Why this point is not essential singular point

  • Thread starter Thread starter nhrock3
  • Start date Start date
  • Tags Tags
    Point
Click For Summary

Homework Help Overview

The discussion revolves around the classification of singular points in complex analysis, specifically focusing on the nature of a point at \( z = 0 \) for the function \( f(z) = \frac{e^{\frac{1}{z-1}}}{e^z-1} \). Participants are examining whether this point is an essential singularity or a pole, and the implications of limits approaching from different directions.

Discussion Character

  • Conceptual clarification, Assumption checking, Problem interpretation

Approaches and Questions Raised

  • Participants are questioning the definition of a pole and whether the behavior of the function at \( z = 0 \) aligns with this definition. There are attempts to apply limit tests and series expansions to analyze the function's behavior. Some participants express confusion over the treatment of infinity in complex functions.

Discussion Status

The discussion is active, with participants exploring different interpretations of singularities and limits. Some have provided insights into the nature of poles and essential singularities, while others are seeking clarification on their reasoning and the implications of their findings. There is no explicit consensus yet, as various perspectives are being considered.

Contextual Notes

Participants mention constraints such as the complexity of functions encountered in exams and the challenge of developing functions into series. There is also a reference to differing interpretations of infinity in the context of complex functions.

nhrock3
Messages
403
Reaction score
0
[tex]f(x)=\frac{e^{\frac{1}{z-1}}}{e^z-1}[/tex]
if we go [tex]z=0^+[/tex] f(z)=+infinity
if we go [tex]z=0^-[/tex] f(z)=-infinity
we don't have a limit here
so why its a pole
??

by my definition a pole is when [tex]f(z)=\frac{g(z)}{(a-z)^n}[/tex]

if g is analitical at g(a) then 'a' in th n'th order pole

but in my case there is no (a-z)^n representation
and i proved that there is no limit
 
Last edited:
Physics news on Phys.org
in my exam i have much complicated functions
and i can't develop it into a series every time

i tried to solve this one strictly by the limit tests
where am i wrong in my limit test
where is my conclusion wrong
??
 
i was told that there is no +infinity and -infinity in complex functions
only infinity

but i have a solved question from a test which is solved exactly like it you said was wrong
and got full credit

maybe i am missing something here

5cwz2o.jpg
 
Functions don't have a "limit" at a simple pole (like this one), they have aribitarily large norm.

At poles, the values "wrap around" the complex plane at infinity, in other words, the function hits all complex numbers with arbitarily large norm. You always see a complex function going to the whole set of numbers [itex]re^{i\theta}[/itex] for [itex]\theta\in [0,2\pi)[/itex] and [itex]r[/itex] aribtraily large.
 
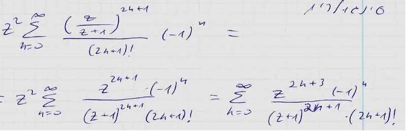
i tried to develop it into a series
2ajz9fn.jpg

if my development is correct how whould you continue to develop it
so we will get a series with only one z variable

??
i can't make a guess here its all has to be series with only one z in a certain power in order to make a conclution
 
Jose27 said:
$$\sin (z)$$ has an essential singularity at infinity, which means $$\sin \left( \frac{1}{z} \right)$$ has an essential singularity at $$0$$ (this is easy to check since the principal part of the Laurent expansion has infinitely many terms) and this gives that $$\sin ( f(z))$$ has an essential sing. wherever $$f$$ has a pole. Take $$f(z)= \frac{z}{z+1}$$ and the conclusion follows.

i understand why
$$\sin \left( \frac{1}{z} \right)$$ has an essential singularity at $$0$$

but how we can take any function we want and say sin(f) has significant point
at the pole of f
??
like here
$$\sin ( f(z))$$
$$f(z)= \frac{z}{z+1}$$
 

Similar threads

  • · Replies 2 ·
Replies
2
Views
2K
  • · Replies 7 ·
Replies
7
Views
2K
  • · Replies 9 ·
Replies
9
Views
2K
Replies
8
Views
2K
  • · Replies 3 ·
Replies
3
Views
2K
  • · Replies 2 ·
Replies
2
Views
2K
  • · Replies 5 ·
Replies
5
Views
2K
  • · Replies 3 ·
Replies
3
Views
2K
  • · Replies 8 ·
Replies
8
Views
2K
Replies
3
Views
2K