Why Multiply by Exponential Terms in Fourier Series Calculations?

Click For Summary

Discussion Overview

The discussion revolves around the use of exponential terms in Fourier series calculations, particularly focusing on the manipulation of terms involving sine functions and complex identities. Participants explore the application of calculus and algebra in this context.

Discussion Character

  • Technical explanation
  • Mathematical reasoning
  • Homework-related

Main Points Raised

  • One participant mentions difficulty in applying a complex identity for the sine function, indicating a potential challenge in the calculations.
  • Another participant references the fundamental theorem of calculus and suggests that both calculus and complex analysis are necessary for the problem at hand.
  • A participant expresses uncertainty about the subsequent steps after obtaining an initial result.
  • It is proposed that multiplying by an exponential term, specifically $$e^{\frac{-j\pi k}{3}}$$, could be beneficial, suggesting a strategy to simplify or manipulate the expression further.

Areas of Agreement / Disagreement

Participants do not appear to reach a consensus, as there are indications of uncertainty and differing approaches to the problem.

Contextual Notes

Some assumptions regarding the application of complex identities and the steps involved in the Fourier series calculations remain unclear, and the discussion does not resolve these uncertainties.

Who May Find This Useful

Individuals interested in Fourier series, complex analysis, and mathematical techniques in physics or engineering may find this discussion relevant.

lottotlyl
Messages
4
Reaction score
0
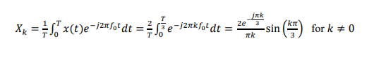
Homework Statement
how did my prof get the last term after the third equal sign
Relevant Equations
fourier series coeffecient equation
i tired using complex identity equation for sin(pi*k/3) but it doesn't work out
 

Attachments

  • Untitled.png
    Untitled.png
    3.6 KB · Views: 204
Physics news on Phys.org
Applying the fundamental theorem of calculus which says that
$$\int_a^b f(t)dt=F(t)\Big|_a^b=F(b)-F(a)$$ where ##F(t)## is a function satisfying $$\frac{dF(t)}{dt}=f(t).$$
Then you also need to use elemental algebra and complex analysis.
 
I got this, but I don't know the rest of the steps
 

Attachments

  • 88937763_191922728757326_3359105866505650176_n.jpg
    88937763_191922728757326_3359105866505650176_n.jpg
    59.4 KB · Views: 200
Well, notice that in the final answer you have the term $$e^{\frac{-j\pi k}{3}}$$ so it would be a good idea to multiply by $$1=e^{\frac{-j\pi k}{3}}e^{\frac{j\pi k}{3}}.$$
 

Similar threads

  • · Replies 4 ·
Replies
4
Views
6K
  • · Replies 3 ·
Replies
3
Views
2K
  • · Replies 3 ·
Replies
3
Views
2K
  • · Replies 3 ·
Replies
3
Views
3K
  • · Replies 26 ·
Replies
26
Views
3K
  • · Replies 4 ·
Replies
4
Views
2K
  • · Replies 3 ·
Replies
3
Views
6K
  • · Replies 1 ·
Replies
1
Views
2K
  • · Replies 6 ·
Replies
6
Views
2K
Replies
3
Views
2K