What is the relationship between <x> and <p> in linear momentum?

Click For Summary

Homework Help Overview

The discussion revolves around the relationship between the average position and the average linear momentum

in the context of quantum mechanics. Participants are exploring the definitions and calculations related to linear momentum and its expectation values.

Discussion Character

  • Exploratory, Conceptual clarification, Mathematical reasoning

Approaches and Questions Raised

  • Participants are attempting to calculate the average linear momentum using the integral involving the wavefunction and the momentum operator. Questions arise regarding the definitions used and the origin of certain integrals. There is also a discussion about the implications of specific mathematical steps and the clarity of the original problem statement.

Discussion Status

The discussion is ongoing, with participants providing insights and asking for clarifications. Some guidance has been offered regarding the definitions of average momentum and the expectation value, but there is no explicit consensus on the original problem or its resolution.

Contextual Notes

There are indications of potential misunderstandings regarding the definitions and calculations involved in the problem. Participants are also questioning the completeness of the information provided, particularly concerning the original problem statement.

watanake
Messages
4
Reaction score
0
img001.jpg



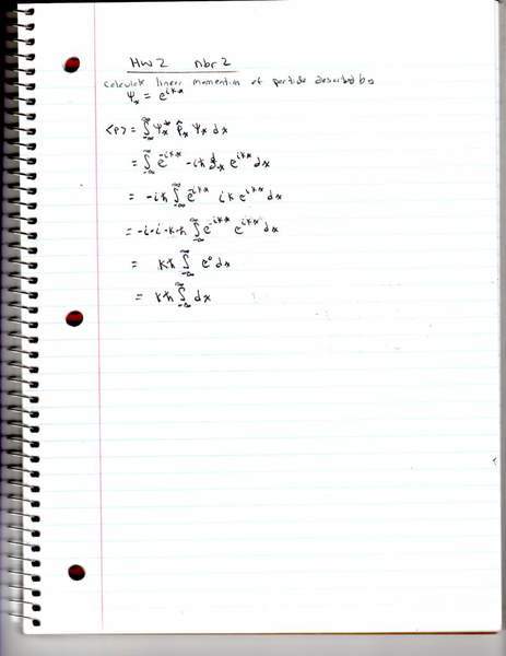
the attachment shows my work. I honestly think maybe i did something wrong. at any rate the integrand is 1 and so not really even or odd.

any help is appreciated
 
Physics news on Phys.org
watanake said:
View attachment 51114


the attachment shows my work. I honestly think maybe i did something wrong. at any rate the integrand is 1 and so not really even or odd.

any help is appreciated

Where did the integral in your first step come from? Start with the definition of [itex]\langle \hat{P} \rangle[/itex]...
 
Sorry, I am supposed to calculate the average linear momentum.
So would be <p> =∫ψ*(x)P(hat)ψ(x)dx

P(hat) = -ih(bar)(d/dx)
 
watanake said:
Sorry, I am supposed to calculate the average linear momentum.
So would be <p> =∫ψ*(x)P(hat)ψ(x)dx

P(hat) = -ih(bar)(d/dx)

The average linear momentum of what state? :wink:

Remember, [itex]\psi_k(x)=e^{ikx}[/itex] is just one k-mode of the full wavefunction for a free particle [itex]\psi(x)=\int_{-\infty}^{\infty} A(k) \psi_k(x)dk[/itex].
 
Last edited:
watanake said:
View attachment 51122

I think I figured it out. Let me know if it looks correct. thanks

Does [itex]\frac{\infty}{\infty}=1[/itex]? That is essentially what you are claiming in your last step.

As for your first step, is that the definition of average momentum you are using in your course? Usually one defines the expectation value, or average, of an operator [itex]\hat{A}[/itex] in a given state [itex]|\psi\rangle[/itex] as [itex]\langle \hat{A} \rangle \equiv \langle \psi |\hat{A}|\psi \rangle[/itex].

Frankly, I'm still not 100% clear on what the original problem is. Can you post the original problem verbatim (word for word)?
 
Just evaluate the integral [;\int_{-\infty}^{\infty} dx;]. What do you get?
Also, [; <p>= m\frac{d<x>}{dt} ;], so if you can find [;<x>;], you should also be able to find [;<p>;].
 

Similar threads

Replies
4
Views
3K
Replies
3
Views
2K
  • · Replies 7 ·
Replies
7
Views
4K
Replies
6
Views
4K
  • · Replies 1 ·
Replies
1
Views
2K
  • · Replies 6 ·
Replies
6
Views
3K
  • · Replies 12 ·
Replies
12
Views
2K
Replies
5
Views
2K
  • · Replies 1 ·
Replies
1
Views
2K
  • · Replies 14 ·
Replies
14
Views
3K