I What's the underlying frame of the Einstein's Field Equation?

  • #51
Pyter said:
Am I on the right track?
No.

Pyter said:
I think I've spent on them quite some time already :).
It doesn't seem like it from what you're posting.

Pyter said:
I've found those charts in those textbooks.
What textbooks?

Pyter said:
What would be another example of a legit chart on a manifold that doesn't map a N+1 space into a N space? Charts for a 2D spherical surface, for instance.
Latitude and longitude on a sphere. These are coordinates just on the sphere, and do not either account for or require the sphere to be embedded in a higher dimensional space.

The same is true of every chart used in GR.

Pyter said:
So far I've looked into the most famous one, the Schwartzschild solution
It doesn't seem like it, since none of the descriptions you have given of how you think the EFE is solved bear any resemblance at all to how the EFE is actually solved to obtain the Schwarzschild solution.

Pyter said:
that didn't answer my questions on the general case.
If your understanding of that one special case is wrong, as it seems to me to be, of course you're not going to learn anything about the general case from it.
 
  • Like
Likes vanhees71
Physics news on Phys.org
  • #52
I wrote an Insight on solving the EFEs for a fairly simple non-vacuum case, here, which may be of interest. It's a fairly bull-at-a-gate approach, but there are ways to make it more elegant discussed at the end.
 
  • Like
Likes vanhees71 and Pyter
  • #53
PeterDonis said:
No.
Closer at least?
PeterDonis said:
What textbooks?
For instance, in Intro to Differential Geometry and General Relativity - S. Waner, page 10, I've found:

1640383408343.png


1640383877911.png

1640383942008.png


PeterDonis said:
Latitude and longitude on a sphere. These are coordinates just on the sphere, and do not either account for or require the sphere to be embedded in a higher dimensional space.

The same is true of every chart used in GR.
See above. I count n+1 dimensions for the ambient space, n dimensions for the sphere.
PeterDonis said:
If your understanding of that one special case is wrong, as it seems to me to be, of course you're not going to learn anything about the general case from it.
That's why I'm on this forum asking you GR megaexperts for help :)
 
  • #55
Pyter said:
Closer at least?
No.

Pyter said:
For instance, in Intro to Differential Geometry and General Relativity - S. Waner, page 10, I've found:
Hm. Is this the only GR textbook you've looked at? Its approach is completely different from that of any GR textbook I've read. Part of the problem may be that it's written by a mathematician, not a physicist; but it's still surprising to me because a mathematician should understand even better than a physicist the theory of the intrinsic curvature of manifolds, without regard to the usage or even the existence of an embedding in a higher dimensional space.

In short, I do not think this is a good reference.

Pyter said:
That's why I'm on this forum asking you GR megaexperts for help :)
But you're not listening to the help we're giving you. You keep making the same wrong assertions even after you've been told they're wrong multiple times. If you want help, you have to listen to it.

For some specific examples, you can look at the Insights articles that @Ibix and I linked to. Also here are some examples from GR textbooks and lecture notes:

Sean Carroll's lecture notes on GR [1], Chapter 7, discusses the Schwarzschild solution and how it can be obtained. (Carroll also has a textbook which contains all the material in the lecture notes plus more, but the notes are nice because they're available for free online.)

Carroll's notes, Chapter 8, discusses the FRW solutions used in cosmology and how they can be obtained.

Misner, Thorne, & Wheeler, Chapter 23, discusses how to construct solutions describing static, spherically symmetric stars.

MTW, Chapter 27, discusses how to construct idealized cosmological models of the universe.

MTW, Chapters 31 and 32, discuss black hole solutions and various coordinate charts used for them.

Wald, Chapter 5, discusses cosmological models and solutions.

Wald, Chapter 6, discusses the Schwarzschild solution and its derivation.

[1] https://arxiv.org/abs/gr-qc/9712019
 
  • Like
Likes vanhees71 and dextercioby
  • #56
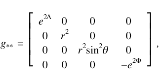
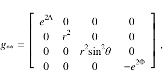
The Schwartschild solution in the textbook I've just mentioned is built to find g** of the form:
1640385782229.png

1640385798121.png

(So I was right, the SET is also function of g**).
After setting some more constraints, T** becomes:
1640385848463.png

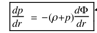
Then, after imposing that the equations of motions:
1640386219606.png

are satisfied, we have the additional constraint:
1640386068408.png

Then it goes on to solve the differential equations for the single components, finding:
1640386845863.png

Just looking at this, you'd think that the r in the equations is the actual radius of the star measured in our continuum, while it's a linear (local) coordinate, and that enough is a source of confusion to me.
Also the variable t is a linear/local coordinate, which doesn't match the actual time measured by an external observer. You compute the latter through the metric.
 

Attachments

  • 1640385737744.png
    1640385737744.png
    1.8 KB · Views: 111
  • #57
Besides, I really don't know how I could infer the general case from that special case.
PeterDonis said:
a mathematician should understand even better than a physicist the theory of the intrinsic curvature of manifolds, without regard to the usage or even the existence of an embedding in a higher dimensional space.
Intuitively I thought that the very concept of "curvature" implied the embedding on a higher space.
If you only have a 1D space, you wouldn't have "curved" or "straight" lines, you'd only have "lines", because the curvature only appears in a 2D space or higher. Same thing for the 2D, and higher dimensions, surfaces.
After all, the curvature of a surface is the rate of change of its normal vector, and that is "outside" the surface, in a higher dimension space.
 
  • #58
  • #59
Pyter said:
The Schwartschild solution in the textbook I've just mentioned is built to find g** of the form:
Yes, that's one of the possible ways of writing the metric for a spherically symmetric spacetime. Note that it has two unknown functions in it, ##\Lambda## and ##\Phi##.

Pyter said:
(So I was right, the SET is also function of g**).
That SET is the general form of the SET for a perfect fluid. In order to see why the metric appears in it, write it this way:

$$
T^{ab} = \rho u^a u^b + p \left( g^{ab} + u^a u^b \right)
$$

The tensor multiplying ##p## is the projection tensor into spacelike hypersurfaces orthogonal to the fluid. In other words, the metric appears in it in order to reflect the physical fact that, in the rest frame of the fluid, the pressure is purely spatial. (Note that this expression is valid in any coordinate chart.)

Pyter said:
Just looking at this, you'd think that the r in the equations is the actual radius of the star measured in our continuum
No, you wouldn't. Look at the metric. The increment of radial distance is not ##dr##, it's ##e^\Lambda dr##. The coordinate ##r## is, again looking at the metric, the "areal radius", i.e., the area of a 2-sphere with radial coordinate ##r## is ##4 \pi r^2##.

Pyter said:
while it's a linear (local) coordinate
No, it isn't. It's a global coordinate on the spacetime.

Pyter said:
and that enough is a source of confusion to me.
Your confusion appears to be the result of an incorrect understanding of what you are reading. See above.

Pyter said:
Also the variable t is a linear/local coordinate
No, it isn't. It's a global coordinate on the spacetime. The chart you are looking at is a global chart, not a local one.

Pyter said:
which doesn't match the actual time measured by an external observer.
Yes, it does, for the usual meaning of "external observer". The ##t## coordinate matches proper time for an observer at infinity. It does not match proper time for an observer at finite ##r##; the increment of proper time for such an observer is ##e^\Phi dt##, not ##dt##. But such an observer is a "local" observer, not an "external" observer.

Pyter said:
You compute the latter through the metric.
You compute the proper time for an observer at finite ##r## using the metric, yes, as I just did above. (Note, though, that that expression is only valid for an observer who "hovers" at the same ##r##, ##\theta##, ##\phi## forever.)
 
  • #60
Pyter said:
I really don't know how I could infer the general case from that special case.
If you look at the Insights articles or the textbook references that have been given, you will see specific solutions being derived using the same general method.

Pyter said:
Intuitively I thought that the very concept of "curvature" implied the embedding on a higher space.
Then you thought wrong. It doesn't. As you have already been told repeatedly in this thread.

Pyter said:
If you only have a 1D space, you wouldn't have "curved" or "straight" lines, you'd only have "lines", because the curvature only appears in a 2D space or higher.
That is correct, but it does not generalize the way you claim.

Pyter said:
Same thing for the 2D, and higher dimensions, surfaces.
Wrong. For any manifold of 2 or more dimensions, there is a well-defined intrinsic curvature that does not require the usage or even the existence of an embedding in any higher dimensional space.

Pyter said:
the curvature of a surface is the rate of change of its normal vector
That is extrinsic curvature, not intrinsic curvature (intrinsic curvature is sometimes also called Gaussian curvature in the literature). The spacetime curvature referred to in GR is intrinsic curvature. If all of your knowledge of curvature up to now has been of extrinsic curvature, no wonder you're having problems. You need to study the definition and examples of intrinsic curvature so that you understand it. It is a different concept from extrinsic curvature.
 
  • #61
PeterDonis said:
The chart you are looking at is a global chart, not a local one.
I don't understand what you mean by "local" or "global" chart. To me a chart is a set of functions mapping the N+1 coordinates of the ambient (embedding) space to the N local coordinates of the N-dimensional manifold.
Here's another example of that type of charts: http://berkeleyscience.com/gr.htm
Why should you use curvilinear coordinates for T** and G** when you have the linear, local coordinates at your disposal?
 
  • #62
Pyter said:
To me a chart is a set of functions mapping the N+1 coordinates of the ambient (embedding) space to the N local coordinates of the N-dimensional manifold.
That's not what a "chart" is in any GR textbook I've read, certainly not in any of the references you've been given, or in any of the Insights articles you've been referred to, or in the examples you yourself have been posting. In the example you've given, Schwarzschild coordinates in a spherically symmetric spacetime, the spacetime itself is a 4-dimensional manifold and you have 4 coordinates, ##t##, ##r##, ##\theta##, ##\phi##. Each point in the spacetime is labeled by a 4-tuple of coordinates, with appropriate properties of continuity. There is no "mapping" to any embedding space anywhere.

Since the chart covers the entire spacetime (at least in the example you're discussing--note that this would not be true in the case of a black hole, but you should not even try to understand that case until you understand the simpler case of a spherically symmetric massive body surrounded by vacuum, which is what the example you've been posting is describing), it is global. A "local" chart in GR is something like the Riemann normal coordinates I described earlier; the coordinates are "local" because the expression for the metric in these coordinates is exactly valid only at the single chosen point on which the coordinates are centered, and becomes more and more inaccurate as you get further away from that point. The expression for the metric in Schwarzschild coordinates, however, is valid everywhere.

Pyter said:
Why should you use curvilinear coordinates for T** and G** when you have the linear, local coordinates at your disposal?
You do not have "linear, local coordinates" at your disposal, not the way you are using that term. You do not have any embedding of spacetime in any higher dimensional Euclidean space. The examples you have given of embeddings are not of spacetime, they're of 2-surfaces in Euclidean 3-space. Those examples do not generalize to spacetime. They just don't. If you continue to insist on treating spacetime this way, this thread will be closed as that is not the way it is done in the GR literature and we cannot help you if you insist on continuing to try to understand it that way. It won't work.
 
  • #63
PeterDonis said:
If you look at the Insights articles or the textbook references that have been given, you will see specific solutions being derived using the same general method.
It would take me weeks, I hoped to have a quicker answer.
So far what I gleaned from this thread is: you can choose whatever type of coordinates you see fit. Of course the resulting g** will vary accordingly, I might add.
The only thing I'm missing is how to link the physical observation of the mass points to the setup of the EFE in the general case.
 
  • #64
Pyter said:
Here's another example of that type of charts: http://berkeleyscience.com/gr.htm
You seem to have a talent for picking bad sources. I see no point in trying to deconstruct what is wrong with this one when we have given you a number of good sources already.
 
  • #65
PeterDonis said:
You seem to have a talent for picking bad sources. I see no point in trying to deconstruct what is wrong with this one when we have given you a number of good sources already.
It's based on Richard L. Faber, "Differential Geometry and Relativity Theory", Marcel Dekker, 1983.
I guess also that one goes in the trashcan.
 
  • #66
Pyter said:
It would take me weeks, I hoped to have a quicker answer.
As Euclid is supposed to have said to a king who wanted a quicker answer from him, there is no royal road to learning.

You do realize that those of us experts who are trying to help you here have spent years or decades studying GR, right?

Pyter said:
So far what I gleaned from this thread is: you can choose whatever type of coordinates you see fit. Of course the resulting g** will vary accordingly, I might add.
Yes, that is correct.

Pyter said:
The only thing I'm missing is how to link the physical observation of the mass points to the setup of the EFE in the general case.
Ok, here's the fully general case. Pick coordinates ##x^\mu##, where ##\mu## ranges from ##0## to ##3##. The general expression for the metric in these coordinates is:

$$
ds^2 = g_{\mu \nu} x^\mu x^\nu
$$

where ##g_{\mu \nu}## is a symmetric, 2nd-rank tensor with 10 independent components. Each of those 10 independent components is an unknown function of the four coordinates. (I have used the Einstein summation convention in the above, so the expression on the RHS is actually a sum of 10 terms in the general case.)

Now just compute the Einstein tensor of the above and set each of its 10 independent components (which will be a differential equation in the ##g_{\mu \nu}## and their first and second derivatives) equal to the corresponding component of the SET, which will be another function of the four coordinates, which might be known or unknown. (If ##g_{\mu \nu}## appears in the SET, that just becomes part of the unknown function of the four coordinates for that SET component.)

You now have a system of 10 second order differential equations for (possibly, depending on how many SET components you know) up to 20 unknown functions of the four coordinates. Then all you have to do is solve it. Good luck.
 
  • #67
Pyter said:
It's based on Richard L. Faber, "Differential Geometry and Relativity Theory", Marcel Dekker, 1983.
I guess also that one goes in the trashcan.
Are these the only textbooks you have read? They're both by mathematicians. Have you read any textbooks by physicists? Such as, oh, I don't know, the two classic textbooks in the field that I've already referenced (MTW and Wald)? Or the nice introductory lecture notes by Carroll, another physicist?
 
  • #68
Pyter said:
It's based on Richard L. Faber, "Differential Geometry and Relativity Theory", Marcel Dekker, 1983.
I guess also that one goes in the trashcan.
Based on the seriously mistaken understanding these books appear to have given you, yes, they should go in the trash can.
 
  • #69
PeterDonis said:
Are these the only textbooks you have read? They're both by mathematicians. Have you read any textbooks by physicists? Such as, oh, I don't know, the two classic textbooks in the field that I've already referenced (MTW and Wald)? Or the nice introductory lecture notes by Carroll, another physicist?
As I've answered in another thread, I also read the Dirac textbook, but it's very criptic even if it covers a lot of subjects that others don't, like the EM field component of the SET.
I have the MTW in my library but it's more than 1000 pages thick, I think I'll go with the Wald.
BTW are you little biased towards mathematicians or is it just an impression of mine :)?
PeterDonis said:
Now just compute the Einstein tensor of the above and set each of its 10 independent components (which will be a differential equation in the and their first and second derivatives) equal to the corresponding component of the SET, which will be another function of the four coordinates, which might be known or unknown. (If appears in the SET, that just becomes part of the unknown function of the four coordinates for that SET component.)
Ok but how the (at least initial) observations of the masses enters the picture, as in the solar system scenario I've brought up?
 
  • #70
PeterDonis said:
You now have a system of 10 second order differential equations for (possibly, depending on how many SET components you know) up to 20 unknown functions of the four coordinates. Then all you have to do is solve it. Good luck.
Of course no physicist actually does this. That's why asking for "the general case" of solving the EFE is pointless.

What physicists actually do is look for various different ways of reducing the number of unknowns in the above scheme. The most obvious way is to assume various symmetries for the spacetime. For example, spherical symmetry, as I said before, reduces the number of unknown functions in the metric to two; and furthermore, even if we make no other assumptions, we know that those two functions can only be functions of the ##r## and ##t## coordinates, not the angular coordinates (assuming we are using standard Schwarzschild coordinates). And it turns out that in this general case there are only three independent components of the EFE, so we have three independent components of the SET that are possibly unknown functions. That reduces us to three differential equations for five unknown functions, so all we have to do is make some specific assumption for two of the unknown functions and we have a well-defined solution. (What I have just said is a quick summary of the Insights article of mine on the Einstein Field Equation for a spherically symmetric spacetime.)

But of course there are many other possible symmetries one could try; or one could try other ways of reducing the number of unknowns, by making other restricting assumptions. So there is not just one "general case" of solving the EFE. There are lots and lots of different special cases, and the best way to understand how they work is to actually go look at them and work with them, one at a time. The references we have already given are a good start.
 
  • #71
Pyter said:
I have the MTW in my library but it's more than 1000 pages thick, I think I'll go with the Wald.
If you have a more mathematically rigorous bent, Wald is probably a better choice anyway. There is lots of math in MTW, but in general their approach is less rigorous and more geared towards physical intuition.

Pyter said:
BTW are you little biased towards mathematicians or is it just an impression of mine :)?
There's nothing wrong with math, but it's not physics. If you want to learn physics, you should learn it from physicists, just as if you want to learn math, you should learn it from mathematicians. Mathematicians are just as horrified at physicists' attempts to teach math as physicists are at mathematicians' attempts to teach physics. :wink:
 
  • Like
Likes dextercioby
  • #72
Pyter said:
how the (at least initial) observations of the masses enters the picture, as in the solar system scenario I've brought up?
Please read my post #70 first before trying to respond to my description of the general case.
 
  • #73
Pyter said:
how the (at least initial) observations of the masses enters the picture, as in the solar system scenario I've brought up?
Assuming you've read post #70, here goes.

To analyze the solar system, we make a number of restrictive assumptions to reduce the number of unknowns. In the simplest case, where we consider the Sun to be the only massive body and the planets to be test objects, and we assume the Sun to be non-rotating and therefore spherically symmetric, we have already reduced the number of unknown functions in the metric to two, and since we are assuming vacuum outside the Sun itself (and we're not trying to solve for the Sun's interior), we have no unknown functions at all in the SET, since all of its components are just zero. And we already know that in this case, there is just one unique solution of the EFE, the Schwarzschild solution, in which the metric components are just functions of ##r##, and there is really only one such function that has to be determined by solving the EFE, which turns out to be ##1 - 2M / r## (with ##M## the Sun's mass), since the same function appears in both ##g_{tt}## and ##g_{rr}## (just in the denominator of the latter). (The theorem that proves this is called Birkhoff's theorem, and the proof is discussed in the Insights article on it that I referenced.)

Notice that nowhere in any of this did any "initial conditions" appear. That's because this solution is static, so there is no need for any "initial conditions" for the solution; it's the same at all times. The initial conditions for the motion of the planets is only needed to solve the geodesic equation for the orbits of each planet, not to solve the EFE itself. (I already pointed this out to @cianfa in an earlier post.)
 
  • Like
Likes Pyter
  • #74
Pyter said:
Intuitively I thought that the very concept of "curvature" implied the embedding on a higher space.
It does not - you are confusing two very different concepts: intrinsic curvature and extrinsic curvature.

The surface of a two-dimensional sphere (such as the idealized surface of the earth) has intrinsic curvature. The interior angles of triangles sum to more than 180 degrees, the Pythagorean theorem does not in general work, there are no parallel "straight lines" (these are great circles) because any two will always intersect at two points, ... All of these curvature effects are observed without ever leaving the two-dimensional surface of the Earth and are calculated and observed without ever involving the third dimension. More formally, the Riemann tensor is non-zero everywhere (and note that this is a coordinate-independent statement). Indeed, the whole point of differential geometry is to provide a mathematical treatment of N-dimensional manifolds without embedding them in a higher-dimensional space.

Extrinsic curvature is what happens when we bend an N-dimensional surface through a higher-dimensional space without distorting its geometry. Everyone's favorite example is the cylinder formed by bending a two-dimensional sheet of paper through the third dimension and joining the edges to form a tube: the surface remains euclidean and the hypothetical two-dimensional inhabitants of the sheet of paper will find none of the locally measurable effects that we find on the surface of a sphere. Formally, the Riemann tensor is zero everywhere - no curvature.
If you only have a 1D space, you wouldn't have "curved" or "straight" lines, you'd only have "lines", because the curvature only appears in a 2D space or higher. Same thing for the 2D, and higher dimensions, surfaces.
It is true that a 1D space cannot have intrinsic curvature (it can have extrinsic curvature - just form a closed circle and as with the two-dimensional tube no local property is affected), that the curvature of a 2D surface is characterized by a single number at every point, and so forth. But this has nothing to do with embedding in a higher dimension; we get these results by looking at the degrees of freedom of the Riemann tensor for the N-dimensional space we're considering. Which brings us to...
After all, the curvature of a surface is the rate of change of its normal vector
This is just plain wrong and may underlie much of your confusion here. The intrinsic curvature of a surface is defined by the Riemann tensor, and the Riemann tensor is defined by the behavior of infinitesimal vectors parallel transported within the manifold; no additional dimension is involved. That "rate of change of the normal vector" applies to extrinsic curvature and is completely irrelevant to general relativity.
 
  • Like
Likes Pyter
  • #75
PeterDonis said:
No, it isn't. It's a global coordinate on the spacetime. The chart you are looking at is a global chart, not a local one.
We're talking about the same thing. What I call "local coordinates" are what you call "global coordinates, labels attached to the spacetime events". I'm referring to the coordinates, each one ##\in E_1##, that a "local" chart covering all the manifold (thus actually a global chart) maps to, according to this definition:

1640454483620.png

1640454573870.png


To Waner's credit, he also notes that:

1640454510056.png


@PeterDonis I think I've got the solar system case. The link between the physical observation and the SET is very simple.
What about a more complex case, where you have multiple comparable masses in the same region? What kind of constraints should the physical observations put on the EFE?

Nugatory said:
That "rate of change of the normal vector" applies to extrinsic curvature and is completely irrelevant to general relativity
Somebody should tell it to this author:
The Rhijk are the components of the Riemann curvature tensor. Note that the Riemann curvature tensor is defined in terms of the Christoffel symbols, which are functions of the metric coefficients. The Lij and Lij are functions of how the normal vector U changes, i.e., the curvature of the surface. Gauss defined the curvature of a 2-d surface geometrically, and showed that it equals det([L])/det([g]). The Riemann curvature tensor allows the curvature to be computed from values that can be calculated in the surface, the gij. It provides the building blocks for the left side of Einstein's field equations.
 

Attachments

  • 1640455862750.png
    1640455862750.png
    9.6 KB · Views: 94
  • 1640454985269.png
    1640454985269.png
    9.6 KB · Views: 107
  • 1640454697267.png
    1640454697267.png
    9.6 KB · Views: 97
  • 1640454279912.png
    1640454279912.png
    60.4 KB · Views: 97
  • Skeptical
Likes weirdoguy
  • #76
Nugatory said:
The intrinsic curvature of a surface is defined by the Riemann tensor, and the Riemann tensor is defined by the behavior of infinitesimal vectors parallel transported within the manifold; no additional dimension is involved.
Just for the records, I've checked Dirac's General Theory Of Relativity and he also seems to adopt the approach of the immersion in the N+1 dimensional space when explaining the parallel transport:
1640456521488.png

1640456570753.png
 
  • Sad
Likes weirdoguy
  • #77
Pyter said:
What I call "local coordinates" are what you call "global coordinates, labels attached to the spacetime events".
Ok. That means the reference you give is using terrible terminology, different from the literature on GR written and used by physicsts.

Pyter said:
Somebody should tell it to this author:
No, somebody should, as I've already said, stop trying to learn physics from mathematicians. Physicists won't bother trying to tell the author this because none of them are going to read his book anyway. And mathematicians won't bother because they're not physicists and don't see the disconnect in the two bodies of literature.

That said, there is a key point that your reference fails to mention. It has chosen a particular embedding for the examples it gives of manifolds that makes the extrinsic curvature (the "rate of change of the normal vector") numerically equal to the intrinsic curvature (the Riemann tensor). But that does not make the two concepts identical, nor does it mean they will always be numerically equal for any embedding.

I strongly suggest that you take the time to read some references by physicists about GR, such as the ones we have already pointed out.
 
  • Like
Likes vanhees71
  • #78
Pyter said:
I've checked Dirac's General Theory Of Relativity and he also seems to adopt the approach of the immersion in the N+1 dimensional space when explaining the parallel transport:
Now check the references we gave you. What do they say?

Also note that Dirac does not say that ##N## dimensional curved spacetime is embedded in ##N + 1## dimensional flat space. He says that 4-dimensional spacetime can be treated as if it is embedded in ##N## dimensional flat space, without specifying what ##N## is. If you work it out, you will see that ##N## is not 4+1 in the case of 4-dimensional spacetime; it is greater (I think it works out to be 10 in the general case). Not all curved ##N## dimensional manifolds can be embedded in a flat ##N+1## dimensional space; that happens to be true for 2-dimensional manifolds but it does not generalize to higher dimensions.
 
  • Like
Likes vanhees71 and dextercioby
  • #79
PeterDonis said:
Now check the references we gave you. What do they say?
For instance Carroll says:

1640461159944.png

I was citing Dirac because he's a physicist and he talks about manifolds embedded into higher dimension spaces, that you so much abhor. Just sayin'.
We all agree that the EFE is not expressed in ambient coordinates.
 

Attachments

  • 1640461259409.png
    1640461259409.png
    29.2 KB · Views: 102
  • Sad
Likes weirdoguy
  • #80
Pyter said:
We all agree that the EFE is not expressed in ambient coordinates.
Yes, that was going to be the next thing I pointed out: that since your concern in this thread is solving the EFE, you should be looking at how all of the references discussed do that. They all do it in coordinates on the manifold itself, not making use of any embedding.
 
  • #81
Pyter said:
I was citing Dirac because he's a physicist and he talks about manifolds embedded into higher dimension spaces, that you so much abhor.
My point all along is that if you want to solve the EFE, looking at embeddings is the wrong way to do it. Of course the embeddings your references talk about exist mathematically. That doesn't mean they're useful for doing physics.
 
  • Like
Likes vanhees71
  • #82
As with Feynman and Weinberg's work on GR, Dirac's value of his 75 page brochure comes from treating GR as a classical field theory.
 
  • Like
Likes Pyter and vanhees71
  • #83
Pyter said:
Besides, I really don't know how I could infer the general case from that special case.

Intuitively I thought that the very concept of "curvature" implied the embedding on a higher space.
If you only have a 1D space, you wouldn't have "curved" or "straight" lines, you'd only have "lines", because the curvature only appears in a 2D space or higher. Same thing for the 2D, and higher dimensions, surfaces.
After all, the curvature of a surface is the rate of change of its normal vector, and that is "outside" the surface, in a higher dimension space.
No! It's crucial to understand that you can define a Riemannian (or for GR a pseudo-Riemannian) manifold without any reference to an embedding in an higher-dimensional Euclidean (or pseudo-Euclidean) affine (flat) space. This has been found already by Gauss when he investigated 2D surfaces embedded in 3D Euclidean affine space: You don't need the embedding space to describe all the intrinsic properties of the surface, including distances and angles as well as curvature.

For a straight-forward introduction to GR, I'd recommend Landau&Lifshitz vol. 2. It contains the utmost minimum of tensor calculus you need to understand GR (Ricci calculus and tensor components wrt. holonomous coordinates) and concentrates on the physics. For the more refined mathematical aspects as well as more modern mathematical tools, you may look at Misner, Thorne, Wheeler, Gravitation.
 
  • Like
Likes Klystron, Pyter, cianfa72 and 1 other person
  • #84
I've realized there's a big piece info I'm missing to get the whole picture: what coordinates system exactly is used for astronomical distances?

From my sparse notions, it should be a (quasi?)-Cartesian system with the z axis passing through the North Pole and the xy plane intersecting the Ecliptic line.
Of course a local chart in the tangent space can't be used because its Euclidean/Minkowskian approximation is only acceptable in a small region of the spacetime.

Does this frame take the curvature into account somehow?
 
  • #85
Pyter said:
what coordinates system exactly is used for astronomical distances?
The usual ones are FRW coordinates, of which there are several different versions, described here:

https://en.wikipedia.org/wiki/Friedmann–Lemaître–Robertson–Walker_metric#General_metric

The usual ones are not Cartesian because our astronomical observations are of angular positions of objects on the sky, with distances estimated from those and other observations. So spherical coordinates of some kind (with several different possibilities for the radial coordinate) are much more suitable.
 
  • Like
Likes vanhees71 and Pyter
  • #86
Pyter said:
Does this frame take the curvature into account somehow?
Of course. Any valid coordinate chart on a curved spacetime that covers more than a local patch will have to take curvature into account in its expression for the metric.
 
  • Like
Likes vanhees71
  • #87
PeterDonis said:
The usual ones are FRW coordinates,
That depends on what you mean by "astronomical distances". FRW is for very large distances (as I know you are well aware). We mostly just use good old Euclid for the solar system, probably with polar coordinates centered on something useful, or Sun-centered Schwarzschild if we need GR corrections. Presumably you'd use some modified Schwarzschild coordinates (or you could keep the coordinates and modify the metric) to model the solar system with planets as gravitational sources.
 
  • Like
Likes vanhees71 and Pyter
  • #88
Ibix said:
That depends on what you mean by "astronomical distances".
I had assumed that @Pyter meant distances on cosmological scales, but perhaps he can clarify. Or perhaps he meant both. :wink:
 
  • Like
Likes vanhees71
  • #89
Ibix said:
We mostly just use good old Euclid for the solar system, probably with polar coordinates centered on something useful, or Sun-centered Schwarzschild if we need GR corrections.
AFAIK the usual solar system coordinates are barycentric, so all objects, including the Sun, move in these coordinates. The GR corrections are small enough in the solar system that you don't need the full Schwarzschild metric to model them; just the first few post-Newtonian orders is enough.

Ibix said:
Presumably you'd use some modified Schwarzschild coordinates (or you could keep the coordinates and modify the metric) to model the solar system with planets as gravitational sources.
I believe that gravitational corrections due to the planets are modeled as Newtonian forces from point sources, not by altering either the solar system coordinates or the overall metric. The general framework used for these kinds of multi-body problems for weak fields is the Einstein-Infeld-Hoffman equations:

https://en.wikipedia.org/wiki/Einstein–Infeld–Hoffmann_equations
 
  • Like
Likes vanhees71 and Pyter
  • #90
PeterDonis said:
Of course. Any valid coordinate chart on a curved spacetime that covers more than a local patch will have to take curvature into account in its expression for the metric.
I gather that all these coordinates systems assume that the metric is already known?
For instance in the FRW the curvature is uniform everywhere:
where
\mathbf{\Sigma}
ranges over a 3-dimensional space of uniform curvature, that is, elliptical space, Euclidean space, or hyperbolic space.
so for "local" variations of curvature, like in a relative small region with several comparable masses, would it still be accurate?
PeterDonis said:
our astronomical observations are of angular positions of objects on the sky, with distances estimated from those and other observations. So spherical coordinates of some kind (with several different possibilities for the radial coordinate)
Always in the case of many masses in a small region, wouldn't the radial coordinates be a little off because of the gravitational lens effect?
PeterDonis said:
I had assumed that @Pyter meant distances on cosmological scales, but perhaps he can clarify.
I was thinking more of a relatively small region with comparable and meaningful masses, like maybe a neutron stars field, or just two orbiting one around the other.
 
  • #91
Pyter said:
I gather that all these coordinates systems assume that the metric is already known?
No. If you would take the time to read the references you have been given, you would see how the coordinates are constructed using assumptions about the symmetries of the spacetime, before solving the EFE to find the full metric. You should realize by now that your current assumptions about how things are done are highly likely to be wrong, so you should stop making them.

Pyter said:
For instance in the FRW the curvature is uniform everywhere
The spatial curvature is found to be uniform everywhere, but that is not an assumption, that is a deduction from other assumptions, made in the process of solving the EFE.

Pyter said:
for "local" variations of curvature, like in a relative small region with several comparable masses, would it still be accurate?
The FRW metric is treated by cosmologists as an average description of the universe on large distance scales; it is not meant to capture variations on the scale of, say, the solar system, or even a small group of galaxies with empty space between them. The distance scale for the averaging is typically taken to be tens to hundreds of millions of light years.

There are papers in the literature investigating the possibility that variations in density (and hence curvature) on smaller scales might affect the large scale dynamics; so far that research is still open, but I think it's fair to say it has not yet produced any results that have convinced cosmologists in general.

Pyter said:
wouldn't the radial coordinates be a little off because of the gravitational lens effect?
"A little off" in what sense? What would they be "off" from? Remember that the radial coordinate is not necessarily the same as radial distance.

Pyter said:
I was thinking more of a relatively small region with comparable and meaningful masses, like maybe a neutron stars field, or just two orbiting one around the other.
For this case, the FRW solution is not what is used. There are no known exact solutions for isolated systems containing more than one gravitating mass (such as the binary pulsar systems that have given us evidence for gravitational wave emission); those kinds of cases can only be solved numerically.
 
  • Like
Likes vanhees71
  • #92
PeterDonis said:
No. If you would take the time to read the references you have been given, you would see how the coordinates are constructed using assumptions about the symmetries of the spacetime, before solving the EFE to find the full metric.
I meant: if the FRW is a "metric", that implies it's already a solution of the EFE which assumes a homogeneous distribution of the masses in the area where it's used.
Citing from your reference:
The Friedmann–Lemaître–Robertson–Walker (FLRW; /ˈfriːdmən ləˈmɛtrə ... /) metric is an exact solution of Einstein's field equations of general relativity; it describes a homogeneous, isotropic, expanding (or otherwise, contracting) universe that is path-connected, but not necessarily simply connected.[1][2][3]
 
  • #93
Yes, and as was stressed before in this thread, that's a description of the "large-scale structure" of our universe, i.e., after "coarse graining" (i.e., averaging) over a large distance scale of a few 100 light years. It's based on the assumption of the "cosmological principle", which says that when averaging out the local "fluctuations" of the distribution of energy-momentum-stress of matter and radiation, the universe is homogeneous and isotropic, and this leads to the ansatz of maximally symmetric spacetimes and finally the FLRW solution of the EFE. This implies that on this level of description the energy-momentum-stress tensor is that of an ideal fluid.
 
  • #94
PeterDonis said:
"A little off" in what sense? What would they be "off" from?
Excuse me, I meant the "angular" coordinate, off with respect to a situation without dense masses.
 
  • #95
Pyter said:
if the FRW is a "metric" that implies it's already a solution of the EFE
The Wikipedia article uses the term "metric" to mean "general expression for a line element with unknown functions in it still to be determined by solving the EFE". That is clear from the context.

Also, in referencing the article, I clearly said "coordinates", and several different possible coordinate charts used in cosmology are described in the article, including the basics of how they are constructed without knowing the full metric (i.e., without having solved the EFE to find the unknown functions in the line element). The other references you have already been given (Carroll, MTW, Wald) all discuss in greater detail how all this is done.

Please read carefully before posting a knee-jerk reaction that does not correctly reflect what you were told.
 
  • #96
Pyter said:
I meant the "angular" coordinate, off with respect to a situation without dense masses.
The observed angular coordinates can be "off" in this sense with gravitational lensing, yes. That's one of the things cosmologists have to try to correct for when constructing models.
 
  • #97
PeterDonis said:
Also, in referencing the article, I clearly said "coordinates", and several different possible coordinate charts used in cosmology are described in the article, including the basics of how they are constructed without knowing the full metric
Even if the full metric is unknown, some assumptions on the mass distribution and thus on the EFE are made beforehand, and they're clearly not fulfilled in the neutron stars field scenario.
PeterDonis said:
or this case, the FRW solution is not what is used. There are no known exact solutions for isolated systems containing more than one gravitating mass (such as the binary pulsar systems that have given us evidence for gravitational wave emission)
I thought so, the FRW, including the Cartesian coordinates, can't be used in this "extreme" case.
 
  • #98
Pyter said:
Even if the full metric is unknown, some assumptions on the mass distribution and thus on the EFE are made beforehand, and they're clearly not fulfilled in the neutron stars field scenario.
Of course not. I explicitly said that the FRW assumptions apply to the universe as a whole.

Pyter said:
the FRW, including the Cartesian coordinates, can't be used in this "extreme" case.
This isn't an "extreme" case, it's just a different case from modeling the universe as a whole. It's different because the assumptions are obviously different.

(Btw, there is nothing stopping you from using Cartesian coordinates in this case. The final metric obtained by numerically solving the EFE just won't look like an FRW metric in those coordinates.)
 
  • #99
PeterDonis said:
This isn't an "extreme" case, it's just a different case from modeling the universe as a whole.
"Extreme" compared to the Schwa. metric, which can be solved in closed form without recurring to numerical methods.
Speaking of which, I think that what I wrote in post #46 of this thread wasn't so far fetched, at least in the Schwa. case.
Pyter said:
Now I'm aware that both sides of the EFE contribute to ten differential equations whose unkown are the components of , and thus also the RHS depends on the linear coordinates through the unknown functions .
And as we saw the RHS does depends on g**, through T**.
Pyter said:
The physical observation of your masses only set the boundary conditions of the EFE, and they contain the unknown in a parametrized form, for instance in the measurement of your distance from objects of known mass.
Maybe they don't set the boundary conditions, but at least an additional set of constraints helping solve the differential equations.
In Waner's op.cit., pag. 121, we can see that the observable quantity "total mass" helps solve for ##\Phi##:
1640890035541.png

1640890076945.png

I wonder it the above also applies to the neutron stars field or, to further simplify, the binary neutron star scenario? I'm not talking about actually solving the EFE, just setting it up.
 
  • #100
Pyter said:
I think that what I wrote in post #46 of this thread wasn't so far fetched, at least in the Schwa. case.
Unfortunately, still no. See below.

Pyter said:
Maybe they don't set the boundary conditions, but at least an additional set of constraints helping solve the differential equations.
The additional constraints in the Schwarzschild case are the symmetries of the spacetime, which drastically reduce the number of independent equations, plus the assumption of vacuum outside the star, which makes the differential equations homogeneous (zero on the RHS) and thereby further simplifies the solution. They have nothing to do with applying any boundary conditions or other conditions based on observation of the total mass.

Pyter said:
In Waner's op.cit., pag. 121, we can see that the observable quantity "total mass" helps solve for ##\Phi##
No, it doesn't. The form of the solution comes from the drastic reduction in the number of independent equations due to symmetry. In the Schwarzschild case, this is what results in one of the EFE components becoming the separable first order equation with solution as described. The total mass ##M## is an undetermined constant in that solution, and it's known to be constant outside the star because outside the star is vacuum, not because knowing its actual value helps us in any way in solving the equations. (There is a boundary condition for ##\Phi##, that it should vanish as ##r \to \infty##, but this is true regardless of the actual value of the total mass ##M##, so knowing the total mass is irrelevant to applying it.)

Pyter said:
I wonder it the above also applies to the neutron stars field
The general form given applies to any static, spherically symmetric mass distribution. One of my Insights articles that I referenced earlier in this thread discusses this (and also discusses how the symmetries simplify the solution).

Pyter said:
or, to further simplify, the binary neutron star scenario?
The binary neutron star scenario is not simpler than a single neutron star; it's more complicated, and, as I have already said, no exact solution is known for it. Certainly you can't use a single Schwarzschild solution for it, since the scenario is neither static nor spherically symmetric. Not only that, but in the binary neutron star case, the field is too strong for nonlinearities to be ignored, so even the technique of simply adding together multiple Schwarzschild solutions centered on multiple massive objects does not work, since that technique assumes linearity.
 
  • Like
Likes PeroK
Back
Top