What's the name of this type of function?

  • Context: Undergrad 
  • Thread starter Thread starter Gabriela
  • Start date Start date
  • Tags Tags
    Function Type
Click For Summary

Discussion Overview

The discussion revolves around identifying the name of a specific type of function, with participants exploring concepts related to piece-wise defined functions and composite functions. The scope includes theoretical definitions and interpretations of function types.

Discussion Character

  • Debate/contested, Conceptual clarification

Main Points Raised

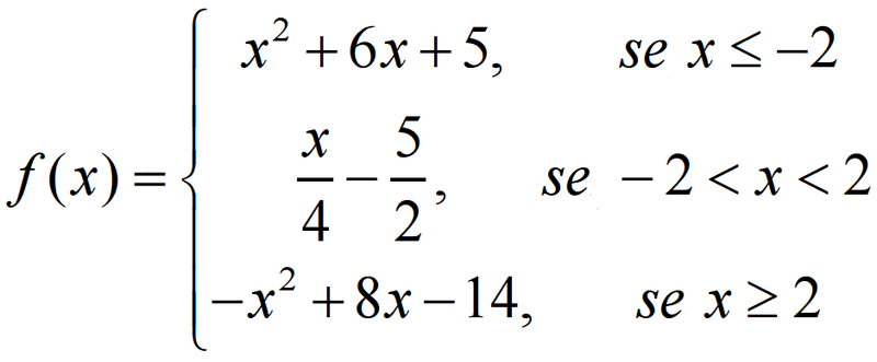
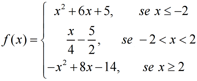
  • Some participants propose that the function in question is a piece-wise defined function, noting that the formula varies across different parts of its domain.
  • Others argue that it is a composite, continuous function and express uncertainty about whether it has a specific name.
  • A later reply reiterates the piece-wise defined function perspective, affirming the earlier claims.
  • There is a side discussion about the meaning of "Se," with some participants clarifying that it is Portuguese for "if."

Areas of Agreement / Disagreement

Participants express differing views on the classification of the function, with some asserting it is piece-wise defined and others suggesting it is a composite function. No consensus is reached regarding a definitive name for the function.

Contextual Notes

Some claims depend on interpretations of function definitions, and there is ambiguity regarding the naming conventions for the types of functions discussed.

Gabriela
Messages
3
Reaction score
0
fun%C3%A7%C3%A3o_de_3_partes.png
 

Attachments

  • fun%C3%A7%C3%A3o_de_3_partes.png
    fun%C3%A7%C3%A3o_de_3_partes.png
    14.9 KB · Views: 1,030
Physics news on Phys.org
This is simply a composite, continuous function. I don't think it has a certain name. How does it come you expect one?
 
fresh_42 said:
This is simply a composite, continuous function. I don't think it has a certain name. How does it come you expect one?
it's a piece-wise defined function, thanks
 
Mark44 said:
piece-wise defined function
thank you so so much!
 
Abhishek kumar said:
Se stand for what?
Portuguese for "if", but it is clear from context anyway.
 
fresh_42 said:
Portuguese for "if", but it is clear from context anyway.
Thank you
 

Similar threads

  • · Replies 11 ·
Replies
11
Views
3K
  • · Replies 9 ·
Replies
9
Views
2K
  • · Replies 3 ·
Replies
3
Views
3K
  • · Replies 27 ·
Replies
27
Views
6K
  • · Replies 3 ·
Replies
3
Views
3K
Replies
7
Views
3K
  • · Replies 12 ·
Replies
12
Views
3K
  • · Replies 1 ·
Replies
1
Views
2K
  • · Replies 1 ·
Replies
1
Views
1K
  • · Replies 5 ·
Replies
5
Views
3K