Why Does a Complex Exponential Vanish at Infinity?

Click For Summary

Discussion Overview

The discussion revolves around the behavior of complex exponentials at infinity, particularly in the context of limits involving the product of a complex exponential and an exponentially decaying function. Participants explore the implications of periodicity, boundedness, and the nature of limits in this context.

Discussion Character

  • Exploratory
  • Mathematical reasoning
  • Debate/contested

Main Points Raised

  • One participant questions how a complex exponential, which is periodic, can vanish at infinity, citing a textbook reference.
  • Another participant argues that while the limit of a complex exponential does not exist, the product with a decaying exponential can still yield a limit of zero.
  • There is a discussion about the nature of the limit of the product of two functions, where one is bounded and the other approaches zero.
  • Participants express confusion over the implications of multiplying an undefined limit by zero and whether the limit of the product can be determined.
  • One participant suggests that the absolute value of the complex exponential remains bounded, which leads to the conclusion that the product with a decaying function approaches zero.
  • Another participant reflects on the periodic nature of the complex exponential and its impact on the limit being undefined.

Areas of Agreement / Disagreement

Participants express differing views on the treatment of limits involving complex exponentials and their products with other functions. There is no consensus on the interpretation of these limits, and the discussion remains unresolved.

Contextual Notes

Participants highlight the complexities of limits involving products of functions where one is periodic and the other decays to zero. The discussion includes references to mathematical rules regarding limits and the behavior of bounded functions.

Waxterzz
Messages
82
Reaction score
0
Hi,

BhEN5Ms.jpg


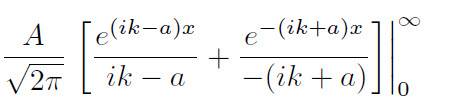
The two terms should vanish at infinity according to the Quantum textbook of Griffiths, but I don't see how?

I mean a complex exponential is a periodic function so how can it vanish at infinity?

If you split up the first term

exp(ikx) * exp(-ax)

Take the limit of infinity of this expression

lim exp(ikx) is not defined
limit exp(-ax) turns zero

But 0 * an undefined limit is still undefined, right?

So help me out, please.
 
Last edited:
Physics news on Phys.org
Waxterzz said:
But 0 * an undefined limit is still undefined, right?
Wrong :-p. ##0 \times \infty## is undefined, but ##0 \times a## where ##|a| < \infty## is always 0.
 
  • Like
Likes   Reactions: 1 person
DrClaude said:
Wrong :-p. ##0 \times \infty## is undefined, but ##0 \times a## where ##|a| < \infty## is always 0.

but

lim (exp(ik-a)*x) to infinity equals lim exp (ikx) times lim exp(-ax) so it is ∞ * 0 ?
 
Waxterzz said:
Hi,

BhEN5Ms.jpg


The two terms should vanish at infinity according to the Quantum textbook of Griffiths, but I don't see how?

I mean a complex exponential is a periodic function so how can it vanish at infinity?

If you split up the first term

exp(ikx) * exp(-ax)

Take the limit of infinity of this expression

lim exp(ikx) is not defined
limit exp(-ax) turns zero

But 0 * an undefined limit is still undefined, right?

So help me out, please.

How do you think [itex]e^{-ax} \cos(kx)[/itex] behaves as [itex]x \to \infty[/itex]?

If [itex]\lim_{x \to \infty} f(x)[/itex] and [itex]\lim_{x \to \infty} g(x)[/itex] exist, then it follows that [tex] \lim_{x \to \infty} f(x)g(x) = \left(\lim_{x \to \infty} f(x) \right)\left(\lim_{x \to \infty} g(x) \right).[/tex] However, even if one or both of [itex]\lim_{x \to \infty} f(x)[/itex] and [itex]\lim_{x \to \infty} g(x)[/itex] do not exist, it might still be the case that [itex]\lim_{x \to \infty} f(x)g(x)[/itex] exists.
 
  • Like
Likes   Reactions: 1 person
Waxterzz said:
lim (exp(ik-a)*x) to infinity equals lim exp (ikx) times lim exp(-ax) so it is ∞ * 0 ?

$$
0 \leq \left| e^{i k x} \right| \leq 1
$$
 
  • Like
Likes   Reactions: 1 person
DrClaude said:
$$
0 \leq \left| e^{i k x} \right| \leq 1
$$

So lim exp (ikx) does not exist , but lim exp( |ikx|) does?

But how make it work in lim (exp(ik-a)x)

Do you know where this rule can be found or what this rule can be called?

DrClaude said:
Wrong :-p. ##0 \times \infty## is undefined, but ##0 \times a## where ##|a| < \infty## is always 0.
But then you've already calcultated lim exp (-ax) that turns zero and lim exp (ikx) does not become a number?

I really don't get it.

If you calculate the limit as a whole (lim exp(ik-a)), you don't get a * 0 or you do?
 
DrClaude said:
$$
0 \leq \left| e^{i k x} \right| \leq 1
$$

http://en.wikipedia.org/wiki/Absolute_convergence

So because of that absolute value (the norm?) that is always 1 it converges? I think I got it.

e^ikx converges? |e^ikx| = 1 right ? e^ikx * e^-ikx = e ^ (ikx-ikx) = e^0 = 1 right

but why is the limit not defined?

Wait, because it's periodic. Limit is not defined, but the max and min stays fixed. And that's why when you multiply with a function that goes to zero at infinity the product of the two functions also does?

God, I was too tired to make sense out of anything I think.
 
Sorry, I should've been more clear. Indeed
$$
\lim_{x \rightarrow \infty} e^{i k x} = \textrm{undefined}
$$
but ##0 \leq \left| e^{i k x} \right| \leq 1##, which means it is finite. I use the absolute value since the result is complex, but the important thing is that ##e^{i k x}## stays bounded even as ##x \rightarrow \infty##.

Therefore, since
$$
\lim_{x \rightarrow \infty} e^{-a x} = 0
$$
you have
$$
\lim_{x \rightarrow \infty} e^{i k x} e^{-a x} = 0
$$
The fact that the limit of the first term is undefined doesn't affect the fact that the product of something finite with zero will always be zero.
 
  • Like
Likes   Reactions: shinobi20

Similar threads

  • · Replies 6 ·
Replies
6
Views
3K
  • · Replies 1 ·
Replies
1
Views
2K
  • · Replies 2 ·
Replies
2
Views
3K
  • · Replies 7 ·
Replies
7
Views
4K
  • · Replies 3 ·
Replies
3
Views
1K
  • · Replies 3 ·
Replies
3
Views
4K
  • · Replies 1 ·
Replies
1
Views
2K
  • · Replies 3 ·
Replies
3
Views
4K
  • · Replies 1 ·
Replies
1
Views
3K
  • · Replies 7 ·
Replies
7
Views
4K