Why Does d/dx Not Equal d/dx' Even When x Equals x'?

Click For Summary

Homework Help Overview

The discussion revolves around a calculus exercise related to coordinate transformations and the properties of partial derivatives, specifically addressing the situation where \(x = x'\) yet \(d/dx\) does not equal \(d/dx'\). Participants are exploring the implications of this relationship within the context of Jacobian matrices and chain rules.

Discussion Character

  • Conceptual clarification, Mathematical reasoning, Assumption checking

Approaches and Questions Raised

  • Participants discuss the confusion surrounding the Jacobian matrix and its transpose, questioning the notation and definitions used in the original problem. There are attempts to clarify the application of the chain rule for partial derivatives and how it relates to the exercise.

Discussion Status

The discussion is active, with participants providing insights and clarifications regarding the notation and the correct application of mathematical principles. Some guidance has been offered regarding the use of the chain rule and the interpretation of partial derivatives, although no consensus has been reached on the original poster's confusion.

Contextual Notes

There is mention of potential contradictions in the notation used in the source material, as well as the need for clearer definitions from the author. The discussion highlights the complexity of index notation and its implications for understanding the problem at hand.

bigbalpha
Messages
4
Reaction score
0
Summary: I'm stuck on this simple exercise, to show that in this coord transform, despite x = x', d/dx != d/dx'

From "Intro to Smooth Manifolds" (this is a calculus exercise), The Problem I have is with showing d/dx != d/dx'
246034


When I write out the Jacobian matrix, I get exactly d/dx = d/dx' and not sure what I'm doing wrong, here is my work:
246035

[Moderator's note: Moved from a technical forum and thus no template.]
 
Last edited by a moderator:
Physics news on Phys.org
You have the transpose of the Jacobian in place of the Jacobian.
 
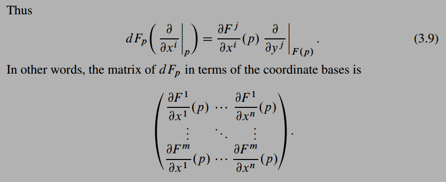
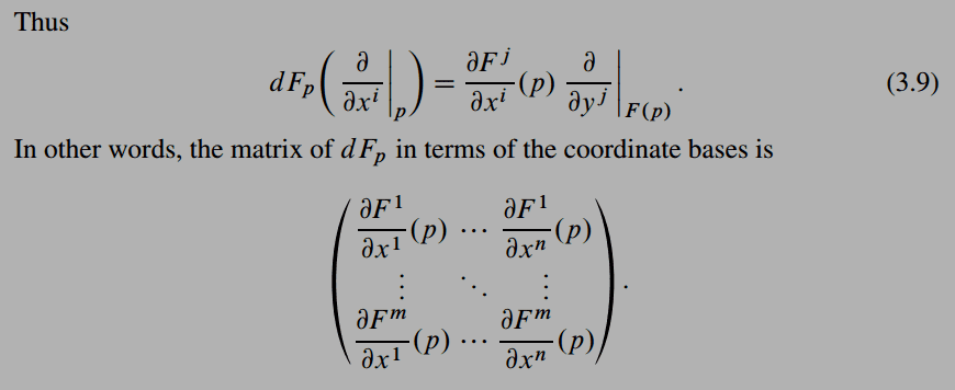
Alright, always get index notation very confused, for example, earlier in the book, it says this. This is contradictory?
246054
 
That notation looks very confused so I would not say it is strange that you are confused. Just from the image I am not sure what the author intends.

Anyway, your problem does not really need the Jacobian - just the chain rule for partial derivatives.
 
Orodruin said:
That notation looks very confused so I would not say it is strange that you are confused. Just from the image I am not sure what the author intends.

Which image, the one in post #1, or the one in post #3 ? And in what way is the author's intention unclear?
 
Post #3. By unclear I mean that it is not clear to me what the different quantities represent. It would be good to have the author’s definitions. If you have a better feeling for the notation, please feel free to answer the OP.
 
bigbalpha said:
Alright, always get index notation very confused, for example, earlier in the book, it says this. This is contradictory?
View attachment 246054

Matrix multiplication in terms of suffix notation is written [itex]a_i = M_{ij}b_j[/itex]: the second index of the matrix is summed over. The first index labels the rows, and the second the columns. (This assumes we regard vectors as column vectors.)

What (3.9) is saying is that [itex]\frac{\partial F^j}{\partial x^i}(p)[/itex] is the [itex]j[/itex]th component of the image of the [itex]i[/itex]th basis vector. Thus if you have a tangent vector [itex]X^i \left.\frac{\partial}{\partial x^i}\right|_p[/itex], then [itex]dF_p[/itex] will send it to [itex]Y^j \left.\frac{\partial}{\partial y^j}\right|_{F(p)}[/itex] where [tex] Y^j = \frac{\partial F^j}{\partial x^i}(p) X^i.[/tex] Note that the index [itex]i[/itex] is being summed over, so must be the second index (labelling columns) and [itex]j[/itex] is the first index (labelling rows). This is of course the opposite of the standard convention, but consistent with the matrix following (3.9).

On the other hand, one naturally writes the chain rule, and thus the jacobian, as [tex] \frac{\partial}{\partial x'^i} = \frac{\partial x^j}{\partial x'^i} \frac{\partial}{\partial x^j}.[/tex] Here, in accordance with the usual convention, the first index (labelling rows) is [itex]i[/itex] and the second index (labelling columns) is [itex]j[/itex]. Also, in this instance the partial derivative operators are the components, not the basis vectors.

TLDR: Pay attention to which index is being summed over. This index will label the columns.
 
  • Like
Likes   Reactions: bigbalpha
Getting back to the concrete exercise in the original post, @bigbalpha has, after matrix multiplication,
$$\begin{bmatrix} \frac{\partial}{\partial x} \\
\frac{\partial}{\partial y} \end{bmatrix}
=
\begin{bmatrix} \frac{\partial \tilde{x}}{\partial x} & \frac{\partial \tilde{x}}{\partial y} \\
\frac{\partial \tilde{y}}{\partial x} & \frac{\partial \tilde{y}}{\partial y} \end{bmatrix}
\begin{bmatrix} \frac{\partial}{\partial \tilde{x}} \\
\frac{\partial}{\partial \tilde{y}} \end{bmatrix}
=
\begin{bmatrix} \frac{\partial \tilde{x}}{\partial x} \frac{\partial}{\partial \tilde{x}} + \frac{\partial \tilde{x}}{\partial y} \frac{\partial}{\partial \tilde{y}} \\
\frac{\partial \tilde{y}}{\partial x} \frac{\partial}{\partial \tilde{x}} + \frac{\partial \tilde{y}}{\partial y} \frac{\partial}{\partial \tilde{y}} \end{bmatrix} .
$$

This gives, for example,
$$\frac{\partial}{\partial x} = \frac{\partial \tilde{x}}{\partial x} \frac{\partial}{\partial \tilde{x}} + \frac{\partial \tilde{x}}{\partial y} \frac{\partial}{\partial \tilde{y} },$$
which is an incorrect application of the chain rule.

Used correctly, the chain rule gives
$$\frac{\partial}{\partial x} = \frac{\partial \tilde{x}}{\partial x} \frac{\partial}{\partial \tilde{x}} + \frac{\partial \tilde{y}}{\partial x} \frac{\partial}{\partial \tilde{y} }.$$

The exercise is meant to illustrate an error (that I have seen in at least two general relativity books) that is sometimes called "Woodhouse's Second Fundamental Confusion of Calculus".
 
  • Like
Likes   Reactions: bigbalpha
To see how this (that ##\partial/\partial x \neq \partial/\partial \tilde x## even when ##x = \tilde x##) arises, we need to consider what partial derivatives actually means. A partial derivative is the change in a function when you change only one of its parameters while keeping the other parameters constant. The partial derivative ##\partial f/\partial x## means the change in ##f## with ##x## while keeping ##y## constant whereas ##\partial f/\partial \tilde x## is the change in ##f## with ##\tilde x## while keeping ##\tilde y## constant. In the first case, we would compare the value of ##f(x,y_0)## with the value of ##f(x+\epsilon,y_0)##. Consider now the case ##\tilde x = x## and ##\tilde y = x+y##. The partial derivative ##\partial f/\partial \tilde x## now means comparing ##f(x,\tilde y_0 + x)## with ##f(x + \epsilon,\tilde y_0 + x +\epsilon)##, since we must keep ##\tilde y## constant. This is not the same as when taking the partial derivative with respect to ##x##.
 
  • #10
pasmith said:
Matrix multiplication in terms of suffix notation is written [itex]a_i = M_{ij}b_j[/itex]: the second index of the matrix is summed over. The first index labels the rows, and the second the columns. (This assumes we regard vectors as column vectors.)

What (3.9) is saying is that [itex]\frac{\partial F^j}{\partial x^i}(p)[/itex] is the [itex]j[/itex]th component of the image of the [itex]i[/itex]th basis vector. Thus if you have a tangent vector [itex]X^i \left.\frac{\partial}{\partial x^i}\right|_p[/itex], then [itex]dF_p[/itex] will send it to [itex]Y^j \left.\frac{\partial}{\partial y^j}\right|_{F(p)}[/itex] where [tex] Y^j = \frac{\partial F^j}{\partial x^i}(p) X^i.[/tex] Note that the index [itex]i[/itex] is being summed over, so must be the second index (labelling columns) and [itex]j[/itex] is the first index (labelling rows). This is of course the opposite of the standard convention, but consistent with the matrix following (3.9).

On the other hand, one naturally writes the chain rule, and thus the jacobian, as [tex] \frac{\partial}{\partial x'^i} = \frac{\partial x^j}{\partial x'^i} \frac{\partial}{\partial x^j}.[/tex] Here, in accordance with the usual convention, the first index (labelling rows) is [itex]i[/itex] and the second index (labelling columns) is [itex]j[/itex]. Also, in this instance the partial derivative operators are the components, not the basis vectors.

TLDR: Pay attention to which index is being summed over. This index will label the columns.

Thanks a lot for that explanation, that really helped!
 

Similar threads

  • · Replies 3 ·
Replies
3
Views
2K
  • · Replies 9 ·
Replies
9
Views
2K
Replies
6
Views
2K
  • · Replies 4 ·
Replies
4
Views
3K
  • · Replies 2 ·
Replies
2
Views
2K
  • · Replies 4 ·
Replies
4
Views
4K
  • · Replies 2 ·
Replies
2
Views
1K
Replies
5
Views
2K
  • · Replies 6 ·
Replies
6
Views
3K
  • · Replies 6 ·
Replies
6
Views
2K