Why is there a factor 2 in entropy development

  • Context: Graduate 
  • Thread starter Thread starter boddhisattva
  • Start date Start date
  • Tags Tags
    Entropy
Click For Summary
SUMMARY

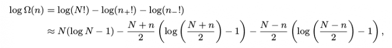
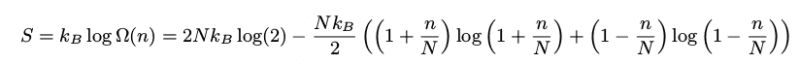
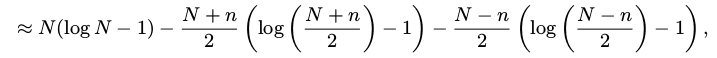
The factor 2Nklog(2) in the entropy equation is derived from statistical mechanics principles, specifically relating to the number of microstates in a system. This factor arises from the Boltzmann entropy formula, where N represents the number of particles and k is the Boltzmann constant. The discussion confirms that there is no mistake in the equation, as it accurately reflects the relationship between entropy and the number of configurations available to a system. Understanding this derivation is crucial for grasping the fundamentals of thermodynamics and information theory.

PREREQUISITES
  • Statistical mechanics fundamentals
  • Understanding of Boltzmann's entropy formula
  • Knowledge of thermodynamic principles
  • Familiarity with information theory concepts
NEXT STEPS
  • Study the derivation of Boltzmann's entropy formula
  • Explore the relationship between microstates and macrostates
  • Learn about the implications of entropy in thermodynamics
  • Investigate the role of entropy in information theory
USEFUL FOR

Students and professionals in physics, particularly those focusing on thermodynamics and statistical mechanics, as well as researchers in information theory seeking to deepen their understanding of entropy concepts.

boddhisattva
Messages
9
Reaction score
0
Hi,

How do you explain the factor 2Nklog(2) in the last equation. Is there any mistake here?

upload_2015-1-6_8-48-32.png

upload_2015-1-6_8-48-4.png
 

Attachments

  • upload_2015-1-6_8-48-22.png
    upload_2015-1-6_8-48-22.png
    2.3 KB · Views: 488
Science news on Phys.org
What do you get when you try to derive the entropy?
 

Similar threads

  • · Replies 4 ·
Replies
4
Views
3K
  • · Replies 5 ·
Replies
5
Views
1K
  • · Replies 3 ·
Replies
3
Views
2K
  • · Replies 13 ·
Replies
13
Views
4K
  • · Replies 12 ·
Replies
12
Views
3K
  • · Replies 5 ·
Replies
5
Views
3K
  • · Replies 3 ·
Replies
3
Views
1K
Replies
10
Views
4K
  • · Replies 2 ·
Replies
2
Views
2K
  • · Replies 6 ·
Replies
6
Views
3K