Why Is There a Discrepancy in My Potential Function Calculation?

  • Thread starter Thread starter athrun200
  • Start date Start date
  • Tags Tags
    Potential
Click For Summary

Homework Help Overview

The discussion revolves around a discrepancy in calculating a potential function related to a force field, specifically focusing on the expressions for the potential function and the constants involved in integration.

Discussion Character

  • Mixed

Approaches and Questions Raised

  • Participants explore the relationship between force components and potential functions, discussing integration methods and the implications of constants in the potential function. Questions arise regarding the correctness of integration steps and the determination of constants.

Discussion Status

Several participants offer different approaches to the problem, with some suggesting the need to equate the potential derived from different force components. There is an acknowledgment of the uniqueness of potential functions up to an additive constant, and some participants express confusion about the integration process and the assumptions made.

Contextual Notes

Participants note that the problem involves integrating force components and that the potential function may not be uniquely determined due to the presence of constants. There is also mention of the original poster's prior experience with similar problems, indicating a learning curve in applying these methods.

athrun200
Messages
275
Reaction score
0

Homework Statement



attachment.php?attachmentid=37087&stc=1&d=1310357380.jpg


Homework Equations





The Attempt at a Solution


The answer should be [itex]-(x^{2}-1)cos^{2}\theta[/itex]
But I get a constant -1.
Why?

attachment.php?attachmentid=37086&stc=1&d=1310357380.jpg


 

Attachments

  • 1.jpg
    1.jpg
    21.6 KB · Views: 456
  • 2.jpg
    2.jpg
    18.6 KB · Views: 453
Physics news on Phys.org
can you explain what you are attempting to do? I would approach as follows

say phi exists then you know
[tex]F_x = \frac{\partial\phi}{\partial x}[/tex]
[tex]F_y = \frac{\partial\phi}{\partial y}[/tex]

so integrating the first gives
[tex]\phi = \int F_x dx= \int 2x cos^2y dx =?[/tex]
 
lanedance said:
can you explain what you are attempting to do? I would approach as follows
Sorry that I skip some steps and forget to give explanation.

attachment.php?attachmentid=37101&stc=1&d=1310366476.jpg


This is my approach.


lanedance said:
say phi exists then you know
[tex]F_x = \frac{\partial\phi}{\partial x}[/tex]
[tex]F_y = \frac{\partial\phi}{\partial y}[/tex]

so integrating the first gives
[tex]\phi = \int F_x dx= \int 2x cos^2y dx =?[/tex]

This yields [tex]x^2 cos^2y+C[/tex]

But how to find the constant?
 

Attachments

  • 1.jpg
    1.jpg
    31.9 KB · Views: 468
not quite as you are only integrating w.r.t. to x, so c could be a function of y
[tex]\phi = \int F_x dx= \int 2x cos^2y dx = x^2cos^2y + c(y)[/tex]

now also do it from the other direction
[tex]\phi = \int F_y dy= ?[/tex]
 
lanedance said:
not quite as you are only integrating w.r.t. to x, so c could be a function of y
[tex]\phi = \int F_x dx= \int 2x cos^2y dx = x^2cos^2y + c(y)[/tex]

now also do it from the other direction
[tex]\phi = \int F_y dy= ?[/tex]

[itex](x^2+1)\frac{cos2y}{2}+C(x)[/itex]

it can then simplfied as
[itex](x^2+1)\frac{2cos^2y-1}{2}+C(x)[/itex]
 
i can't quite follow your simplification, you should equate
[tex]\phi = \int F_x dx = \int F_y dy[/tex]

also I would use a different constant function for the 2nd integral (say c(y) for first and d(x) for the second)

and from there you should be able to deduce withther it is possible to to solve c(x) & d(y)
 
lanedance said:
and from there you should be able to deduce withther it is possible to to solve c(x) & d(y)

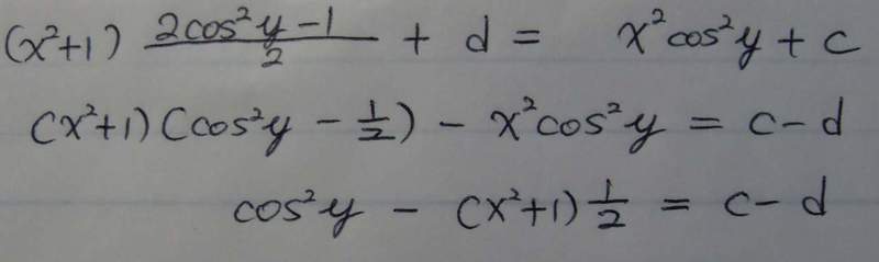
It's my first time to solve the problem like this.
So I stuck in here
attachment.php?attachmentid=37106&stc=1&d=1310371962.jpg



I would like to ask, what's wrong with my method above?
I have solved a lot of problems by using that method.(I learn it from mathematical methods in the physical sciences Chapter 6 sec8)
 

Attachments

  • 1.jpg
    1.jpg
    12 KB · Views: 432
  • #10
athrun200 said:
It's my first time to solve the problem like this.
So I stuck in here

I would like to ask, what's wrong with my method above?
I have solved a lot of problems by using that method.(I learn it from mathematical methods in the physical sciences Chapter 6 sec8)

stick to whatever you're comfortable with... took me awhile to figure out what you're doing as there's a few jumps (also the big pics are difficult to read on a laptop screen), but i think you set phi=0 at the origin and do a path interval over F to find the form of phi if it exists, in essence i think they're the same thing though yours has the advantage of setting one value to zero in the integral
 
Last edited:
  • #11
also note the potential is only unique upto a scalar additive constant ie (phi) or (phi +1) give the same force field
 
  • #12
this is how i would approach it using my method (i re-named c & d as f & g to be clear they are functions)
[tex]\phi(x,y) = \int F_x dx = \int 2x cos^2(y) = x^2cos^2(y) + f(y)[/tex]
[tex]\phi(x,y) = \int F_y dx = \int -(x^2+1) sin(2y) dy = (x^2+1) \frac{1}{2}cos(2y) +g(x) = (x^2+1) (cos^2(y)-\frac{1}{2})+g(x)[/tex]

in the last line we may as well group all the x only terms in a function, so let
[tex]h(x) = +\frac{1}{2}(x^2-1)+g(x)[/tex]

equating and re-arranging a little gives
[tex]x^2cos^2(y)+ cos^2(y)+h(x) = x^2cos^2(y) + f(y)[/tex]

then we can read off (up to an additive constant)
[tex]h(x) = 0[/tex]
[tex]f(y) = cos^2(y)[/tex]

so we get
[tex]\phi(x,y) = (x^2+1)cos^2(y)+ c[/tex]

where c is any constant
 
  • #13
after all that... and re-reading the posts i think it was only post 11 you needed!

you can only ever determine phi upto a additive scalar constant, as the constant will always be sent to zero in the differentiation to get the field
 

Similar threads

  • · Replies 4 ·
Replies
4
Views
2K
  • · Replies 14 ·
Replies
14
Views
2K
Replies
3
Views
2K
  • · Replies 3 ·
Replies
3
Views
2K
  • · Replies 5 ·
Replies
5
Views
2K
Replies
4
Views
2K
  • · Replies 2 ·
Replies
2
Views
2K
  • · Replies 19 ·
Replies
19
Views
3K
  • · Replies 6 ·
Replies
6
Views
2K
  • · Replies 4 ·
Replies
4
Views
2K