Why does the force increase when holding a bag at an angle of 45 degrees?

Click For Summary

Discussion Overview

The discussion revolves around the mechanics of holding a bag at a 45-degree angle, specifically examining why the force required by one person to hold the bag alone is said to be 1.5 times greater than when two people are holding it. Participants explore the components of force involved and the implications of holding a non-rigid versus a rigid bag.

Discussion Character

  • Exploratory
  • Technical explanation
  • Mathematical reasoning

Main Points Raised

  • One participant questions the feasibility of holding a non-rigid bag at a 45-degree angle, suggesting that it would swing towards the other person if one lets go.
  • Another participant explains that holding the bag at an angle results in horizontal and vertical components of force, with only the vertical component contributing to lifting the bag.
  • A participant mentions that the force required by one person to hold the bag is approximated to be 1.5 times greater, but later clarifies that it is closer to 1.4.
  • One participant proposes using a random value for the weight of the bag to apply trigonometric principles to understand the force ratio.
  • Another participant notes that the weight will cancel out in the ratio, indicating that a numerical value is not necessary for the proof.
  • Participants express uncertainty about the mathematical formulation of the weight and its representation in their calculations.

Areas of Agreement / Disagreement

There is no consensus on the exact force ratio, with some participants suggesting it is 1.5 while others indicate it is closer to 1.4. The feasibility of holding a non-rigid bag at an angle is also debated, indicating differing views on the scenario presented.

Contextual Notes

The discussion lacks specific numerical values for the weight of the bag and does not resolve the assumptions regarding the rigidity of the bag, which may affect the analysis.

Who May Find This Useful

This discussion may be useful for beginners in physics who are exploring concepts of force, vector addition, and trigonometry in practical scenarios.

Physicsterian
Messages
32
Reaction score
1
Hi,

If 2 people are holding a bag at an angle of 45 degrees each, and then only person is going to hold it, it is being said that the force that will have to be applied by that one person will be 1.5 times greater than when he was applying it together with the other. Can anyone explain this or provide a source where I can find information on it considering I am just a beginner in the area (I can work with the SOHCAHTOA rule and know how to break gravity force in its X and y component).
 
Physics news on Phys.org
Physicsterian said:
HI,
Welcome to PF!
If 2 people are holding a bag at an angle of 45 degrees each, and then only person is going to hold it, it is being said that the force that will have to be applied by that one person will be 1.5 times greater than when he was applying it together with the other. Can anyone explain this or provide a source where I can find information on it considering I am just a beginner in the area (I can work with the SOHCAHTOA rule and know how to break gravity force in its X and y component).
Bag? As in non-rigid? I don't see how a person can hold a non-rigid bag at a 45 degree angle. As soon as one person let's go of the bag it will swing toward the other person. Maybe it would help if you draw a picture of what you are referring to.
 
  • Like
Likes   Reactions: Physicsterian
If you hold handles of a bag at an angle then you have a horizontal and a vertical component of the force. Only the vertical component contributes to holding the bag up, the horizontal one does not (the two people "pull on each other" indirectly via these forces). A force balance can show how large each component is. Then you can compare it to the case of one person holding the bag with vertical handles.
 
  • Like
Likes   Reactions: Physicsterian
Physicsterian said:
If 2 people are holding a bag at an angle of 45 degrees each, and then only person is going to hold it, it is being said that the force that will have to be applied by that one person will be 1.5 times greater than when he was applying it together with the other. Can anyone explain this or provide a source where I can find information on it considering I am just a beginner in the area (I can work with the SOHCAHTOA rule and know how to break gravity force in its X and y component).

Forces add as vectors:

MC_09.jpg


More:
https://www.antonine-education.co.uk/Pages/Physics_2/Mechanics/MEC_02/Mechanics_2.htm
https://en.wikipedia.org/wiki/Euclidean_vector#Addition_and_subtraction
 

Attachments

  • MC_09.jpg
    MC_09.jpg
    19.6 KB · Views: 824
  • Like
Likes   Reactions: Physicsterian
It helps me to know that I need to focus on the vertical components and thanks a lot for the valuable sources. I threw an eye over it and I am quite sure, it will make me understand the concept.

I assume it is a rigid body, since the complexity of the questions is said to be easy and have a practical character.

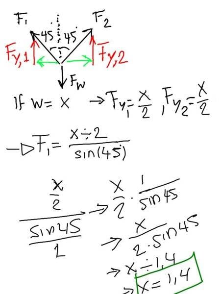
It initially feels kinda complex, as not much info is provided; no force and not even the weight of the object is given, only that the force that needs to be applied is 1.5 times greater in situation b. I need to proof why is it 1.5x greater. The approach that seems most wise to me is choosing a random value for the weight, and applying the trigs in the sources from that point on. Do you think my approach sounds proper?

Thanks a lot in advance
20180823_211319.jpeg
 

Attachments

  • 20180823_211319.jpeg
    20180823_211319.jpeg
    33 KB · Views: 725
Here is the weight: ##x##. You don't have to pick a numerical value, the weight will cancel in the ratio later.
 
  • Like
Likes   Reactions: Physicsterian
Physicsterian said:
I need to proof why is it 1.5x greater.
It's actually closer to 1.4, so don't get hung up on the 1.5 approximation.
 
  • Like
Likes   Reactions: Physicsterian
Thanks a lot everybody, for the support.

I indeed eventually arrived at 1,4, good to know, that takes away some doubt :)! The X that I found calculating it the way I did it, is a ratio number and not the weight. Am I doing it mathematically/systematically correct? Or is it maybe better to say delta W = x or formulate it slightly differently?

The websites you sent me are very useful in answering many other questions I was having difficulties with, so that will keep me busy for the coming couple of days.

Thanks again!
20180825_010106.jpeg
 

Attachments

  • 20180825_010106.jpeg
    20180825_010106.jpeg
    26.2 KB · Views: 685
Last edited:

Similar threads

  • · Replies 16 ·
Replies
16
Views
2K
  • · Replies 11 ·
Replies
11
Views
2K
  • · Replies 4 ·
Replies
4
Views
3K
  • · Replies 18 ·
Replies
18
Views
3K
Replies
5
Views
4K
  • · Replies 14 ·
Replies
14
Views
4K
  • · Replies 20 ·
Replies
20
Views
12K
Replies
3
Views
4K
Replies
2
Views
1K
  • · Replies 12 ·
Replies
12
Views
5K