Why 1/2 is Coefficient in CK Sum for Integrals

  • Thread starter Thread starter Karol
  • Start date Start date
  • Tags Tags
    Integral Sum
Click For Summary

Homework Help Overview

The discussion revolves around understanding why the coefficient of 1/2 appears in the context of the Cauchy sum for integrals, particularly in relation to the area under a curve represented as a sum. Participants are exploring the implications of this coefficient on the sum's equivalence to the integral.

Discussion Character

  • Conceptual clarification, Assumption checking

Approaches and Questions Raised

  • Participants attempt to understand the necessity of the coefficient 1/2 in the context of Cauchy sums and question whether other coefficients could serve the same purpose. They explore the relationship between the choice of coefficient and the resulting sums, particularly in terms of intermediate values.

Discussion Status

The discussion is ongoing, with participants examining the implications of different coefficients on the properties of the sums. Some have noted that while other coefficients may yield similar sums, they may not satisfy the conditions for intermediate values. There is no explicit consensus, but productive lines of inquiry are being explored.

Contextual Notes

Participants are considering the implications of changing the coefficient on the behavior of the sums and the conditions for intermediate values, particularly in relation to the spacing between terms in the sums.

Karol
Messages
1,380
Reaction score
22

Homework Statement


Snap1.jpg

Snap2.jpg

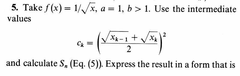
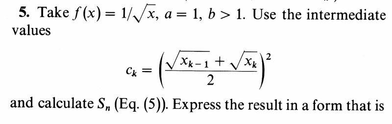
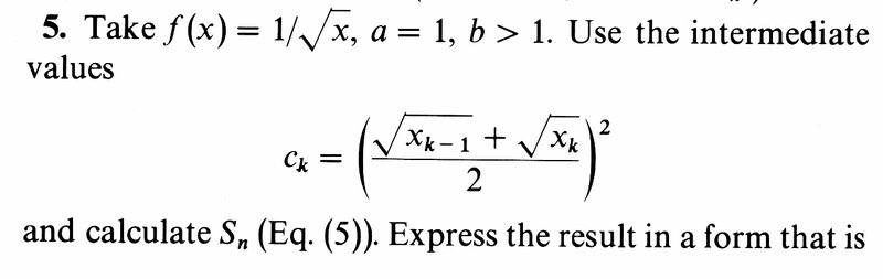
Why specifically 1/2 is the coefficient in CK? the sum, basically, doesn't change except for the coefficient. i can choose it as i want.
I understand the sum must equal the integral but i guess that's not the reason

Homework Equations


Area under a curve as a sum:
$$S_n=f(c_1)\Delta x+f(c_2)\Delta x+...+f(c_n)\Delta x$$

The Attempt at a Solution


$$f(c_1)\Delta x=\frac{x_k-x_{k-1}}{\frac{\sqrt{x_{k-1}}+\sqrt{x_k}}{2}}=...=2(\sqrt{x_k}-\sqrt{x_{k-1}})$$
$$S_n=2(\sqrt{x_1}-\sqrt{x_0}+\sqrt{x_2}-\sqrt{x_1}+...+\sqrt{x_n}-\sqrt{x_{n-1}})=2(\sqrt{x_n}-\sqrt{x_0})$$
 
Physics news on Phys.org
Karol said:

Homework Statement


View attachment 197148
View attachment 197149
Why specifically 1/2 is the coefficient in CK? the sum, basically, doesn't change except for the coefficient. i can choose it as i want.
I understand the sum must equal the integral but i guess that's not the reason

Homework Equations


Area under a curve as a sum:
$$S_n=f(c_1)\Delta x+f(c_2)\Delta x+...+f(c_n)\Delta x$$

The Attempt at a Solution


$$f(c_1)\Delta x=\frac{x_k-x_{k-1}}{\frac{\sqrt{x_{k-1}}+\sqrt{x_k}}{2}}=...=2(\sqrt{x_k}-\sqrt{x_{k-1}})$$
$$S_n=2(\sqrt{x_1}-\sqrt{x_0}+\sqrt{x_2}-\sqrt{x_1}+...+\sqrt{x_n}-\sqrt{x_{n-1}})=2(\sqrt{x_{n-1}}-\sqrt{x_0})$$

##c_k## is supposed to be an intermediate value. That is, ##\frac{1}{\sqrt{x_{k}}} \le \frac{1}{\sqrt{c_k}} \le \frac{1}{\sqrt{x_{k-1}}}##. Can you check that that works for this choice of ##c_k##? Does it work if you change the coefficient?
 
Dick said:
Can you check that that works for this choice of ##~c_k##?
$$\frac{1}{\sqrt{x_k}}=\frac{2}{2\sqrt{x_k}}<\frac{2}{\sqrt{x_k}+\sqrt{x_{k-1}}}<\frac{2}{2\sqrt{x_{k-1}}}=\frac{1}{\sqrt{x_{k-1}}}$$
If i change the coefficient 2 into something greater or smaller then each time one side of the equation isn't right.
But there are many values on the graph between ##~\frac{1}{\sqrt{x_k}}~## and ##~\frac{1}{\sqrt{x_{k-1}}}##
 
Last edited:
Karol said:
$$\frac{1}{\sqrt{x_k}}=\frac{2}{2\sqrt{x_k}}<\frac{2}{\sqrt{x_k}+\sqrt{x_{k-1}}}<\frac{2}{2\sqrt{x_{k-1}}}=\frac{1}{\sqrt{x_{k-1}}}$$
If i change the coefficient 2 into something greater or smaller then each time one side of the equation isn't right.
But there are many values on the graph between ##~\frac{1}{\sqrt{x_k}}~## and ##~\frac{1}{\sqrt{x_{k-1}}}##

Good. So you know ##c_k## is a good choice for an intermediate value. And sure, there are lots of other choices of ways to choose a ##c_k##, but this is the one that gives you that nice telescoping sum.
 
Dick said:
but this is the one that gives you that nice telescoping sum.
I myself can't prove that other coefficients fit between ##~\frac{1}{\sqrt{x_k}}~## and ##~\frac{1}{\sqrt{x_{k-1}}}~## but if i look only at ##~S_n=2(\sqrt{x_n}-\sqrt{x_0})~## then anything other than 2 will give the same basic Sn
 
Karol said:
I myself can't prove that other coefficients fit between ##~\frac{1}{\sqrt{x_k}}~## and ##~\frac{1}{\sqrt{x_{k-1}}}~## but if i look only at ##~S_n=2(\sqrt{x_n}-\sqrt{x_0})~## then anything other than 2 will give the same basic Sn

I'm not quite sure what you are asking. Yes, anything other than 2 will give you a telescoping sum. But choosing anything other than 2 will not necessarily give you intermediate values. Think what happens if the spacing between ##x_k## and ##x_{k-1}## becomes very small.
 
Thank you very much Dick
 

Similar threads

Replies
9
Views
1K
  • · Replies 105 ·
4
Replies
105
Views
11K
  • · Replies 3 ·
Replies
3
Views
1K
  • · Replies 13 ·
Replies
13
Views
2K
  • · Replies 1 ·
Replies
1
Views
2K
  • · Replies 17 ·
Replies
17
Views
3K
  • · Replies 14 ·
Replies
14
Views
2K
  • · Replies 3 ·
Replies
3
Views
2K
  • · Replies 1 ·
Replies
1
Views
2K