Why Does a Single Polarizer Reduce Light Intensity by Half?

  • Context: Undergrad 
  • Thread starter Thread starter kent davidge
  • Start date Start date
Click For Summary

Discussion Overview

The discussion centers on the phenomenon of light intensity reduction when unpolarized light passes through a single polarizer. Participants explore the underlying principles, including Malus' law, and the mathematical reasoning behind the intensity reduction to half.

Discussion Character

  • Technical explanation
  • Mathematical reasoning
  • Debate/contested

Main Points Raised

  • One participant notes that unpolarized light has electric-field vectors in all directions and questions how these can be resolved into two components relative to the polarizer's axis.
  • Another participant challenges the expectation of a fraction other than 1/2 for intensity reduction, suggesting that integrating over all polarization directions yields 1/2.
  • A participant requests clarification on how to perform the integration to arrive at the result.
  • One participant presents an integration approach using Malus' law, stating that the normalization factor leads to the same result of 1/2.
  • Another participant attempts to derive the result using a different integration method but faces challenges with the correctness of their expressions and notation.
  • Several participants point out errors in mathematical expressions and notation, indicating confusion over the proper integrand and constants involved in the integration process.

Areas of Agreement / Disagreement

Participants express differing views on the mathematical expressions and integration methods used to derive the intensity reduction. There is no consensus on the correctness of the various approaches presented.

Contextual Notes

Participants highlight issues with notation and the formulation of integrals, indicating potential misunderstandings in the mathematical representation of the problem. Specific constants and terms are debated without resolution.

kent davidge
Messages
931
Reaction score
56
When unpolarized light is polarized with two polarizers, the intensity is reduced in according to Malu's law. But... when unpolarized light is polarized with only one polarizer, the intensity is reduced to half the intensity of the unpolarized light. Why? I've read that unpolarized light had electric-field vectors in all possible directions, but I don't understand the idea of resolve them in only two components, one parallel to polarizer's axis and the other perpendicular to it. (sorry my bad english).
 
Science news on Phys.org
Which fraction other than 1/2 would you expect?

You don't have to choose a basis for resolving them into components: If you assume all polarization directions have equal intensity, and integrate, you get 1/2 as well.
 
ohh can you explain me how to do that integration?
 
Use Malus' law.
$$\frac{1}{\pi} \int_0^\pi sin^2(x) dx = \frac{1}{2}$$
The 1/pi is the normalization.
 
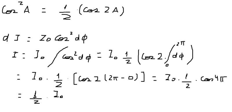
Ok, however, I find the same result by a different way:

dI = Io cos² dφ
I = Io0 cos² dφ = Io0 0.5 cos2φ = Io 0.5 (cos2 x 2π) - (cos2 x 0) = 0.5 Io

Is it correct?
 
Should be ##\cos^2 \phi ~d\phi##, and "cos2 x 2π" does not work (cosine of 2? or of 4 pi?), and there are missing brackets. The prefactor in the first equation is wrong and happens to cancel the integration problems in the second line.
 
Sorry, why should I use φ. dφ ?
I rewrite my expressions in the correct form:

image.jpg
 
$$\cos^2 A\neq \frac{1}{2} \cos(2A)$$
You are missing a constant there. Only this constant leads to a non-zero integral later, the cosine term doesn't contribute to the integral.
cos 2(2π-0)
I have no idea what you are doing here, but it is wrong.
 
so where I start to find this relationship
mfb said:
cos2ϕ dϕ
?
 
  • #10
That is not a relationship, and the equation you posted was wrong in the first place, so I don't get the point of your question.

##\cos^2 (d\phi)## (what you posted earlier) does not make sense, that is not a proper integrand.
 

Similar threads

  • · Replies 7 ·
Replies
7
Views
2K
  • · Replies 5 ·
Replies
5
Views
5K
  • · Replies 15 ·
Replies
15
Views
8K
Replies
10
Views
3K
  • · Replies 4 ·
Replies
4
Views
3K
  • · Replies 7 ·
Replies
7
Views
3K
  • · Replies 25 ·
Replies
25
Views
4K
  • · Replies 4 ·
Replies
4
Views
2K
  • · Replies 1 ·
Replies
1
Views
2K
  • · Replies 6 ·
Replies
6
Views
2K