What is the potential of plate B with respect to infinity?

Click For Summary

Discussion Overview

The discussion revolves around the potential of plate B with respect to infinity when influenced by the charge distribution of a nearby charged plate A. Participants explore the implications of induced charges, the effects of grounding, and the calculations necessary to determine the potential at plate B due to both its own induced charges and the charge on plate A. The scope includes theoretical considerations and mathematical reasoning related to electrostatics.

Discussion Character

  • Exploratory
  • Technical explanation
  • Conceptual clarification
  • Debate/contested
  • Mathematical reasoning

Main Points Raised

  • Some participants propose that the charge +Q on plate A will redistribute itself, leading to +Q/2 on the outer and inner surfaces of plate A, which induces -Q/2 on the inner surface of plate B and +Q/2 on the outer surface of plate B.
  • Others argue that the potential of plate B with respect to infinity is influenced by both the induced charges and the charge on plate A, leading to a net positive potential prior to grounding.
  • A participant questions how to express the potential at plate B due to its own charge and the charge on plate A, indicating difficulty in calculations compared to simpler geometries like point charges or concentric spherical plates.
  • Some participants emphasize the importance of starting from the definition of potential and the unknown initial potential of plate B with respect to infinity, suggesting that grounding changes this potential.
  • There is a discussion about the complexities introduced by grounding plate B and how it affects the potential and charge distribution, with some suggesting that grounding complicates the analysis.
  • One participant notes the challenge in calculating the potential of a single charged plate with respect to infinity, indicating that this is a significant part of determining the potential of plate B.
  • Another participant expresses confusion about how much charge would flow from Earth to plate B upon grounding, questioning the teacher's assertion that -Q will flow to nullify the potential.

Areas of Agreement / Disagreement

Participants express various viewpoints on the potential of plate B, with no consensus reached on the exact calculations or the implications of grounding. There are competing interpretations of how the charges redistribute and how this affects the potential at plate B.

Contextual Notes

Limitations include the assumptions made about the thickness of the plates, the proximity of the plates, and the initial potential of the system. The discussion also highlights the complexity of calculating potentials in electrostatic configurations involving multiple charges and grounding.

Who May Find This Useful

This discussion may be useful for students and enthusiasts of electrostatics, particularly those interested in understanding the behavior of charged plates, potential calculations, and the effects of grounding in electrical systems.

Sunanda
Messages
21
Reaction score
2
I have two isolated plates A and B, kept parallel to each other. Now I give charge +Q to the plate A, it will redistribute itself as +Q/2 on the outer plate A and + Q/2 on the inner plate A. Right?

Now this will induce charge -Q/2 on the inner plate B and +Q/2 charge on the outer plate B. Right?

So my question is: What is the potential of plate B w.r.t. infinity? Or in other words, when this plate B is connected to Earth how much will be the value of potential that would get nullified upon earthing? Yet in other words, I want to know that considering none of the plates is earthed:

1) What is the potential of plate B (w.r.t.infinity) due to the charges induced on it?
2) Plus, what is the potential of plate B (w.r.t. infinity) due to charge +Q on the plate A?
 
Last edited:
Engineering news on Phys.org
Sunanda said:
it will redistribute itself as +Q/2 on the outer plate A and + Q/2 on the inner plate A.
If we assume the plates don't have any thickness at least.
Sunanda said:
Now this will induce charge -Q/2 on the inner plate B and +Q/2 charge on the outer plate B. Right?
Only as approximation if the plates are very close together.
Sunanda said:
What is the potential of plate B w.r.t. infinity?
Try starting with the potential of A, the potential of B follows from that. That approach should be easier. Some approximation might be useful.
 
A teacher in a video lecture stated that assuming, no earthing is done: Potential of plate B will be zero on account of charges induced on it (i.e. -Q/2 and +Q/2). But Potential of plate B will be positive on account of charge +Q on nearby plate A. Thus, net potential of plate B will be positive prior to earthing. I understand this all logically, but what is the expression for potential at plate B due to any charge, say q, placed on it?

Also, what is the potential of plate B on account of charge on plate A? I want an expression because I am facing difficullty in calculating the same.

(If instead of parallel plates, it were the case of point charges, I know the procedure to calculate the potential at any point in the system. I can also calculate potential at any point if it were the case of concentric spherical plates. But here, I am stuck. How to calculate potential at plate B due to its own charge, and then due to the charge on nearby plate A? Please help.
 
Sunanda said:
So my question is: What is the potential of plate B w.r.t. infinity?
I think you need to start from the definition of potential.
Unless you know what was its potential wrt infinity before you charged it, you can only calculate by how much you changed that unknown quantity.

Earth itself has some unknown potential wrt infinity. For convenience it is often assumed zero but that's arbitrary. We can't get out there to measure it. Though i wonder if any NASA satellites have looked into it ?

old jim
 
Last edited:
  • Like
Likes   Reactions: anorlunda and Sunanda
jim hardy said:
I think you need to start from the definition of potential.
Unless you know what was its potential wrt infinity before you charged it, you can only calculate by how much you changed that unknown quantity.

Earth itself has some unknown potential wrt infinity. For convenience it us often assumed zero but that's arbitrary. We can't get out there to measure it. Though i wonder if any NASA satellites have looked into it ?

old jim
Assuming its potential w.r.t. infinity (in the beginning) was zero, and assuming Earth's potential is zero, I request you to answer now. Thanks in advance :)
 
Sunanda said:
Now this will induce charge -Q/2 on the inner plate B and +Q/2 charge on the outer plate B. Right?

Finally i think i see what you're postulating.
What is it Teacher wants us to gain by working this problem? Perhaps an appreciation of why we ground shields ?

I need pictures.
Thinking about electric fields,
Gauss says total flux leaving each plate equals total charge on it.
Do you know how to calculate the field surrounding a plate ? Infinite sheet would be the extreme case...

Efield_Plates.jpg

Assuming they're thin, as @mfb stipulated,
"Grounding" 2nd plate changes its potential by E X Distance between plates?

I never worked that problem
but that's how i would approach it.

@mfb - did i miss something fundamental ?

old jim
 

Attachments

  • Efield_Plates.jpg
    Efield_Plates.jpg
    16.5 KB · Views: 1,002
Last edited:
  • Like
Likes   Reactions: Sunanda
Don't ground the second plate, that will make everything complicated.

The second plate can in principle affect the field as charges can redistribute along its length, but if the plates are close together this shouldn't be a large effect.

What is the potential of a single charged plate with respect to infinity? This is not an easy question, but it is most of the work to get the potential of plate B afterwards.
 
  • Like
Likes   Reactions: jim hardy and Sunanda
jim hardy said:
Finally i think i see what you're postulating.
What is it Teacher wants us to gain by working this problem? Perhaps an appreciation of why we ground shields ?

I need pictures.

Here's the video lecture of the teacher I mentioned about. His accent might be a bit tough to understand. This lecture is about earthing of a system of parallel metal plates.

I asked this question because I was wondering what was the positive potential at plate B which upon earthing gets canceled out? The charge that the Earth will supply to nullify this potential will obviously depend on the value of potential present initially. The teacher in the video stated that Earth will supply negative charge, but how to determine the value of negative charge supplied if we do not know by what amount potential difference is changed? Do you understand my question? Or shall I rephrase it? Please tell.



Do you know how to calculate the field surrounding a plate ? Infinite sheet would be the extreme case...

Yes, I know how to calculate the electric field for a plane sheet of charge. But I know this only for infinite sheet. If this infinite sheet has surface charge density of σ C/m2, then Electric field on its both sides with have magnitude E= σ/2ε°.

View attachment 224350
Assuming they're thin, as @mfb stipulated,
"Grounding" 2nd plate changes its potential by E X Distance between plates?

I never worked that problem
but that's how i would approach it.

Can I point out a mistake here? In the second diagram, we have two plates: plate A with positive charge say +Q (or alternatively we can say the plate is having surface charge density of +σ) and other plate B is uncharged. Now the +Q charge with spread evenly on the left (outer) and right (inner) faces of plate A with +Q/2 charge on each face. The charge on inner side of A will induce -Q/2 charge on inner side of B and +Q/2 charge on outer side of B.

Now, E at the leftmost region will be
= σ/2ε° directed outwards from the plate A.
E in the middle region of plates= 2 times σ/2ε° from A to B.
E in the rightmost region will be = σ/2ε° i.e. directed outwards from the plate B.

That is, E/2 along -ve x-axis , E along +ve x-axis and E/2 along +ve x-axis respectively.
Where E has value E= σ/ε°.

So, values of electric field in the outer regions are E/2 if we take E equal to σ/ε°.
 
mfb said:
What is the potential of a single charged plate with respect to infinity? This is not an easy question, but it is most of the work to get the potential of plate B afterwards.

If the potential of a single charged plate w.r.t. infinity is complicated to calculate, then leave the calculations. My confusion is only related to determining how much charge should flow from Earth to plate B, upon earthing so as to nullify its initial potential (of course w.r.t. infinity) which was present due to positively charged plate A.

The teacher said charge -Q will flow. I understand upto the point when -Q/2 flows from Earth to cancel out positive charge induced on B. From then on, how can he say more -Q/2 will flow? lt can be -Q/3, -Q/4 or any value depending upon the initial potential at plate B due to plate A. Please explain.

Here's the video:

 
  • #10
Sunanda said:
I have two isolated plates A and B, kept parallel to each other. Now I give charge +Q to the plate A, it will redistribute itself as +Q/2 on the outer plate A and + Q/2 on the inner plate A. Right?

Now this will induce charge -Q/2 on the inner plate B and +Q/2 charge on the outer plate B. Right?

So my question is: What is the potential of plate B w.r.t. infinity? Or in other words, when this plate B is connected to Earth how much will be the value of potential that would get nullified upon earthing? Yet in other words, I want to know that considering none of the plates is earthed:

1) What is the potential of plate B (w.r.t.infinity) due to the charges induced on it?
2) Plus, what is the potential of plate B (w.r.t. infinity) due to charge +Q on the plate A?
What is this inner plate and outer plate you are referring to in the question and why the charge +Q 8s distributed as +Q/2 over both the plate (inner and outer)?
 
  • #11
Sunanda said:
Can I point out a mistake here? In the second diagram,
I welcome that.
 
  • Like
Likes   Reactions: Sunanda
  • #12
Sunanda said:
Now, E at the leftmost region will be
= σ/2ε° directed outwards from the plate A.
E in the middle region of plates= 2 times σ/2ε° from A to B.
E in the rightmost region will be = σ/2ε° i.e. directed outwards from the plate B.

That is, E/2 along -ve x-axis , E along +ve x-axis and E/2 along +ve x-axis respectively.
Where E has value E= σ/ε°.

So, values of electric field in the outer regions are E/2 if we take E equal to σ/ε°.
That's true in the third image but not in the second.

Gauss tells us the total flux leaving(or entering) a surface equals the charge enclosed.
Because in middle image the plate B still has zero net charge, all the flux that enters B from left exits B toward right as if B weren't there.
B with no net charge does not affect the field from A (except as noted by @mfb due to its finiteness).
The field strength is same everywhere for middle image.
That's why we ground a shield because an ungrounded one is electrically not there.

Bottom image differs from middle in that plate B has acquired net charge.
So its field reinforces that from A between the plates and cancels it outside them. That's why a charged capacitor doesn't make much of an external field.
In between the plates field strength is their sum and outside them it's their difference. You used E/2 and E, i used E and 2E .

Am i getting close ? Here's the video i watched ..
www.youtube.com/watch?v=r-j0vE8rHYE
 
  • Like
Likes   Reactions: Sunanda
  • #13
Sunanda said:
If the potential of a single charged plate w.r.t. infinity is complicated to calculate, then leave the calculations. My confusion is only related to determining how much charge should flow from Earth to plate B, upon earthing so as to nullify its initial potential (of course w.r.t. infinity) which was present due to positively charged plate A.

The teacher said charge -Q will flow. I understand upto the point when -Q/2 flows from Earth to cancel out positive charge induced on B. From then on, how can he say more -Q/2 will flow? lt can be -Q/3, -Q/4 or any value depending upon the initial potential at plate B due to plate A. Please explain.

Here's the video:

Actually this is the working principle of a parallel plate capacitor. In the third diagram where the plate B is earthed the plate acquires a net charge of - Q/2 which is responsible for over all decrease in the potential of the system
For the system
Q proportional to V
Q =C x V
Since the charge Q remains unchanged in the initially charged conductor and V is decreasing the capacitance of the plate B has to increase for sure, more over this is earthed and thus the maximum possible charge that can be induced over plate B is -Q. So finally there are only equal and opposite charges in the interior of both the plates.
 
  • Like
Likes   Reactions: Sunanda
  • #14
It seems counterintuitive that charging plate A can change potential of plate B without changing its net charge.

I think in simple steps.

Potential is the work done bringing a unit of charge from infinity to wherever you are.
Of course we can't get there to measure that work but we can do a thought experiment.
Imagine you have a one Coulomb pail of charge, a fish scale calibrated in Newtons, and a meter-stick.
Charge plate A .
Take your one Coulomb pail of charge, fish scale and meter-stick out past plate B continuing toward the right , to infinity.
Turn around to face back toward your plates.
The Newton scale will report the attraction or repulsion that acts on your one Coulomb pail of charge
Start walking toward your plates.
Watch the Newton scale and at every meter write down its reading.
That gives you a tabulation of Newton-Meters .
If you add them up you'll get the work done moving your Coulomb from infinity to wherever you are.
That's not a true integral but a fish scale is too simple to do integration, and it'll be an approximation. If you wish you could modify the experiment to integrate but I'm just trying to plant the concept here.

Now - look at the work done over last few meters .
Efield_plates2.jpg
When plate B is earthed there's no field present to its right . So B's absolute potential is same as earth's.
When plate B is unearthed you were walking through A's field all the way.
So B's absolute potential differs from A's by: (strength of A's field) X (distance between A and B).

I think that mental exercise will let a fellow figure out the right formula.

old jim
 

Attachments

  • Efield_plates2.jpg
    Efield_plates2.jpg
    18.5 KB · Views: 599
  • Like
Likes   Reactions: dlgoff
  • #15
jim hardy said:
That's true in the third image but not in the second.

Gauss tells us the total flux leaving(or entering) a surface equals the charge enclosed.
Because in middle image the plate B still has zero net charge, all the flux that enters B from left exits B toward right as if B weren't there.
B with no net charge does not affect the field from A (except as noted by @mfb due to its finiteness).
The field strength is same everywhere for middle image.
That's why we ground a shield because an ungrounded one is electrically not there.

Bottom image differs from middle in that plate B has acquired net charge.
So its field reinforces that from A between the plates and cancels it outside them. That's why a charged capacitor doesn't make much of an external field.
In between the plates field strength is their sum and outside them it's their difference. You used E/2 and E, i used E and 2E .

O yes, you are right. Mistake was all mine. Pardon. Thanks for clarifying. Actually I wrongly built up a concept that if a face of charged plate has charge Q/2 on it, that means it has a surface charge density σ/2 on that particular face, then electric field due to that face will be σ/2ɛ°. Thus I add up the respective fields in the middle region, giving me wrong value σ/ɛ°.

My mistake was that I assumed when charge Q is given to any isolated metal plate, it redistributes as Q/2 on both the faces of plate. Everything is right up to here, but I inferred that this redistribution means surface charge density σ also redistributes as σ/2 on both the faces. That's so stupid of me, because how did not I realize if Q halves, A also halves while taking one particular face. So σ will be same, whether we take one face or both.

You are right, E in the second image will be same throughout.
 
Last edited:
  • Like
Likes   Reactions: jim hardy
  • #16
jishnu said:
For the system
Q proportional to V
Q =C x V
Since the charge Q remains unchanged in the initially charged conductor and V is decreasing the capacitance of the plate B has to increase for sure,

The line that says 'capacitance of plate B has to increase for sure': Isn't capacitance dependent upon A, d & ɛ ? If it is so, then capacitance of a parallel plate capacitor is dependent upon its geometrical configuration only. So in the relation Q
= C × V ,
Q changes as a function of V between the plates, while C is treated as constant.

Ain't I right? Do tell if you think otherwise.
 
  • #17
jim hardy said:
Am i getting close ? Here's the video i watched ..
www.youtube.com/watch?v=r-j0vE8rHYE

Thanks for the video. In the second part of the video, I was wrongly computing E = σ/ε° to be emerging from one plate. E in the Gauss Law is the net electric field present in the gaussian surface, not just the electric field due to charge under consideration.
 
  • Like
Likes   Reactions: jim hardy
  • #18
@Sunanda Don't be so hard on yourself for so-called 'mistakes' . We adjust our thinking to align with how Mother Nature built the universe and we do that by trial-and-error.
Rejoice that you had the stick-toitiveness to arrive at a consistent mental image.
Fields i found to be a difficult subject.

Keep up the good work.

old jim
 
Last edited:
  • Like
Likes   Reactions: Sunanda and dlgoff
  • #19
jim hardy said:
@Sunanda Don't be so hard on yourself for so-called 'mistakes' . We adjust our thinking to align with how Mother Nature built the universe and we do that by trial-and-error.
Rejoice that you had the stick-toitiveness to arrive at a consistent mental image.
Fields i found to be a difficult subject.

Keep up the good work.

old jim

Yeah. Okay :)
 
  • #20
@jim hardy My doubt is still left uncleared. Jishnu tried to answer it, but it didn't help much. Will you tell me how much charge should flow from Earth to plate B, upon earthing so as to nullify its initial potential (of course w.r.t. infinity) which was present due to positively charged plate A.

The teacher said charge -Q will flow. I understand upto the point when -Q/2 flows from Earth to cancel out positive charge induced on B. From then on, how can he say more -Q/2 will flow? lt can be -Q/3, -Q/4 or any value depending upon the initial potential at plate B due to plate A. Please explain.
 
  • #21
Sunanda said:
The teacher said charge -Q will flow. I understand upto the point when -Q/2 flows from Earth to cancel out positive charge induced on B. From then on, how can he say more -Q/2 will flow? lt can be -Q/3, -Q/4 or any value depending upon the initial potential at plate B due to plate A. Please explain

It's hard for me to guess what teacher had in his mind and whether it's correct.
Doubtless one could invoke Maxwell's equations
but to my mind that's using a jackhammer to drive a thumbtack.

I finally decided to tackle the heavy accent in that video you referenced

and found a button that switches to narration in a British accent.
I do like that video it's a pretty clear explanation .
But he doesn't refer his potentials to infinity he refers them to Earth without explicitly stating so.
That simplifies the thinking process. @jishnu hit the nail on the head a few posts above. Our two images are just two capacitors.
Sticking with what's familiar

Efield_plates3.jpg


Plate A has potential to Earth VA = Q/CA where CA is the capacitance of a single plate to Earth . That capacitance is quite small so VA is probably surprisingly high.
Plate B has potential to Earth of VA - (E X D) because it's in A's field.

CA is not straightforward to calculate because it's a plate not a sphere. A disc plate is easier to calculate than a square so let's use that..
Were it a sphere it'd be just CA= 4πε0Radius see http://hyperphysics.phy-astr.gsu.edu/hbase/electric/capsph.html

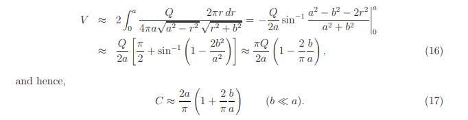
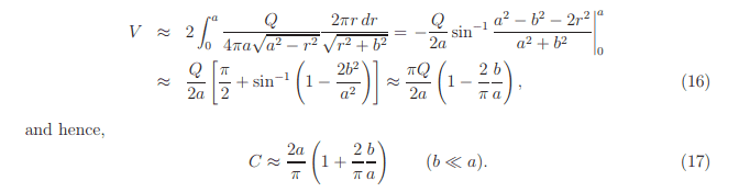
Here's a derivation of capacitance of a single disc from http://www.hep.princeton.edu/~mcdonald/examples/thindisc.pdf
but it appears to be written in Gaussian units not SI

upload_2018-4-29_14-12-37.png


where b is the disc's thickness and a its radius
which fortunately simplifies to C = about 2 X Radius / π but I'm still wrestling with Si vs Gaussian units . Should be an epsilon in there someplace. https://en.wikipedia.org/wiki/Gaussian_units

Anyhow when we ground the second plate, we have changed from a single plate capacitor to a parallel two-plate capacitor.
That's straightforward, CAB = ε0Area/Separation of the plates (in SI)

Efield_plates4.jpg


Now plate B is at zero potential and since your thought experiment locks charge at Q,
plate A is at potential VAB = Q/CAB
In SI , CAB= ε0 X πRadius2 / Distance between plates
so VAB = Q / ( ε0 X πRadius2 / Distance between plates)

Grounding the second plate then affects voltage V on plate A by ratio of CA to CAB
VA / VAB = CAB / CA because voltage on a capacitor = Q/C
To get their ratio i must get the capacitances both into same units.
If Wikipedia's 'Gaussian Units' page is correct and this is the conversion factor , there's my missing ε..
upload_2018-4-29_15-14-24.png

I must multiply CA by 4πε0 to get it to SI.
CA = 4πε0 X 2 X Radius / π
and
CAB = ε0 X πRadius2 / Distance between plates

Ratio of CAB to CA = π X Radius / (8 X Distance between plates ) please check my arithmetic !

So VA / VAB = π X Radius / (8 X Distance between plates )
The closer the plates the larger the ratio and that agrees with intuition so i trust my arithmetic.

Plate A does work on plate B as it pushes positive charge out of it into earth. Or attracts negative onto it if you prefer.
That work comes from reduced potential on plate A . Some of it shows back up as energy stored in the field between A and B. The rest is lost as heat in the resistance of the conductors.

But there's a much easier way to think about it.

What happens if you separate the plates of a charged capacitor by mechanically pulling them apart ?
The plates attract one another because of their opposite charges.
So you must overcome that attractive force , doing work on them Force X Distance as you pull them apart.
That work shows up as increased voltage across the capacitor.. Increasing separation reduces capacitance and with fixed Q voltage must increase with separation because Q = CV .
Your exercise is almost the reverse - bringing the plates closer together would reduce voltage as capacitance increased. Your work went into moving charges through fields as current through conductors instead of moving charge through fields along with the plates..
I think that would be a far better lead-in to this concept. It's the one my High School electronics teacher used on us boys. You can't teach Maxwell's equations to kids just taking second year algebra .Here's a tutorial i stumbled across while looking for an approach to this 'explanation' , i didn't use it but it might be of help to you locking in your basics. ..
ftp://ftp.bartol.udel.edu/evenson/MonitorDocs/Thailand_Workshops/Workshop%201/Analog%20Reference/Capacitance.pdf

I'm going to hit "Post " now. Preview doesn't show my images so i'll probably have to edit a few times (and fix typos)

If anyone versed in vector calculus and Maxwell sees a basic mistake in my reasoning please point it out. As i said, I've never worked this one before.

old jim
 

Attachments

  • Efield_plates3.jpg
    Efield_plates3.jpg
    8.1 KB · Views: 802
  • upload_2018-4-29_14-12-37.png
    upload_2018-4-29_14-12-37.png
    7.6 KB · Views: 858
  • Efield_plates4.jpg
    Efield_plates4.jpg
    6.9 KB · Views: 837
  • upload_2018-4-29_15-14-24.png
    upload_2018-4-29_15-14-24.png
    1.7 KB · Views: 898
Last edited:
  • Like
Likes   Reactions: Sunanda
  • #22
separating the plates of a charged capacitor
 
  • Like
Likes   Reactions: sophiecentaur
  • #23
mfb said:
What is the potential of a single charged plate with respect to infinity? This is not an easy question,
I found this link Capacitance of an infinitely thin disc. which suggests that the Capacitance (to ∞) would be 8ε0R. So the Capacitance of the outer half to ∞ would be half that(?).
Wouldn't that allow you to calculate the potential by using the potential divider formula (Capacitance Version), using the C between the plates and the C to infinity of the parasitic plate?
 
  • #24
Hmmm.. one says about 2/3 r (2/pi) and other says 8 r ,,

first is Gaussian
2R/π (Gaussian) X 4πε0 (Gaussian to SI factor) = 8ε0 R
I love it when diverse sources agree !

I'll have to chew on that divider approach. Sounds logical !

old jim
 
  • Like
Likes   Reactions: Sunanda and sophiecentaur
  • #25
@jim hardy : Thankyou for taking time. It helped. :)
 
  • #26
jim hardy said:
It's hard for me to guess what teacher had in his mind and whether it's correct.
Doubtless one could invoke Maxwell's equations
but to my mind that's using a jackhammer to drive a thumbtack.

I finally decided to tackle the heavy accent in that video you referenced

and found a button that switches to narration in a British accent.
I do like that video it's a pretty clear explanation .
But he doesn't refer his potentials to infinity he refers them to Earth without explicitly stating so.
That simplifies the thinking process. @jishnu hit the nail on the head a few posts above. Our two images are just two capacitors.
Sticking with what's familiar

View attachment 224897

Plate A has potential to Earth VA = Q/CA where CA is the capacitance of a single plate to Earth . That capacitance is quite small so VA is probably surprisingly high.
Plate B has potential to Earth of VA - (E X D) because it's in A's field.

CA is not straightforward to calculate because it's a plate not a sphere. A disc plate is easier to calculate than a square so let's use that..
Were it a sphere it'd be just CA= 4πε0Radius see http://hyperphysics.phy-astr.gsu.edu/hbase/electric/capsph.html

Here's a derivation of capacitance of a single disc from http://www.hep.princeton.edu/~mcdonald/examples/thindisc.pdf
but it appears to be written in Gaussian units not SI

View attachment 224898

where b is the disc's thickness and a its radius
which fortunately simplifies to C = about 2 X Radius / π but I'm still wrestling with Si vs Gaussian units . Should be an epsilon in there someplace. https://en.wikipedia.org/wiki/Gaussian_units

Anyhow when we ground the second plate, we have changed from a single plate capacitor to a parallel two-plate capacitor.
That's straightforward, CAB = ε0Area/Separation of the plates (in SI)

View attachment 224901

Now plate B is at zero potential and since your thought experiment locks charge at Q,
plate A is at potential VAB = Q/CAB
In SI , CAB= ε0 X πRadius2 / Distance between plates
so VAB = Q / ( ε0 X πRadius2 / Distance between plates)

Grounding the second plate then affects voltage V on plate A by ratio of CA to CAB
VA / VAB = CAB / CA because voltage on a capacitor = Q/C
To get their ratio i must get the capacitances both into same units.
If Wikipedia's 'Gaussian Units' page is correct and this is the conversion factor , there's my missing ε..
View attachment 224904
I must multiply CA by 4πε0 to get it to SI.
CA = 4πε0 X 2 X Radius / π
and
CAB = ε0 X πRadius2 / Distance between plates

Ratio of CAB to CA = π X Radius / (8 X Distance between plates ) please check my arithmetic !

So VA / VAB = π X Radius / (8 X Distance between plates )
The closer the plates the larger the ratio and that agrees with intuition so i trust my arithmetic.

Plate A does work on plate B as it pushes positive charge out of it into earth. Or attracts negative onto it if you prefer.
That work comes from reduced potential on plate A . Some of it shows back up as energy stored in the field between A and B. The rest is lost as heat in the resistance of the conductors.

But there's a much easier way to think about it.

What happens if you separate the plates of a charged capacitor by mechanically pulling them apart ?
The plates attract one another because of their opposite charges.
So you must overcome that attractive force , doing work on them Force X Distance as you pull them apart.
That work shows up as increased voltage across the capacitor.. Increasing separation reduces capacitance and with fixed Q voltage must increase with separation because Q = CV .
Your exercise is almost the reverse - bringing the plates closer together would reduce voltage as capacitance increased. Your work went into moving charges through fields as current through conductors instead of moving charge through fields along with the plates..
I think that would be a far better lead-in to this concept. It's the one my High School electronics teacher used on us boys. You can't teach Maxwell's equations to kids just taking second year algebra .Here's a tutorial i stumbled across while looking for an approach to this 'explanation' , i didn't use it but it might be of help to you locking in your basics. ..
ftp://ftp.bartol.udel.edu/evenson/MonitorDocs/Thailand_Workshops/Workshop%201/Analog%20Reference/Capacitance.pdf

I'm going to hit "Post " now. Preview doesn't show my images so i'll probably have to edit a few times (and fix typos)

If anyone versed in vector calculus and Maxwell sees a basic mistake in my reasoning please point it out. As i said, I've never worked this one before.

old jim
Thank you @jim hardy for the clear explanation, it helped me too as these concepts were not so deeply dug by me.
but the link you provided for calculation capacitance of single plate(alone) http://www.hep.princeton.edu/~mcdonald/examples/thindisc.pdf
seems not working ("preview not available" error occurred) can you please provide more details over that, I shall wait.
 
  • #28
jishnu said:
but the link you provided for calculation capacitance of single plate(alone) http://www.hep.princeton.edu/~mcdonald/examples/thindisc.pdf
seems not working ("preview not available" error occurred) can you please provide more details over that, I shall wait.

dlgoff said:
It downloads the pdf file for me
It opens fine for me too.
I have my browser set to use adobe reader as default for opening .pdf files. Do you have adobe reader installed? It's free but big, and somewhat annoying to use.
http://www.hep.princeton.edu/~mcdonald/examples/thindisc.pdf
upload_2018-5-1_18-35-33.png
 

Attachments

  • upload_2018-5-1_18-35-33.png
    upload_2018-5-1_18-35-33.png
    28.1 KB · Views: 771
  • Like
Likes   Reactions: dlgoff
  • #29
  • Like
Likes   Reactions: jim hardy
  • #30
Of course we've mixed infinite sheets with finite plates in our thinking...
My objective was to keep it down to a manageable thought experiment that one can visualize without having to invoke Vector Calculus. So I accept that shortfall from perfection as the tradeoff for a derivation that's suited to my meager math skills.
 

Similar threads

Replies
9
Views
4K
  • · Replies 7 ·
Replies
7
Views
4K
  • · Replies 1 ·
Replies
1
Views
2K
Replies
9
Views
4K
  • · Replies 14 ·
Replies
14
Views
2K
  • · Replies 9 ·
Replies
9
Views
2K
  • · Replies 15 ·
Replies
15
Views
5K
Replies
11
Views
4K
  • · Replies 6 ·
Replies
6
Views
2K
  • · Replies 11 ·
Replies
11
Views
3K