What Is the Transfer Function H(ω) for This Circuit?

Click For Summary

Discussion Overview

The discussion revolves around determining the transfer function H(ω) for a given circuit, specifically focusing on obtaining an expression for H(ω) = Vo/Vi, generating spectral plots, and identifying cutoff frequencies. The scope includes homework-related problem-solving and technical analysis of circuit behavior.

Discussion Character

  • Homework-related
  • Technical explanation
  • Debate/contested

Main Points Raised

  • Some participants suggest that "standard form" for H(ω) should include the corner frequency ω_c, while others express uncertainty about how to find this frequency.
  • One participant notes that the transfer function is a bandpass type with two corner frequencies, questioning the notion of a single cutoff frequency.
  • Another participant emphasizes the importance of ensuring unit consistency in the transfer function, indicating that it should be unitless.
  • There are discussions about using 's' instead of 'jω' for easier Bode plot generation, with some expressing discomfort with complex numbers.
  • Several participants express confusion about how to determine multiple cutoff frequencies and the nature of the filter, with one participant suggesting that it may not be a bandpass filter based on circuit behavior at DC and high frequencies.

Areas of Agreement / Disagreement

Participants do not reach a consensus on whether the circuit functions as a bandpass filter, with some arguing it does and others suggesting it does not. The discussion remains unresolved regarding the correct identification of cutoff frequencies and the nature of the transfer function.

Contextual Notes

Participants mention the presence of two energy-storing elements, which complicates the identification of cutoff frequencies. There is also a suggestion to reduce expressions to a common denominator to clarify poles and zeros, but specific mathematical steps remain unresolved.

gfd43tg
Gold Member
Messages
949
Reaction score
48

Homework Statement


For the circuit shown below:
(a) Obtain an expression for H(ω) = Vo/Vi in standard form.
(b) Generate spectral plots for the magnitude and phase of H(ω), given that R1 = 1 Ω, R2 = 2 Ω, C1 = 1 μF, and C2 = 2 μF.
(c) Determine the cutoff frequency ωc and the slope of the magnitude (in dB) when ω/ωc ≪1 and when ω/ωc ≫1.

Homework Equations


The Attempt at a Solution


Hello, I am working on this problem part (a). I believe what they mean by ''standard form'' is that I need it to include (ω/ω_c), where ω_c is the corner frequency. This expression is so ugly that I don't know how I will ever find an expression for the corner frequency. Is there a way in general to approach finding the corner frequency?
 

Attachments

  • 8.6.png
    8.6.png
    10.8 KB · Views: 591
Physics news on Phys.org
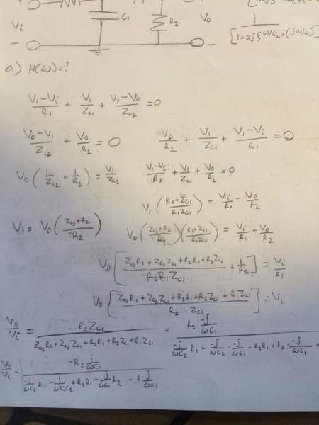
Here is my attempt

ImageUploadedByPhysics Forums1397084399.482648.jpg
 
EDIT: my table was wrong.

This is a bandpass transfer function with two corners so I don't know what they mean by "the cutoff frequency ". There is no one cutoff frequency ωc.

But you can do the Bode plots OK. I have the two corner frequencies & mid-band gain if you want to compare results.
 
Last edited:
I haven't done the bode plots because I don't know if my part (a) is correct
 
Your units are not correct, therefore I know your answer is not correct.
The transfer function should be unit less. Yours is not.

your first two equations look correct.
Go through your work and check the units. You should be able to find your mistake.

Hint: get everything over one common denominator. your units are 1/(Ω^2). you want your units to be Ω/Ω
 
I see now where I made that mistake, I will have to fix that. Also, once I get an expression, how will I be able to determine what my expression should be for the cut off frequency?
 
edit:Due to the fact that there are two energy storing elements, there will be two break frequencies.

Also when presenting your equation reduce it so everything is over one common denominator. Then you can see the poles and zeros.
 
Last edited:
note: this is a band pass system. you will have both a low and high cutoff frequency.
 
Maylis said:
I haven't done the bode plots because I don't know if my part (a) is correct

I would use s rather than jω in your transfer function. Bode plots are easier that way.
You should have used s to begin with in your analysis rather than jω anyway. I personally get a headache with all those complex numbers floating around!
 
  • #10
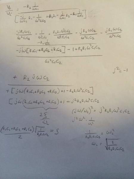
ImageUploadedByPhysics Forums1397232839.445913.jpg


ImageUploadedByPhysics Forums1397232860.228226.jpg


I have no idea how I would find 2 cutoff frequencies, I just tried to put my pole into the form of a quadratic and my Zero as a simple zero
 
  • #11
By the way guys, as far as I can tell and what the TA has pointed me to, this isn't a bandpass filter.
 
  • #12
Maylis said:
View attachment 68550

View attachment 68551

I have no idea how I would find 2 cutoff frequencies, I just tried to put my pole into the form of a quadratic and my Zero as a simple zero

A quadratic has how many solutions?
Your zero does not contribute to either corner frequency.
 
  • #13
Maylis said:
By the way guys, as far as I can tell and what the TA has pointed me to, this isn't a bandpass filter.

Just look at the diagram.
Put dc into the input. What is the dc output? (Hint: think C2).

Put a very high frequency into the input. What is the output? (Hint: think C1).

Either you have the wrong problem statement or the wrong TA!
 
  • #14
Maylis said:
By the way guys, as far as I can tell and what the TA has pointed me to, this isn't a bandpass filter.
If it is not a bandpass filter, the bode plot will show what it is.
 
Last edited:

Similar threads

  • · Replies 3 ·
Replies
3
Views
3K
  • · Replies 16 ·
Replies
16
Views
2K
  • · Replies 26 ·
Replies
26
Views
3K
  • · Replies 2 ·
Replies
2
Views
2K
  • · Replies 7 ·
Replies
7
Views
3K
  • · Replies 2 ·
Replies
2
Views
2K
  • · Replies 14 ·
Replies
14
Views
3K
  • · Replies 5 ·
Replies
5
Views
5K
  • · Replies 10 ·
Replies
10
Views
6K
  • · Replies 2 ·
Replies
2
Views
8K