Well of Death: Physics behind it

  • Thread starter Thread starter NTesla
  • Start date Start date
  • Tags Tags
    Death Physics
Click For Summary

Homework Help Overview

The discussion revolves around the physics of a car's motion on a banked curve, specifically in the context of the "well of death" at a village fair. Participants are exploring the maximum velocity (vmax) achievable when the angle (theta) approaches 90 degrees, questioning the implications of this scenario on the calculations and physical interpretations of forces involved.

Discussion Character

  • Exploratory, Assumption checking, Conceptual clarification

Approaches and Questions Raised

  • Participants are examining the behavior of vmax as theta approaches 90 degrees, discussing the implications of friction and normal forces in this scenario. Questions arise about the validity of substituting theta directly into equations and the behavior of forces at extreme angles.

Discussion Status

The discussion is active, with participants offering various interpretations and calculations regarding vmax. Some suggest that there may not be a maximum velocity under certain conditions, while others are probing the physical implications of friction acting in different directions. There is no explicit consensus yet, but the exploration of the derivation of relevant equations is ongoing.

Contextual Notes

Participants are navigating assumptions about frictional forces, particularly how they behave when theta equals 90 degrees. There is mention of constraints related to the physical setup of the well and the nature of forces acting on the vehicle.

NTesla
Messages
276
Reaction score
28
Homework Statement
What will be the maximum velocity for a bike/car to go around in a well of death, when the wall of well of death is vertical, i.e. at 90 degrees ?
Relevant Equations
$$v_{max} = \sqrt{\frac{rg(sin\theta +\mu cos\theta)}{(cos\theta -\mu sin\theta)}}$$
While studying motion of car on banked curve, I was wondering, what will be the vmax when theta is equal to 90 degrees or is close to 90 degrees as it happens in a well of death which is organised in a village fair.

On a banked road with friction present, vmax is given by:
formula for vmax.png

if we put theta = 90 degrees in the formula above, which is the angle in the well of death, then
formula for vmax when theta is 90.png

But that is not acceptable, as vmax can't be an imaginary number.

I understand that if theta = 90 degrees, then the minimum value of v i.e vmin is given by:

formula for vmin when theta is 90.png

This is understandable.

How do I calculate the value of vmax when theta = 90 degrees ?

5wu0m2DcOd2JT4QJbJ09VhfpppX354mrciT9qm4QX=s40-p-mo.png
ReplyForward
 
Last edited:
Physics news on Phys.org
NTesla said:
Normally, on a banked road with friction present
Check out the assumptions for 'normally'. What happens if ##v>v_{\text{max}}## ?

And what happens in
1669288120947.png
if you don't substitute ##\theta ={\pi\over 2} ## but take the limit ##\theta \uparrow{\pi\over 2}## ?

[edit] hmmm... this last one seems to be way off track... depending on ##\mu##, ##\cos\theta-\mu\sin\theta## makes ##v_{\text{max}}\uparrow\infty ## even before ##\theta ={\pi\over 2} ##. So: what's going on when ##\cos\theta-\mu\sin\theta## hits 0 ?

##\ ##
 
Last edited:
  • Like
Likes   Reactions: topsquark
by BvU.png

I'm assuming that what you meant to write was: what happens if v > vmax. Well, in that case, the car will start to slide up the wall of the well.
And for the 2nd part that you asked, if theta tends to pi/2, then, i'm reaching the same value for vmax as i had mentioned in the question above. Here's my calculation:

$$v_{max} = \sqrt{\frac{rg(tan\theta +\mu)}{(1 -\mu tan\theta)}}$$
$$v_{max} =\lim_{\theta \to \pi/2} \sqrt{\frac{rg(tan\theta +\mu)}{(1 -\mu tan\theta)}}$$
$$v_{max} =\sqrt{rg}\lim_{\theta \to \pi/2} \sqrt{\frac{(1 +\frac{\mu}{tan\theta}{})}{(\frac{1}{tan\theta} -\mu)}}$$
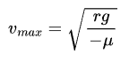
$$v_{max} =\sqrt{rg} \sqrt{\frac{1}{-\mu}}$$
$$v_{max} =\sqrt{\frac{rg}{-\mu}}$$

It's again the same result as if i had put ##\theta = \frac{\pi}{2}##.

Help is needed.
 
As I indicated, I was off track with that last one.

BvU said:
So: what's going on when ##\cos\theta-\mu\sin\theta## hits 0 ?
in other words ##\tan\theta \uparrow 1/\mu ## ?

##\ ##
 
what does the up arrow, between ##tan\theta## and ##\frac{1}{\mu}## signify ?
 
"Approaches that value ##1/\mu## from below"
 
BvU said:
"Approaches that value ##1/\mu## from below"
yes, that's the essence of the initial question that i have asked..
Somebody, kindly throw some light on this question..
 
NTesla said:
yes, that's the essence of the initial question that i have asked..
So we find that ##v_\text{max}## has no upper bound for ##\theta\ge\arctan{1\over\mu}##.
I.e. the answer to your initial question is "there is no maximum".

Now all we have to sort out is what is going on physically. That involves digging into the derivation of the expression for ##v_\text{max}## :smile:

##\ ##
 
Do you want a hint ?
 
  • #10
NTesla said:
Homework Statement::
On a banked road with friction present, vmax is given by:
View attachment 317645
I would like you to go over the derivation of this equation. Notice that, when we are talking about the vertical "wall of death," the friction force must be acting upward. In the derivation of the equation you posted, the friction force is assumed to be down the slope. If it did that then your car will fall down the wall. So you need to reorient the frictional force to point up the slope. You get a similar equation:
##v_{max}= \sqrt{rg \dfrac{(sin( \theta ) - \mu ~ cos( \theta ) )}{( cos( \theta ) + \mu ~ sin( \theta ) )}}##
which is perfectly well-behaved for ##\theta = 90##.

-Dan
 
  • #11
topsquark said:
I would like you to go over the derivation of this equation. Notice that, when we are talking about the vertical "wall of death," the friction force must be acting upward. In the derivation of the equation you posted, the friction force is assumed to be down the slope. If it did that then your car will fall down the wall. So you need to reorient the frictional force to point up the slope. You get a similar equation:
##v_{max}= \sqrt{rg \dfrac{(sin( \theta ) - \mu ~ cos( \theta ) )}{( cos( \theta ) + \mu ~ sin( \theta ) )}}##
which is perfectly well-behaved for ##\theta = 90##.

-Dan
What you wrote is the equation for ##v_{min}##. The friction will not always act upward. Since we are trying to find out vmax, therefore, the friction will act downward. In my original question, i did mention that ##v_{min}## will be = ##\sqrt{\frac{rg}{\mu}}##.
The question remains as it is..
 
Last edited:
  • #12
NTesla said:
What you wrote is the equation for ##v_{min}##. In my original question, i did mention that ##v_{min}## will be = ##\sqrt{\frac{rg}{\mu}}##.
The question remains as it is..
Normally I'd agree with you. But in this case can the friction force be pointing downward? If ##\theta < 90## the normal force contributes to keeping the car at its height. But if the wall is vertical then N points solely in the radial direction, without any vertical component. The friction force is the only thing holding the car up.

There isn't really a "##v_{max}##" in this case.

-Dan
 
  • Like
Likes   Reactions: NTesla, Lnewqban and 256bits
  • #13
Maximum:
The maximum velocity in that case is limited only by the g-force pulling the rider or driver against the wall of the well.

Minimum:
At 90 degrees, the only lateral force on the vehicle is its own weight.
Like it happens to a car in a horizontal curve, the only way to compensate that lateral force is by steering the front wheels.

Because of the above, there is a minimum value of tangential velocity that is needed.
That forward velocity induces enough centrifugal effect to reach a minimum necessary value of normal force and lateral friction force to prevent the car from sliding down the well.
 
  • #14
Lnewqban said:
Maximum:
The maximum velocity in that case is limited only by the g-force pulling the rider or driver against the wall of the well.
What's the expression for vmax according to you..?
 
  • #15
BvU said:
So we find that ##v_\text{max}## has no upper bound for ##\theta\ge\arctan{1\over\mu}##.
I.e. the answer to your initial question is "there is no maximum".

Now all we have to sort out is what is going on physically. That involves digging into the derivation of the expression for ##v_\text{max}## :smile:

##\ ##
I have already derived the expression for vmax, and i had posted the expression for vmax in my original question.
 
  • #16
topsquark said:
Normally I'd agree with you. But in this case can the friction force be pointing downward? If ##\theta < 90## the normal force contributes to keeping the car at its height. But if the wall is vertical then N points solely in the radial direction, without any vertical component. The friction force is the only thing holding the car up.

There isn't really a "##v_{max}##" in this case.

-Dan
So, if i've understood you correctly, then what you are saying is that, as long as ##\theta## is not equal to 90 degrees, friction will act downward, as we are finding vmax. But then suddenly, when ##\theta## = 90 degrees, friction will suddenly act upwards, without there being any moment when friction = 0. Friction will also act upward if velocity of car is less than vmin.
 
Last edited:
  • #17
  • #18
That link is about the topic of human endurance to high g. I'm trying to understand what will be the vmax when g = 9.8m/s^2, in a well of death. If you've figured out the expression, then kindly let me know too..
 
  • #19
topsquark said:
There isn't really a "##v_{max}##" in this case.
So, there wont be a vmax in 3 cases: (1) when ##\mu tan\theta## is equal to 1. (2) When ##\theta## = 90 degrees and (3) when ##\mu##=1 and ##\theta##= 45 degrees.. Is that right..?
 
Last edited:
  • #20
NTesla said:
So, if i've understood you correctly, then what you are saying is that, as long as ##\theta## is not equal to 90 degrees, friction will act downward, as we are finding vmax. But then suddenly, when ##\theta## = 90 degrees, friction will suddenly act upwards, without there being any moment when friction = 0. Friction will also act upward if velocity of car is less than vmin.
There is no 'suddenly'.

BvU said:
Check out the assumptions for 'normally'.
The expressions including ##\mu## assume a direction for the friction force. And ##\mu N## is the maximum friction force. When ##v## runs from ##v_\text{min}## to ##v_\text{max}##, the friction force varies gradually from a maximum in one direction to a maximum in the other.

##\ ##
 
  • #21
BvU said:
There is no 'suddenly'.The expressions including ##\mu## assume a direction for the friction force. And ##\mu N## is the maximum friction force. When ##v## runs from ##v_\text{min}## to ##v_\text{max}##, the friction force varies gradually from a maximum in one direction to a maximum in the other.

##\ ##
##\mu N_{max}## is the maximum friction force. Value of N will keep on varying since N is a function of velocity.. isn't it ?
 
  • #22
NTesla said:
That link is about the topic of human endurance to high g. I'm trying to understand what will be the vmax when g = 9.8m/s^2, in a well of death. If you've figured out the expression, then kindly let me know too..
Please, consider how heavy that person feels while doing this performance.
That is the limit to the velocity.
 
  • #23
Lnewqban said:
Please, consider how heavy that person feels while doing this performance.
That is the limit to the velocity.
let's say there isn't a person doing the round, it's just a machine.. Then what will be the vmax when theta= 90 degrees..?
 
  • #24
NTesla said:
let's say there isn't a person doing the round, it's just a machine.. Then what will be the vmax when theta= 90 degrees..?
The maximum speed that the machine can develop.

You are after the maximum speed with which a car can take a curve without sliding out.
Once the angle of bank grows over 45, that maximum needed speed starts to decrease as the angle increases, simply because the effective radius of the turn also starts to decrease.
Once the bank of a curve reaches 90 degrees, there is no more curve.

The shape of your road has gone from a circle to a cone to a cylinder!
 
  • #25
Lnewqban said:
maximum needed speed starts to decrease...
Shouldn't it be minimum needed speed, which according to me should continue to increase as theta increases..
 
  • #26
Could someone please let me know if my statements in post# 19 and post#21 above, are right or wrong..

post#19: So, there wont be a vmax in 3 cases: (1) when ##\mu tan\theta## is equal to 1. (2) When ##\theta## = 90 degrees and (3) when ##\mu##=1 and ##\theta##= 45 degrees.. Is that right..?

post#21: ##\mu N_{max}## is the maximum friction force. Value of N will keep on varying since N is a function of velocity.. isn't it ?
 
Last edited:
  • #27
NTesla said:
Shouldn't it be minimum needed speed, which according to me should continue to increase as theta increases..
Is that a question or an assertion?
Why should it continue to increase?
 
  • #28
NTesla said:
Could someone please let me know if my statements in post# 19 and post#21 above, are right or wrong..

post#19: So, there wont be a vmax in 3 cases: (1) when ##\mu tan\theta## is equal to 1. (2) When ##\theta## = 90 degrees and (3) when ##\mu##=1 and ##\theta##= 45 degrees.. Is that right..?

post#21: ##\mu N_{max}## is the maximum friction force. Value of N will keep on varying since N is a function of velocity.. isn't it ?
The answer to your question is simply to sketch a FBD of the situation. If angle is less than 90 degrees there will be a minimum speed and maximum speed in order to keep the car at a specific height. The normal force has a component in the vertical direction and is a counter to the weight component down the slope.

But in this case, the wall is vertical so the normal force no longer has a component in the vertical direction. The only force that can counter the weight is friction. So friction has to be pointed upward. Technically this means that there is no ##v_{max}## because any higher speed will not change the friction situation, nor will it change anything about the height. But if the speed is too low then friction cannot support the weight of the car.

-Dan
 
  • Like
Likes   Reactions: NTesla, nasu and Lnewqban
  • #29
First, I'm not sure where you got that this equation is for ##v_{max}##; it is for ##v## in general.

Second, the 'true' equation is:
$$\frac{v^2}{rg} = \frac{\sin\theta + \frac{f}{N}\cos\theta}{\cos\theta - \frac{f}{N}\sin\theta}$$
Where ##f## is the friction pointing down the slope, which means a negative value is possible; it only means it is going against the slope.

What is the value of ##\frac{f}{N}##? Well:
$$mg = N\cos\theta - f\sin\theta$$
Therefore:
$$\frac{f}{N} = \frac{\cos\theta - \frac{mg}{N}}{\sin\theta}$$
Note how it can have a negative value. Putting it in our original equation:
$$\frac{v^2}{rg} = \frac{\sin\theta + \left(\frac{\cos\theta - \frac{mg}{N}}{\sin\theta}\right)\cos\theta}{\cos\theta - \left(\frac{\cos\theta - \frac{mg}{N}}{\sin\theta}\right)\sin\theta}$$
Or:
$$\frac{m\frac{v^2}{r}}{N} = \sin\theta +\frac{\cos\theta - \frac{mg}{N}}{\tan\theta}$$
Isolating ##N## we get either:
$$N= \frac{m\frac{v^2}{r}\tan\theta + mg}{\sin\theta \tan\theta +\cos\theta}$$
or:
$$N = \frac{m\frac{v^2}{r} + \frac{mg}{\tan\theta}}{\sin\theta + \frac{\cos\theta}{\tan\theta}}$$
  • In the first form, assuming ##\theta=0##, we get ##N=mg##.
  • In the second form, assuming ##\theta = 90°##, we get ##N=m\frac{v^2}{r}##.
That's it. There is no ##v_{max}##. Whether ##\theta=0## or ##\theta=90°## or anywhere in between, you can go as fast as you want in any case. Only the normal force will change, which is independent of ##v## when ##\theta=0## and independent of ##g## when ##\theta=90°##.

But let's isolate ##\frac{f}{N}## in our original equation instead:
$$\frac{f}{N} = \frac{\frac{v^2}{rg}\cos\theta - \sin\theta}{\frac{v^2}{rg}\sin\theta + \cos\theta}$$
Or:
$$\frac{f}{N} = \frac{\frac{v^2}{rg} - \tan\theta}{\frac{v^2}{rg}\tan\theta + 1}$$
And we know that to remain static (our assumption in the first place i.e. no sliding):
$$\mu_s > \left|\frac{f}{N}\right|$$
So:
$$\mu_s > \left|\frac{\frac{v^2}{rg} - \tan\theta}{\frac{v^2}{rg}\tan\theta + 1}\right|$$
But that doesn't indicate a ##v_{min}## either, just a ##\mu_{s,\ min}##. That only means that the required friction coefficient will vary between ##\frac{v^2}{rg}## at ##\theta=0## (such that the vehicle doesn't slide out the curve) and ##\frac{rg}{v^2}## at ##\theta=90°## (such that the vehicle doesn't slide down, or "into" the curve).

The only notable thing is that if ##\frac{v^2}{rg} = \tan\theta## then ##f=0## and therefore no friction is required.We can find a ##v_{min}## and ##v_{max}## such that the vehicle doesn't begin to slide in either way.

Assuming a given ##\mu_s##, we go back to our original equation (converted to the ##\tan## equivalent):
$$\frac{v_{min}^2}{rg} = \frac{\tan\theta + (-\mu_s)}{1 - (-\mu_s)\tan\theta}$$
$$\frac{v_{max}^2}{rg} = \frac{\tan\theta + \mu_s}{1 - \mu_s\tan\theta}$$
In both cases, the right-hand side cannot be negative, so:
$$\frac{v_{min}^2}{rg} = \frac{\max\{\tan\theta; \mu_s\} - \mu_s}{1 + \mu_s\tan\theta}$$
$$\frac{v_{max}^2}{rg} = \frac{\tan\theta + \mu_s}{1 - \mu_s\min\{\tan\theta;\frac{1}{\mu_s}\}}$$
I think I got it all right.
 
  • Like
Likes   Reactions: NTesla
  • #30
Hi @NTesla. Can l put my twopence worth in?

If you go round a banked curve at a sufficiently high speed, you tend to slide upwards. (You should understand why this happens.) Static friction opposes the upwards sliding by acting downwards.

If ##\theta \lt 90^o## and you are going too fast, you will may slide upwards because downwards friction isn't big enough to prevent the sliding. Your maximum speed to avoid sliding upwards is ##V_{max}##.

Note that if ##\theta= 90^o## there is no tendency to slide upwards (and you should understand why).

The equation for ##V_{max}## applies only when the frictional force is at its maximum (limiting) value of ##\mu N## and is acting downwards - because that’s how the ##V_{max}## equation is derived. But when ##\theta = 90^0## there is no downwards friction because there is no tendency to move upwards. Friction will act upwards and it's magntiude will equal ##|mg|##; the equation for ##V_{max}## is inapplicable.
_____________

Additional note. It’s not just ##\theta = 90^o## where care is needed. For example if ##\mu = 0.9## and ##\theta = 60^o## then ##\cos(\theta) - \mu \sin(\theta) = \cos(60^o) – 0.9\sin(60^o) = -0.279## which gives a negative value inside the square root.

That’s because the ##V_{max}## equation cannot be used because friction doesn’t need to reach its limiting value to prevent upwards sliding for these values of ##\mu## and ##\theta##.

The ##V_{max}## equation is therefore inapplicable in this case- and this was signalled by the fact that ##\cos(\theta) - \mu \sin(\theta)## was negative.
 
Last edited:
  • Like
Likes   Reactions: NTesla, MatinSAR, topsquark and 1 other person

Similar threads

Replies
16
Views
3K
  • · Replies 20 ·
Replies
20
Views
3K
  • · Replies 2 ·
Replies
2
Views
2K
  • · Replies 1 ·
Replies
1
Views
9K
  • · Replies 9 ·
Replies
9
Views
2K
Replies
5
Views
5K
  • · Replies 20 ·
Replies
20
Views
11K
  • · Replies 1 ·
Replies
1
Views
8K
  • · Replies 2 ·
Replies
2
Views
2K
  • · Replies 7 ·
Replies
7
Views
3K