What is the Hamiltonian for an LC circuit?

Click For Summary
SUMMARY

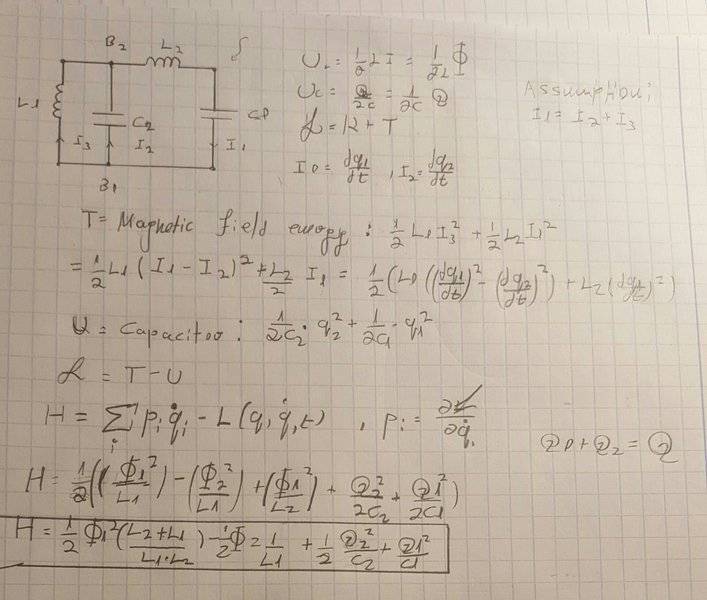
The Hamiltonian for an LC circuit is defined as the sum of kinetic energy (T) and potential energy (U), expressed as H = T + U. In this context, the user confirmed that it is unnecessary to derive the Lagrangian before calculating the Hamiltonian. This approach simplifies the analysis of the circuit's dynamics, allowing for a more straightforward application of Hamiltonian mechanics.

PREREQUISITES
  • Understanding of Hamiltonian mechanics
  • Familiarity with kinetic and potential energy concepts
  • Basic knowledge of LC circuits
  • Ability to manipulate mathematical equations
NEXT STEPS
  • Study the derivation of kinetic and potential energy in electrical circuits
  • Explore Hamiltonian mechanics applications in electrical engineering
  • Learn about Lagrangian mechanics and its relationship to Hamiltonian mechanics
  • Investigate advanced topics in circuit analysis using Hamiltonian methods
USEFUL FOR

Physics students, electrical engineers, and anyone interested in advanced circuit analysis and Hamiltonian mechanics.

yuvalidan
Messages
1
Reaction score
1

Homework Statement


Hi i got a problem in lc circuit, I need to find the hamiltonian to this circuit , I think that I did well but I am not sure, the problem and my attempt in the following file.

Homework Equations

The Attempt at a Solution

 

Attachments

  • hamiltoninan.jpeg
    hamiltoninan.jpeg
    49.4 KB · Views: 806
  • Like
Likes   Reactions: berkeman
Physics news on Phys.org
The Hamiltonian is simply
$$H=T+U$$
You don't need to find the Langrangian first.
 
  • Like
Likes   Reactions: Delta2

Similar threads

  • · Replies 2 ·
Replies
2
Views
4K
  • · Replies 5 ·
Replies
5
Views
2K
  • · Replies 1 ·
Replies
1
Views
2K
  • · Replies 6 ·
Replies
6
Views
2K
Replies
6
Views
1K
  • · Replies 10 ·
Replies
10
Views
3K
  • · Replies 2 ·
Replies
2
Views
2K
  • · Replies 2 ·
Replies
2
Views
2K
  • · Replies 30 ·
2
Replies
30
Views
5K
Replies
7
Views
2K