What is the C_l in the Fisher Matrix For An CMB Survey?

Click For Summary

Discussion Overview

The discussion revolves around understanding the term ##C_\ell## in the context of constructing a Fisher Forecast for the upcoming S4 Cosmic Microwave Background (CMB) survey. Participants explore its definition, implications for covariance matrices, and the challenges of calculating it without prior experimental data.

Discussion Character

  • Exploratory
  • Technical explanation
  • Debate/contested
  • Mathematical reasoning
  • Experimental/applied

Main Points Raised

  • Some participants express confusion about whether ##C_\ell## represents H(z) and Angular Distance or a covariance matrix, and how to compute it without experimental results.
  • It is noted that ##C_\ell## is the power spectrum of the CMB, with each ##C_\ell## representing the variance of the ##a_{\ell m}## components for a given ##\ell##, derived from the spherical harmonic transform of the CMB temperature.
  • Participants mention two sources of noise affecting the results: cosmic variance and experimental uncertainty, with a need for a covariance matrix to account for the latter.
  • One participant shares their assumptions regarding sky coverage, map sensitivity, and beam width for their Fisher Forecast related to a Massive Gravity model.
  • There is a discussion about the use of software and codes, particularly in Python, for calculating Fisher matrices and forecasting parameter uncertainties for CMB experiments.
  • Another participant suggests using a normal distribution for ##a_{\ell m}## values based on a fiducial ##C_\ell## spectrum for simulations.
  • Concerns are raised about the feasibility of completing the Fisher Matrix calculations within a limited timeframe, especially for someone new to statistical cosmology.

Areas of Agreement / Disagreement

Participants express varying levels of understanding and assumptions about the calculation of ##C_\ell## and its implications, indicating that multiple competing views remain. The discussion does not reach a consensus on the best approach or understanding of ##C_\ell##.

Contextual Notes

Participants highlight limitations in their understanding of temperature fluctuations and the need for specific software tools for simulations. There are unresolved questions regarding the exact formulas and methods for calculating the effects of beam width and sky coverage on the angular power spectrum.

xdrgnh
Messages
415
Reaction score
0
I'm trying to construct a Fisher Forecast for the upcoming S4 CMB survey. I don't understand
PO8zE.png


what the C_l is in this formula. It is H(z) and the Angular Distance? Or is it some covariance matrix and if it is a covariance matrix how do I calculate it considering the experiment hasn't been done yet?

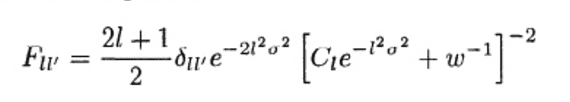
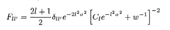
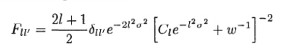
In the end I want to calculate this
g89ea.png


All help will be appreciated thanks.
 
Space news on Phys.org
xdrgnh said:
I'm trying to construct a Fisher Forecast for the upcoming S4 CMB survey. I don't understand View attachment 207342

what the C_l is in this formula. It is H(z) and the Angular Distance evaluated at Z_CMB? Or is it some covariance matrix and if it is a covariance matrix how do I calculate it considering the experiment hasn't been done yet?

In the end I want to calculate this View attachment 207343

All help will be appreciated thanks.
 
xdrgnh said:
I'm trying to construct a Fisher Forecast for the upcoming S4 CMB survey. I don't understand View attachment 207342

what the C_l is in this formula. It is H(z) and the Angular Distance? Or is it some covariance matrix and if it is a covariance matrix how do I calculate it considering the experiment hasn't been done yet?

In the end I want to calculate this View attachment 207343

All help will be appreciated thanks.
First, you can directly insert equations into this forum using LaTeX. There's no need to attach images. See the link near the bottom of the page.

That said, ##C_\ell## is the power spectrum of the CMB. Each ##C_\ell## is the variance of the (##a_{\ell m}##) components for a given ##\ell##. The ##a_{\ell m}## components are drawn from the spherical harmonic transform of the temperature of the CMB.

For a simulation, there are multiple ways to progress. Presumably you'd assume an underlying ##C_\ell##, probably the ##C_\ell## computed from some fiducial ##\Lambda##CDM model (there are lots of pieces of software that will do this). Then there are two sources of noise in the result:
1. Cosmic variance. This stems from the simple fact that each ##C_\ell## is computed from a finite number of ##a_{\ell m}## modes. There's a simple analytical solution to this, but it will also arise naturally if you use simulations of the CMB temperature and take the spherical harmonic transform of the simulation.
2. Experimental uncertainty. The observations will be unable to measure each ##a_{\ell m}## mode exactly, and will introduce correlations between different ##a_{\ell m}## modes. You would have to obtain a covariance matrix of some kind for the expected experimental uncertainty. What information about the experimental uncertainty are you making use of?
 
  • Like
Likes   Reactions: xdrgnh
kimbyd said:
First, you can directly insert equations into this forum using LaTeX. There's no need to attach images. See the link near the bottom of the page.

That said, ##C_\ell## is the power spectrum of the CMB. Each ##C_\ell## is the variance of the (##a_{\ell m}##) components for a given ##\ell##. The ##a_{\ell m}## components are drawn from the spherical harmonic transform of the temperature of the CMB.

For a simulation, there are multiple ways to progress. Presumably you'd assume an underlying ##C_\ell##, probably the ##C_\ell## computed from some fiducial ##\Lambda##CDM model (there are lots of pieces of software that will do this). Then there are two sources of noise in the result:
1. Cosmic variance. This stems from the simple fact that each ##C_\ell## is computed from a finite number of ##a_{\ell m}## modes. There's a simple analytical solution to this, but it will also arise naturally if you use simulations of the CMB temperature and take the spherical harmonic transform of the simulation.
2. Experimental uncertainty. The observations will be unable to measure each ##a_{\ell m}## mode exactly, and will introduce correlations between different ##a_{\ell m}## modes. You would have to obtain a covariance matrix of some kind for the expected experimental uncertainty. What information about the experimental uncertainty are you making use of?

I will note your comment about using LATEX in the future thank you. I'm computing this Fisher Forecast for a model of Massive Gravity. For the experimental uncertainties I'm assuming a sky coverage of .4, a map sensitivity of ##\Delta T##of 1 ##\mu K- arcmin##. My beam width is ##\theta_{FWHM}## is 3 and my ##\Delta P= 1.4## ##\mu K##- arcmin.

From my cosmology textbook the formula for ##C_\ell## is (1/(2*l+1))*Sum[<|##a_{\ell m}##|^2>,{-l,l}]. I know what (##a_{\ell m}##) is as well but I don't know how to calculate temperature fluctuation which is expanded in terms of the spherical harmonics where (##a_{\ell m}##) are the coefficients . Are those determined by the simulation you were talking about? Are there any codes in Mathematica that do the simulation? If not can you point me to the analytical solution? I'm starting to see that a fisher forecast for the CMB looks like an complete different animal then the fisher forecast for the EUCLID galaxy survey. I apologize for not writing the sum in Latex I was trying but it wasn't coming out. I'm so behind on this project. I never knew learning Fisher Forecasting would be completely non trivial.
 
Last edited:
If the only codes you know that do this are in python and all that it takes to run them and get a Fisher Matrix is to alter the H(z) from the ΛCDM model to the Massive Gravity that would be fine as well. More importantly do you think 10 days is to short of a time frame for someone who has no experience in statistical cosmology to be able to compute this Fisher Matrix. If I can get this done then I'll be 100% done with my project. Thank you so much for all of your assistance this summer kimbyd, I would have never made it this far without you.
 
I do not know much.

For other reasons, I bumped into this python module for calculating Fisher matrices and forecasting parameter uncertainties for CMB experiments. It may offer you some help in understanding.

https://github.com/msyriac/pyfisher
 
  • Like
Likes   Reactions: xdrgnh
jim mcnamara said:
I do not know much.

For other reasons, I bumped into this python module for calculating Fisher matrices and forecasting parameter uncertainties for CMB experiments. It may offer you some help in understanding. I'm looking at this and this is certainly something I can work with. I may need to ask questions though about how to slightly change this package because I'm doing this for a Massive Gravity model.

https://github.com/msyriac/pyfisher
Thank you very much I greatly appreciate it.
 
xdrgnh said:
From my cosmology textbook the formula for ##C_\ell## is (1/(2*l+1))*Sum[<|##a_{\ell m}##|^2>,{-l,l}]. I know what (##a_{\ell m}##) is as well but I don't know how to calculate temperature fluctuation which is expanded in terms of the spherical harmonics where (##a_{\ell m}##) are the coefficients . Are those determined by the simulation you were talking about? Are there any codes in Mathematica that do the simulation?
The main library for dealing with spherical harmonic transforms that I've used is Healpix. But I'm not sure you need that (it's also not available in Mathematica: it supports C, C++, F90, IDL, and Java).

If you just want to do a simulation, you can do it easily by selecting a fiducial ##C_\ell## spectrum, and then select the ##a_{\ell m}## values from a normal distribution with a variance given by ##C_\ell##. Mathematica should make this job easy.

If you assume a circular beam, it has the primary effect of suppressing the angular power spectrum. I forget the exact formula (you'd have to hunt for it), but it will look something like ##\tilde C_\ell = C_\ell e^{-\theta_{FWHM}\ell}##. There's probably some factors of two or pi that are needed to make that work. Note that even though the angular power spectrum is suppressed, the noise is not suppressed by the beam.

You'd also have to convert the map sensitivity of ##1\mu K## into a noise level for the ##a_{\ell m}## values.

Finally, the sky coverage has two main impacts:
1. It introduces correlations between the errors. This isn't a trivial effect, but you may have to ignore it for simplicity.
2. It reduces the effective number of modes you can measure per ##\ell##. With a sky coverage of 40%, this means that for ##\ell = 2##, which has 5 modes, you'll only have 3 independent modes. This has the effect of increasing the standard deviation of each ##C_\ell## by a factor of ##1/\sqrt{0.4}##. This is a rough approximation, but it's probably what you'll have to do.
 
  • Like
Likes   Reactions: xdrgnh
kimbyd said:
The main library for dealing with spherical harmonic transforms that I've used is Healpix. But I'm not sure you need that (it's also not available in Mathematica: it supports C, C++, F90, IDL, and Java).

If you just want to do a simulation, you can do it easily by selecting a fiducial ##C_\ell## spectrum, and then select the ##a_{\ell m}## values from a normal distribution with a variance given by ##C_\ell##. Mathematica should make this job easy.

If you assume a circular beam, it has the primary effect of suppressing the angular power spectrum. I forget the exact formula (you'd have to hunt for it), but it will look something like ##\tilde C_\ell = C_\ell e^{-\theta_{FWHM}\ell}##. There's probably some factors of two or pi that are needed to make that work. Note that even though the angular power spectrum is suppressed, the noise is not suppressed by the beam.

You'd also have to convert the map sensitivity of ##1\mu K## into a noise level for the ##a_{\ell m}## values.

Finally, the sky coverage has two main impacts:
1. It introduces correlations between the errors. This isn't a trivial effect, but you may have to ignore it for simplicity.
2. It reduces the effective number of modes you can measure per ##\ell##. With a sky coverage of 40%, this means that for ##\ell = 2##, which has 5 modes, you'll only have 3 independent modes. This has the effect of increasing the standard deviation of each ##C_\ell## by a factor of ##1/\sqrt{0.4}##. This is a rough approximation, but it's probably what you'll have to do.
So I would choose for my fiducial ##C_\ell## the ##C_\ell## from the S3 project right, or any other past CMB survey. Would the normal distribution be constructed in the fiducial model which I would choose to be S3? Also I'm assuming that the ##C_\ell## depends on H(z)? If not I take it that means I need to derive an entire new way of construct them for Massive Gravity.
 
  • #10
xdrgnh said:
So I would choose for my fiducial ##C_\ell## the ##C_\ell## from the S3 project right, or any other past CMB survey. Would the normal distribution be constructed in the fiducial model which I would choose to be S3? Also I'm assuming that the ##C_\ell## depends on H(z)? If not I take it that means I need to derive an entire new way of construct them for Massive Gravity.
The normal distribution would have a mean of zero and a variance equal to ##C_\ell## for each ##\ell##. You'd want to confirm that the ##C_\ell## values obtained in this manner were unbiased. You could do this by plotting the ##C_\ell## values from the simulation and the against the input ##C_\ell## values.

For the fiducial ##C_\ell##, it doesn't matter all that much which you select. Just make sure you select values that are a theoretical prediction rather than an experimental result. You could select, for instance, the ##C_\ell## values from the best-fit model of the S3 mission.

##C_\ell## has no relationship with ##H(z)##. This power spectrum is a snapshot of the inhomogeneities of the universe at a specific redshift (around ##z=1089##).

I'm not entirely sure what you mean by Massive Gravity. Are you talking about a different model of gravity? In that case, yes, you definitely need to do a lot of work in order to properly add CMB data to the mix. The problem is that the parameter predictions of the CMB stem from a particular model of the universe, and involve some fairly complicated calculations. To get how the CMB fits into the picture, you'd need to go back and modify those complex calculations to take into account the new model. This is not a small task.

The only way to get around it would be to provide a convincing argument as to why this modified gravity model has little to no impact on the universe until long after the CMB was emitted.
 
  • Like
Likes   Reactions: xdrgnh
  • #11
kimbyd said:
The normal distribution would have a mean of zero and a variance equal to ##C_\ell## for each ##\ell##. You'd want to confirm that the ##C_\ell## values obtained in this manner were unbiased. You could do this by plotting the ##C_\ell## values from the simulation and the against the input ##C_\ell## values.

For the fiducial ##C_\ell##, it doesn't matter all that much which you select. Just make sure you select values that are a theoretical prediction rather than an experimental result. You could select, for instance, the ##C_\ell## values from the best-fit model of the S3 mission.

##C_\ell## has no relationship with ##H(z)##. This power spectrum is a snapshot of the inhomogeneities of the universe at a specific redshift (around ##z=1089##).

I'm not entirely sure what you mean by Massive Gravity. Are you talking about a different model of gravity? In that case, yes, you definitely need to do a lot of work in order to properly add CMB data to the mix. The problem is that the parameter predictions of the CMB stem from a particular model of the universe, and involve some fairly complicated calculations. To get how the CMB fits into the picture, you'd need to go back and modify those complex calculations to take into account the new model. This is not a small task.

The only way to get around it would be to provide a convincing argument as to why this modified gravity model has little to no impact on the universe until long after the CMB was emitted.
Massive Gravity is a modified theory of gravity and its field equations yield friedmann equations that are different then those in the ΛCDM. There are papers that did construct a CMB spectrum from Massive Gravity before but haven't used them to do a Fisher Forecast for S4. That's interesting. The whole point of MG is that it can explain why we see late time acceleration. During the time of the CMB dark energy wasn't playing much of a role so we would hope that MG is almost identical to ΛCDM in that regime. If not then MG is a poor model because would not be able to reproduce the observed BBN, which from my understanding it does just fine.
 
  • #12
xdrgnh said:
Massive Gravity is a modified theory of gravity and its field equations yield friedmann equations that are different then those in the ΛCDM. There are papers that did construct a CMB spectrum from Massive Gravity before but haven't used them to do a Fisher Forecast for S4. That's interesting. The whole point of MG is that it can explain why we see late time acceleration. During the time of the CMB dark energy wasn't playing much of a role so we would hope that MG is almost identical to ΛCDM in that regime. If not then MG is a poor model because would not be able to reproduce the observed BBN, which from my understanding it does just fine.
BBN occurs substantially before the CMB, so it's conceivable that a model which doesn't change the BBN prediction will nevertheless change the CMB prediction.

That said, this is good. If you want to use MG for this, you should probably look at those papers to see how to relate the cosmological parameters of interest to the ##C_\ell## values. Sadly, my guess is it won't be easy to implement.
 

Similar threads

  • · Replies 6 ·
Replies
6
Views
3K
  • · Replies 8 ·
Replies
8
Views
2K
  • · Replies 5 ·
Replies
5
Views
3K
  • · Replies 10 ·
Replies
10
Views
2K
  • · Replies 4 ·
Replies
4
Views
2K
  • · Replies 11 ·
Replies
11
Views
2K
  • · Replies 1 ·
Replies
1
Views
4K
  • · Replies 13 ·
Replies
13
Views
7K
  • · Replies 3 ·
Replies
3
Views
4K
  • · Replies 2 ·
Replies
2
Views
2K