What Value Must n Be for a Glancing Elastic Collision to Occur?

  • Thread starter Thread starter Fizics14
  • Start date Start date
  • Tags Tags
    Collison Elastic
Click For Summary

Homework Help Overview

The discussion revolves around a glancing elastic collision involving two masses, m and M, where M is defined as nm. Participants are tasked with determining the value of n that satisfies the conditions for an elastic collision, given that the angles θ and ø sum to π/2.

Discussion Character

  • Exploratory, Assumption checking, Mathematical reasoning

Approaches and Questions Raised

  • Participants explore the conservation of kinetic energy and momentum in the context of the collision. There are attempts to derive equations relating the initial and final velocities of the masses, with some participants expressing uncertainty about incorporating the angles θ and ø into their calculations.

Discussion Status

Several participants have provided insights and alternative approaches, including the use of momentum and kinetic energy equations. There is an ongoing exploration of the implications of different values for n, with some suggesting that both n = 1 and n = 0 could be solutions, while others question the validity of n = 0 in the context of mass.

Contextual Notes

Participants note the constraints of the problem, including the requirement for the collision to be elastic and the specific relationship between the angles involved. There is also mention of the need for algebraic verification of proposed solutions.

Fizics14
Messages
12
Reaction score
0
1. Two masses, m and M are involved in a glacing collision as seen below where θ and ø= pi/2.
If M = nm what must n be such that the collision is elastic?

Remember if θ+ø=pi/2 then cos(θ)=sin(ø) and cos(ø)=sin(θ)

http://i934.photobucket.com/albums/ad181/Blake1090/5D07BDBF-C8CB-4A7F-BC36-1579FC060D6F_zpsmpdvbk61.jpg


2. I am suppose to find an number for n.



3. ∑KEo=∑KEf
1/2m[itex]_{1}[/itex]v[itex]^{2}_{0}[/itex]+0=1/2m[itex]_{1}[/itex]v[itex]^{2}_{f1}[/itex]+1/2m[itex]_{2}[/itex]v[itex]^{2}_{f2}[/itex]

substitute m[itex]_{1}[/itex]n for m[itex]_{2}[/itex] and cancel the 1/2m[itex]_{1}[/itex]

v[itex]^{2}_{o1}[/itex]=v[itex]^{2}_{f1}[/itex]+nv[itex]^{2}_{f2}[/itex]
n=[itex]\frac{v^{2}_{o1}-v^{2}_{f1}}{v^{2}_{f2}}[/itex]

Not sure what to do from here please help. I know I'm probably suppose to use the θ and ø, but I'm not sure how to incorporate it.

Homework Statement



Known: M=nm, θ+ø=pi/2
Unknown: n

Homework Equations



W[itex]_{NC}[/itex]=ΔKE+ΔPE
KE=[itex]\frac{1}{2}[/itex]mv[itex]^{2}[/itex]
Momentum=∑p=mv[itex]_{f}[/itex]-mv[itex]_{o}[/itex]

The Attempt at a Solution



PS sorry I kinda messed this up it is my first post.
 
Last edited:
Physics news on Phys.org
Fizics14 said:
1. Two masses, m and M are involved in a glacing collision as seen below where θ and ø= pi/2.
If M = nm what must n be such that the collision is elastic?

Remember if θ+ø=pi/2 then cos(θ)=sin(ø) and cos(ø)=sin(θ)

http://i934.photobucket.com/albums/ad181/Blake1090/5D07BDBF-C8CB-4A7F-BC36-1579FC060D6F_zpsmpdvbk61.jpg


2. I am suppose to find an number for n.



3. ∑KEo=∑KEf
1/2m[itex]_{1}[/itex]v[itex]^{2}_{0}[/itex]+0=1/2m[itex]_{1}[/itex]v[itex]^{2}_{f1}[/itex]+1/2m[itex]_{2}[/itex]v[itex]^{2}_{f2}[/itex]

substitute m[itex]_{1}[/itex]n for m[itex]_{2}[/itex] and cancel the 1/2m[itex]_{1}[/itex]

v[itex]^{2}_{o1}[/itex]=v[itex]^{2}_{f1}[/itex]+nv[itex]^{2}_{f2}[/itex]
n=[itex]\frac{v^{2}_{o1}-v^{2}_{f1}}{v^{2}_{f2}}[/itex]

Not sure what to do from here please help. I know I'm probably suppose to use the θ and ø, but I'm not sure how to incorporate it.

Homework Statement



Known: M=nm, θ+ø=pi/2
Unknown: n

Homework Equations



W[itex]_{NC}[/itex]=ΔKE+ΔPE
KE=[itex]\frac{1}{2}[/itex]mv[itex]^{2}[/itex]
Momentum=∑p=mv[itex]_{f}[/itex]-mv[itex]_{o}[/itex]

The Attempt at a Solution



PS sorry I kinda messed this up it is my first post.
From conservation of energy:

mv02 = nmv12 + mv22

which can be rewritten:

(1) [itex]v_0^2 = nv_1^2 + v_2^2[/itex]

Now draw the vectors for the initial and final momenta of each body. What is the relationship between the initial total momentum and the final total momentum?

Since the final momentum vectors are at right angles to each other, what is the length of the sum of those two vectors (i.e. the magnitude of the final total momentum)? How is that length related to the length of the initial momentum vector?

Now compare that relationship with (1).

AM
 
The momentum should be equal since it is elastic so I'm assuming the vector before the collision should be equal to the vectors after the collision right? So I solved for two different equations. Separated them by x and y components. I'm not sure what to solve for now. I really need help I have to present this to the class on Monday!
ImageUploadedByPhysics Forums1397929557.646723.jpg
 
Fizics14 said:
The momentum should be equal since it is elastic so I'm assuming the vector before the collision should be equal to the vectors after the collision right? So I solved for two different equations. Separated them by x and y components. I'm not sure what to solve for now. I really need help I have to present this to the class on Monday!
View attachment 68814

while that method will work, it is easier to follow Andrew Mason's advice and draw the diagram representing the addition of the two vectors (the momenta of the two objects after collision). Every diagram representing the addition of two vectors is a triangle. For this problem that triangle turns out to be a square triangle which allows you to use Pythagoras theorem to relate the momenta of the particles before and after the collision.
 
How does finding that vector help me solve for n?
 
It will give you another equation. right now you have only one equation [itex]v^{2}_{o1}=v^{2}_{f1}+nv^{2}_{f2},[/itex] but that isn't enough because you don't know the speeds.
 
dauto said:
It will give you another equation. right now you have only one equation [itex]v^{2}_{o1}=v^{2}_{f1}+nv^{2}_{f2},[/itex] but that isn't enough because you don't know the speeds.
Okay so is this correct? Can you square both sides of that equation?
Here is my attempt and now I'm stuck...
ImageUploadedByPhysics Forums1397930687.612270.jpg
 
Fizics14 said:
Okay so is this correct? Can you square both sides of that equation?
Here is my attempt and now I'm stuck...
View attachment 68815

You're almost there. Your triangle looks right, but you labeled it with speeds v. speed isn't a conserved quantity. you should've labeled the triangle with momenta p where p = mv. Momentum is a conserved quantity.
 
  • #10
When I change it to momentum I think it just solves for the equation we already have right?
By the way thank you so much for helping! I'm sorry I'm so bad at this :/
 
Last edited:
  • #11
Fizics14 said:
When I change it to momentum I think it just solves for the equation we already have right?
By the way thank you so much for helping!

No, not right. You get a different equation. Do it.
 
  • #12
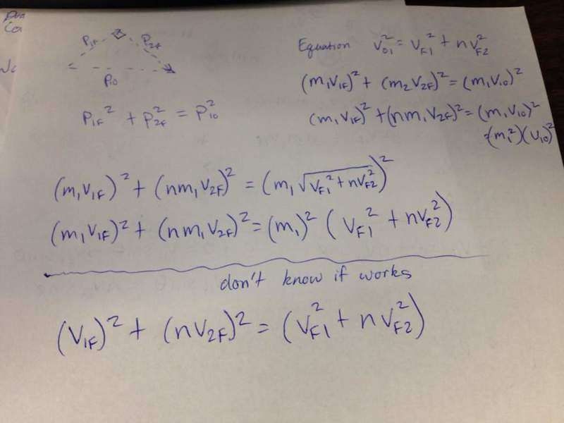
My attempt:
ImageUploadedByPhysics Forums1397932555.307993.jpg
 
  • #13
Yes, that's the equation. Now, what can be canceled out of that equation at the bottom of the page?
 
  • #14
Fizics14 said:
My attempt:
View attachment 68818
Ok. So what value of n satisfies that relationship:

[itex]v_{f1}^2 + (nv_{f2})^2 = (v_{f1}^2 + nv_{f2}^2)[/itex]

AM
 
Last edited:
  • #15
Is it just 1?
 
  • #16
ding ding ding!
 
  • #17
Sweet haha thanks you guys so much!
 
  • #18
Fizics14 said:
Is it just 1?

Very good. Is that a guess? Work it out algebraically to show that n = 1 and then we will give you full marks.

AM
 
  • #19
There is another solution. Can you see it?
 
  • #20
I'm guessing zero so I should probably put both
 
  • #21
Yes, it is zero, but don't guess it. Find it algebraically. Even though zero is a solution, there is something wrong with it. Can you tell what it is?
 
  • #22
Yes I did find it algebraically, but there is something wrong because then the mass would just be zero which can't be true.
 
  • #23
Well there are particles that are truly massless such as the photon but they are governed by relativistic formulae which are different than the ones you used, so you would have to redo your calculations. Alternatively you might say that the particle really isn't massless but has a negligible mass, in which case the angle really isn't 90 degrees, but it is close.
 
Last edited:
  • #24
I was thinking of a point particle with infinitesimal mass like that but I don't think that's what the problem is about. Thank you! I'll be back no doubt!
 
  • #25
dauto said:
Well there are particles that are truly massless such as the photon but they are governed by relativistic formulae which are different than the ones you used, so you would have to redo your calculations. Alternatively you might say that the particle really isn't massless but has a negligible mass, in which case the angle really isn't 90 degrees, but it is close.

How does n=0 satisfy:

[itex]v_{f1}^2 + nv_{f2}^2 = v_{f1}^2 + v_{f2}^2[/itex]?

If n is very small it does not begin to satisfy the relationship. I think n=1 is the only solution.

By the way, billiards players know that the angle between the cue ball and object ball is 90° (absent spin on the cue ball).

AM
 
  • #26
Andrew Mason said:
How does n=0 satisfy:

[itex]v_{f1}^2 + nv_{f2}^2 = v_{f1}^2 + v_{f2}^2[/itex]?

If n is very small it does not begin to satisfy the relationship. I think n=1 is the only solution.

By the way, billiards players know that the angle between the cue ball and object ball is 90° (absent spin on the cue ball).

AM

that's not the equation I got. My solution looks like

[itex]v_{f1}^2 + nv_{f2}^2 = v_{f1}^2 + n^2v_{f2}^2[/itex]
 
  • #27
dauto said:
that's not the equation I got. My solution looks like

[itex]v_{f1}^2 + nv_{f2}^2 = v_{f1}^2 + n^2v_{f2}^2[/itex]
Ok. Same thing. There is really a discontinuity at n=0. For any n in an arbitrarily small neighbourhood of 0, n does not come close to satisfying the equation.

The condition that the bodies recoil at 90° to each other is not met using classical mechanics if the mass of the second particle (the one initially at rest) is zero.

AM
 
Last edited:

Similar threads

  • · Replies 9 ·
Replies
9
Views
3K
  • · Replies 1 ·
Replies
1
Views
3K
  • · Replies 3 ·
Replies
3
Views
2K
  • · Replies 4 ·
Replies
4
Views
3K
Replies
3
Views
2K
Replies
3
Views
4K
  • · Replies 2 ·
Replies
2
Views
1K
  • · Replies 2 ·
Replies
2
Views
2K
  • · Replies 8 ·
Replies
8
Views
2K
Replies
6
Views
10K