull and Twist
  • Start date Start date
  • Tags Tags
    Integrals Volume
Click For Summary
SUMMARY

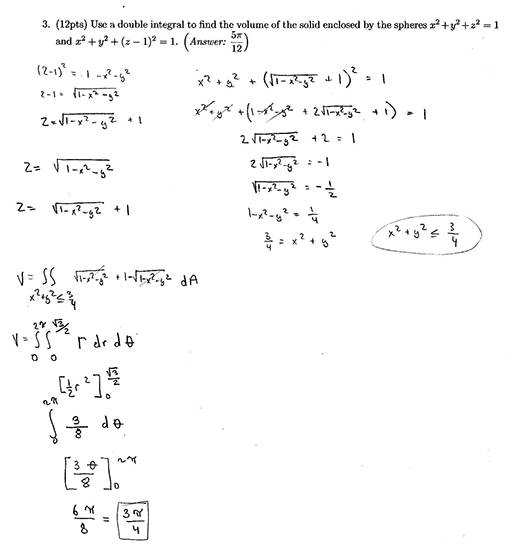
The volume of the region D bounded above by the function \( z = f_1(x, y) = \sqrt{1 - x^2 - y^2} \) and below by \( z = f_2(x, y) = 1 - \sqrt{1 - x^2 - y^2} \) is calculated using the double integral \( V = \int{\int_D{[f_1(x, y) - f_2(x, y)]\,\mathrm{d}V}} \). The correct volume is determined to be \( \frac{5\pi}{12} \) after properly setting up the integration limits and ensuring the functions are subtracted rather than added. The intersection of the two spheres occurs at \( z = \frac{1}{2} \) with a radius of \( \frac{\sqrt{3}}{2} \) centered at \( (0,0) \).

PREREQUISITES
  • Understanding of double integrals in multivariable calculus
  • Familiarity with spherical coordinates
  • Knowledge of integration techniques, including substitution
  • Ability to analyze functions and their intersections in three-dimensional space
NEXT STEPS
  • Study the application of double integrals in calculating volumes of solids
  • Learn about spherical coordinates and their use in integration
  • Explore advanced integration techniques, particularly substitution methods
  • Investigate common mistakes in setting up integrals for volume calculations
USEFUL FOR

Students and educators in calculus, mathematicians focusing on multivariable calculus, and anyone involved in geometric analysis or volume calculations in three-dimensional space.

Pull and Twist
Messages
48
Reaction score
0
I'm not getting the right answer... why?

View attachment 4409
 

Attachments

  • Scan3.jpg
    Scan3.jpg
    21.1 KB · Views: 127
Physics news on Phys.org
PullandTwist said:
I'm not getting the right answer... why?

To find the volume of a region D bounded above by $\displaystyle \begin{align*} z = f_1 \left( x, y \right) \end{align*}$ and below by $\displaystyle \begin{align*} z = f_2 \left( x, y \right) \end{align*}$, you need to do

$\displaystyle \begin{align*} V = \int{\int_D{\left[ f_1 \left( x, y \right) - f_2 \left( x, y \right) \right]\,\mathrm{d}V}} \end{align*}$

Here $\displaystyle \begin{align*} f_1 \left( x, y \right) = \sqrt{1 - x^2 - y^2} \end{align*}$ and $\displaystyle \begin{align*} f_2 \left( x, y \right) = 1 - \sqrt{1 - x^2 - y^2} \end{align*}$. You have correctly established that the intersection of the two spheres is the circle at $\displaystyle \begin{align*}z = \frac{1}{2} \end{align*}$ of radius $\displaystyle \begin{align*} \frac{\sqrt{3}}{2} \end{align*}$ centred at $\displaystyle \begin{align*} (x,y) = (0,0) \end{align*}$, and since each cross section is a full circle, that means $\displaystyle \begin{align*} 0 \leq r \leq \frac{\sqrt{3}}{2} \end{align*}$ and $\displaystyle \begin{align*} 0 \leq \theta \leq 2\pi \end{align*}$. So your volume is calculated by

$\displaystyle \begin{align*} \int{\int_D{ \left[ \sqrt{1 - x^2 - y^2} - \left( 1 - \sqrt{1 - x^2 - y^2} \right) \right]\,\mathrm{d}V }} &= \int_0^{2\pi}{\int_0^{\frac{\sqrt{3}}{2}}{ \left[ \sqrt{1 - r^2} - \left( 1 - \sqrt{1 - r^2} \right) \right] \, r\, \mathrm{d}r }\,\mathrm{d}\theta} \\ &= \int_0^{2\pi}{\int_0^{\frac{\sqrt{3}}{2}}{\left( 2\,\sqrt{1 - r^2} - 1 \right) \, r \, \mathrm{d}r }\,\mathrm{d}\theta} \\ &= \int_0^{2\pi}{ -\frac{1}{2} \int_0^{\frac{\sqrt{3}}{2}}{ \left( 2\,\sqrt{1 - r^2} - 1 \right) \left( -2r \right) \,\mathrm{d}r } \,\mathrm{d}\theta } \end{align*}$

Now let $\displaystyle \begin{align*} u = 1 - r^2 \implies \mathrm{d}u = -2r \,\mathrm{d}r \end{align*}$ and note that $\displaystyle \begin{align*} u(0) = 1 \end{align*}$ and $\displaystyle \begin{align*} u \left( \frac{\sqrt{3}}{2} \right) = \frac{1}{4} \end{align*}$, the integral becomes

$\displaystyle \begin{align*} \int_0^{2\pi}{-\frac{1}{2} \int_0^{\frac{\sqrt{3}}{2}}{ \left( 2\,\sqrt{1 - r^2} - 1 \right) \left( -2r \right) \,\mathrm{d}r }\,\mathrm{d}\theta} &= \int_0^{2\pi}{-\frac{1}{2}\int_1^{\frac{1}{4}}{ \left( 2\,\sqrt{u} - 1 \right) \, \mathrm{d}u }\,\mathrm{d}\theta} \\ &= \int_0^{2\pi}{ \frac{1}{2} \int_{\frac{1}{4}}^1{ \left( 2u^{\frac{1}{2}} - 1 \right) \,\mathrm{d}u } \,\mathrm{d}\theta } \\ &= \int_0^{2\pi}{\int_{\frac{1}{4}}^1{ \left( u^{\frac{1}{2}} - \frac{1}{2} \right) \,\mathrm{d}u }\,\mathrm{d}\theta} \\ &= \int_0^{2\pi}{\left[ \frac{2}{3}u^{\frac{3}{2}} - \frac{1}{2}u \right] _{\frac{1}{4}}^1\,\mathrm{d}\theta} \\ &= \int_0^{2\pi}{\left[ \frac{2}{3} \left( 1 \right) ^{\frac{3}{2}} - \frac{1}{2} \left( 1 \right) \right] - \left[ \frac{2}{3} \left( \frac{1}{4} \right) ^{\frac{3}{2}} - \frac{1}{2} \left( \frac{1}{4} \right) \right] \,\mathrm{d}\theta} \\ &= \int_0^{2\pi}{\left( \frac{2}{3} - \frac{1}{2} \right) - \left( \frac{1}{12} - \frac{1}{8} \right) \,\mathrm{d}\theta} \\ &= \int_0^{2\pi}{ \frac{1}{6} - \left( -\frac{1}{24} \right) \,\mathrm{d}\theta } \\ &= \int_0^{2\pi}{ \frac{5}{24} \,\mathrm{d}\theta } \\ &= \frac{5}{24} \left[ \theta \right]_0^{2\pi} \\ &= \frac{5}{24} \left( 2\pi - 0 \right) \\ &= \frac{5\pi}{12} \end{align*}$

It appears your problem was that you ADDED the two functions in the integrand, when you should have SUBTRACTED.
 

Similar threads

  • · Replies 24 ·
Replies
24
Views
5K
  • · Replies 16 ·
Replies
16
Views
4K
  • · Replies 9 ·
Replies
9
Views
2K
  • · Replies 5 ·
Replies
5
Views
4K
  • · Replies 2 ·
Replies
2
Views
3K
  • · Replies 5 ·
Replies
5
Views
3K
  • · Replies 3 ·
Replies
3
Views
3K
  • · Replies 4 ·
Replies
4
Views
3K
  • · Replies 3 ·
Replies
3
Views
2K
  • · Replies 4 ·
Replies
4
Views
2K